DOI:10.22201/fq.18708404e.2018.1.63702

Coleção de propostas utilizando produtos naturais para a introdução ao tema ácido-base (parte II): extração e armazenamento

Dirlei Badotti da Silva,[1] Marcello de Mello Gonçalves,[2] Yohanne Dangui Kreve,[3] Keller Paulo Nicolini[1] y Jaqueline Nicolini[1*]

Resumo

Na Parte I da coleção de experimentos utilizando indicadores alternativos de pH, foram testados repolho roxo, beterraba, cebola roxa e berinjela. Na Parte II dessa coleção foi investigado o comportamento colorimétrico dos extratos de açafrão-da-terra (Curcuma sp.), coleus-de-Java (Solenostemon sp.), feijão-preto (Phaseolus sp.) e trapoeraba-roxa (Tradescantia sp.). Os extratos foram obtidos a partir da extração em meio aquoso, sendo monitorado o tempo de armazenamento de cada extrato e a coloração observada na presença de produtos do cotidiano dos estudantes, investigando assim o pH dos mesmos.

Palavras-chave:

Ensino de Química; Indicador de pH; Química Verde; Extração de Produtos Naturais.

Set of proposals using natural products to introduce the acid-base theme (part II): extraction and storage

Abstract

Compounding the set proposals using alternative pH indicators from vegetables and leaves, in Part I purple cabbage, beet, purple onion and eggplant were tested. In this manuscript (Part II) was investigated, from products of students daily life, the behavior of extracts from saffron ((Curcuma sp.)), coleus-de-Java (Solenostemon sp.), black beans (Phaseolus sp.) and purple trapoeraba (Tradescantia sp.). The extracts were obtained from the aqueous medium extraction. The time storage of each extract and the coloration observed in the presence of daily products of the students was monitored. These allow investigating the pH of the daily products using extracts from natural products.

Keywords:

Chemistry teaching; pH Indicator; Green Chemistry; Natural Products Extraction.




Introdução

As diversas cores observadas nas plantas devem-se às antocianinas, compostos hidrosolúveis responsáveis pelas cores que vão do laranja ao azul; aos carotenoides, compostos lipossolúveis, que conferem a coloração do amarelo ao vermelho, (Castaneda-Ovando et al., 2009; Tanaka, Sasaki e Ohmiya, 2008); as betalaínas que conferem o tom amarelo e violeta (Azeredo, 2009; Gandía-Herrero e García-Carmona, 2013); e as chalconas, auronas, flavonóis e flavonas que conferem tom amarelo (Castaneda-Ovando et al., 2009). As antocianinas apresentam a função de diminuir a foto-inibição e aumentar ao máximo a fotossíntese (Gould et al., 1995). O uso de extratos de plantas como indicadores naturais de pH é uma ferramenta importante no processo de ensino e aprendizagem (Couto, Ramos e Cavalheiro, 1998; Dias, Guimarães e Merçon, 2003; Garber, Odendaal e Carlson, 2013; Martins et al., 2017; Ribeiro e Nunes, 2008), enfatizando os princípios da Química Verde (EPA/US, 2012) que visam o desempenho ambiental dos processos, impactando em menores custos, maior segurança, menor risco à saúde e ao meio ambiente (Bosiljkov et al., 2017; Buka, Osornio-Vargas e Clark, 2011; Byrne et al., 2016; Capello, Fischer e Hungerbühler, 2007). Na Parte I da coleção de experimentos utilizando indicadores alternativos de pH a partir de legumes e folhas foi investigado o comportamento colorimétrico de repolho roxo, beterraba, cebola roxa e berinjela na presença de produtos do cotidiano dos estudantes (vinagre incolor de álcool, refrigerante, álcool comercial 46o GL, água sanitária, ácido clorídrico (HCl), hidróxido de sódio (NaOH) e água potável). Neste manuscrito (Parte II) foi investigado o perfil colorimétrico e o tempo de armazenamento de extratos de açafrão-da-terra (Curcuma sp.), coleus-de-Java (Solenostemon sp.), feijão-preto (Phaseolus sp.) e trapoeraba-roxa (Tradescantia sp.) (Figura 1), utilizando os mesmos produtos do cotidiano dos estudantes utilizados na Parte I desta coleção. Dessa maneira, este manuscrito sugere novos extratos provenientes de raízes e de folhas, contribuindo para aumentar o conhecimento sobre o comportamento de diferentes plantas que podem ser usadas como indicadoras de pH além de apresentar o tempo de armazenamento dos extratos obtidos e testados.

Figura 1. Plantas utilizadas para obtenção dos extratos.

Metodologia

Visando compor a coleção de propostas didáticas, foi proposta a extração de produtos naturais de quatro plantas: açafrão-da-terra (Curcuma sp.), coleus-de-Java (Solenostemon sp.), feijão-preto (Phaseolus sp.) e trapoeraba-roxa (Tradescantia sp.). A atividade foi implementada por estudantes dos cursos de Licenciatura em Química e Biologia com a proposta de desenvolver uma atividade experimental que pudesse ser acessível e aplicada em diversas realidades educacionais. Com a contextualização da atividade proposta, a partir de embasamento químico teórico e utilizando produtos do cotidiano dos estudantes é possível explorar o mundo da ciência, permitindo que a química ocupe seu papel na sociedade e contribua para a formação de cidadãos críticos, investigativos e reflexivos. A importância da experimentação no ensino é prática indiscutível para compreender a natureza, as transformações da matéria e os fenômenos do cotidiano (de Ávila e Matos, 2017).

Inicialmente a abordagem foi contextualizadora e investigativa com a participação de estudantes dos cursos de Licenciatura em Química e de Licenciatura em Ciências Biológicas. Após a otimização do procedimento de extração, a proposta foi implementada. O tema foi abordado em sala de aula, a partir do livro texto (Russel, 1994) estabelecendo correlações significativas entre produtos presentes no cotidiano dos estudantes e os conceitos: equilíbrio químico, pKa, pKb, teorias ácido-base e indicadores de pH. Após a discussão dos conceitos químicos foi realizada a correlação entre a coloração dos extratos devida ao equilíbrio químico dos constituintes presentes nos extratos vegetais, a serem abordados na atividade experimental. Em seguida, a partir do embasamento teórico sobre o tema, a atividade apresentada neste manuscrito foi implementada pelos estudantes, possíveis futuros profissionais da educação, explorando a observação macroscópica, a interpretação microscópica e a expressão representacional (de Ávila e Matos, 2017), estabelecendo correlações entre o comportamento observado pelos indicadores clássicos de pH (tais como a fenolftaleína e o alaranjado de metila) e os indicadores de pH obtidos.

A atividade foi desenvolvida por 32 estudantes do primeiro semestre do curso de Licenciatura em Ciências Biológicas, como proposta para a instrumentação da abordagem do tema ácido-base. Foram elaboradas questões problematizadoras sobre o tema para serem discutidas com estudantes do Ensino Médio. Nos resultados e discussões são apresentadas aplicações e características de cada indicador, contextualizando a atividade.

Há diversos estudos que discutem formas de abordar o tema ácido-base, visto que é um tema de ampla aplicação. Assim, diversos trabalhos são realizados nesse sentido, desde investigações com simulações realizadas através do uso de softwares específicos (Raviolo e Farré, 2017) ou com o uso de extratos vegetais para a determinação do pH, sendo essa uma ferramenta para o Ensino de Química bastante utilizada e conhecida (Choi et al., 2017; Couto, Ramos e Cavalheiro, 1998; Dias, Guimarães e Merçon, 2003; Gouveia-Matos, 1999; Khan e Farooqui, 2011; Soares, Cavalheiro e Antunes, 2001). Nesse manuscrito, enfatizamos o uso de trapoeraba-roxa e coleus-de-Java além do uso de feijão-preto e açafrão-da-terra como indicadores naturais de pH.

Para as extrações dos pigmentos vegetais foi utilizada a água como solvente, não gerando resíduos tóxicos para o estudante e para o meio ambiente após a atividade, enfatizando o verdor químico do experimento (Gonçalves et al., 2017; Martins et al., 2017).

Extrato aquoso: Para o desenvolvimento das atividades foram preparados indicadores naturais de pH utilizando 100.7 g de feijão-preto em 209 mL de água; 28.29 g de trapoeraba-roxa em 150 mL de água; 13.47 g de coleus-de-Java em 150 mL de água e 67.09 g de açafrão-da-terra em 200 mL de água. Os grãos de feijão-preto, os rizomas de açafrão-da-terra, as folhas de coleus-de-Java e de trapoeraba-roxa foram fervidos por 45 min e resfriados. Destes extratos, o volume de 120 mL foi dividido em duas frações. O volume de 60 mL (fração 1) foi reservado e resfriado, sendo assim obtido o extrato aquoso utilizado.

Extrato etanólico: O volume restante de 60 mL (fração 2 do extrato), foi evaporado até secura, por 50 min. A este extrato concentrado foi adicionado 50 mL de etanol comercial (92 oGL), sendo obtido o extrato etanólico.

Em seguida, para cada 10,0 mL das amostras testadas, foram usados 5,00 mL dos indicadores aquosos e etanólicos preparados.

As amostras testadas foram vinagre incolor de álcool, refrigerante de limão (incolor), álcool comercial 46 ºGL, água sanitária, ácido clorídrico (HCl, 0.1 mol L-1), hidróxido de sódio (NaOH 0.1 mol L-1) e água potável.

Para a determinação do pH das amostras, foi utilizado um pHmetro digital de bancada (pHS-38W microprocessor) utilizando soluções tampão (Vetec) pH 4.00 e pH 7.00 para calibrar o pHmetro. A água potável utilizada nas extrações, apresentou pH = 7.00 (frasco 5) e o etanol 46 oGL apresentou pH = 8.10 (frasco 6) sendo utilizados na escala colorimétrica obtida, como branco. Além disso, em cada conjunto de testes (Figura 1), é apresentado em todos os frascos de número 1 a amostra referência, com o valor do pH e a coloração do extrato aquoso (Figura 1, à esquerda) e do extrato etanólico (Figura 1, à direita). As amostras testadas têm pH entre 2.42 (vinagre incolor) e 12.88 (água sanitária) e os extratos armazenados em etanol tem pH mais básico que os extratos armazenados em água (Tabela 1). A basicidade do etanol é maior do que a da água pela presença dos dois pares de elétrons livres do oxigênio da hidroxila (CH3-CH3-OH), conferindo maior basicidade aos extratos etanólicos (Morrison e Boyd, 1992).

O procedimento metodológico é apresentado na Figura 2 e partir dele foram obtidas as escalas de cores a partir de cada extrato testado.

Tabela 1. pH dos extratos aquosos e etanólicos.


Planta

pH

Extrato aquoso

Extrato etanólico

Açafrão-da-terra

5,87

7,35

Coleus-de-Java

5,95

6,17

Feijão-preto

6,06

6,74

Trapoeraba-roxa

5,18

5,85

Figura 2. Representação esquemática da metodologia utilizada.

Resultados e Discussão

Os extratos conservados em etanol 92 oGL apresentaram as mesmas cores, no entanto, mais límpidos e em tons menos intensos que os extratos conservados em água. O pH das amostras foi medido e está apresentado na Figura 3 (açafrão-da-terra na Figura 3.1; coleus-de-Java na Figura 3.2; feijão-preto na Figura 3.3; e trapoeraba-roxa na Figura 3.4) juntamente com o pH das amostras testadas.

A extração completa das antocianinas ocorre utilizando metanol como solvente (Harborne, 1998, cap. 2.). A substituição de metanol por solventes alternativos é importante. Isso porque o metanol pode provocar acidose metabólica severa, alterações neurológicas, cegueira, doenças degenerativas como o Parkinson e a intoxicação aguda pode provocar a morte (Enriquez-Marulanda et al., 2016; Vares et al., 2012). Assim, o uso de água como solvente extrator reforça o verdor químico do experimento e os princípios de sustentabilidade e ambiente (Gonçalves et al., 2017).

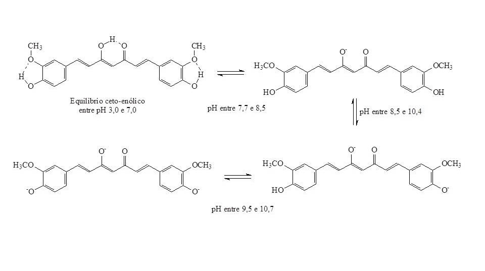
A Figura 3.1 apresenta a variação das colorações obtidas nas amostras testadas a partir do extrato de rizomas de açafrão-da-terra que possuem curcumina. A curcumina apresenta equilíbrio ceto-enólico entre o pH 3 e o pH 7, tem baixa solubilidade em água, mas é solúvel em soluções aquosas básicas (Sueth-Santiago et al., 2015), além de apresentar caráter solvatocrômico (Jasim e Ali, 1989). Apresenta várias propriedades biológicas relevantes, dentre elas antioxidante (Wright, 2002), anti-inflamatória (Julie e Jurenka, 2009) e antitumoral (Liu e Chen, 2013). Os extratos de açafrão-da-terra aquoso e etanólico podem ser utilizados por até 22 dias após a extração, sem comprometer a detecção qualitativa do pH das amostras testadas, apresentando coloração amarela em vinagre, HCl 0.1 mol L-1, refrigerante, água e etanol; laranja em NaOH 0.1 mol L-1; e amarelo claro em água sanitária. A Figura 4 indica as estruturas da curcumina e dos derivados gerados pela variação do pH do meio (Priyadarsini, 2009; Sueth-Santiago et al., 2015).

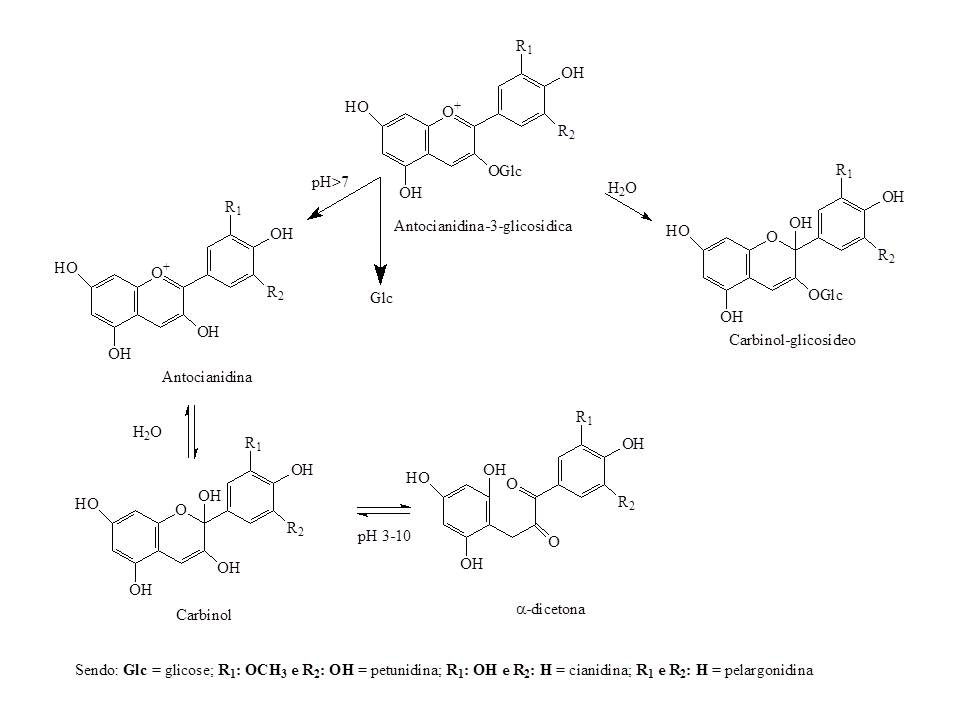
Na Figura 3.2, observamos que o extrato de coleus-de-Java apresenta coloração rosa em pH ácido e torna-se amarelo escuro em pH básico. Os extratos aquosos e etanólicos podem ser armazenados por até 8 dias e após esse período as colorações esmorecem, principalmente entre o pH 3 e o pH 8, prejudicando a análise qualitativa. O coleus-de-Java é uma planta que tem aumento no teor de antocianinas totais quanto maior a exposição da planta à luz solar (Logan et al., 2015; Nguyen e Cin, 2009) diminuindo a razão entre os teores de clorofila α e clorofila β. A coloração vermelha se deve a presença de betacianinas (betalaínas ou antocianinas nitrogenadas) e do conteúdo total de antocianinas (Rife, 1948; Sahu e Dewanjee, 2012), que atuam como fotoprotetores, mantendo a coloração das folhas vermelhas, independente das alterações de pH vacuolar. A betacianina mais comum é a betanidina (Jain e Gould, 2015) (Figura 5) (Stintzing e Carle, 2004).

Os grãos de feijão-preto são ricos em derivados glicosilados de delfinidina, petunidina, malvidina (Mojica, Berhow e Gonzalez de Mejia, 2017; Takeoka et al., 1997) e cianidina (Choung et al., 2003), apresentando capacidade antioxidante (Akond et al., 2011), podendo atuar contra micotoxinas (Telles, Kupski e Furlong, 2017). Foram realizados estudos em ratos os quais demonstraram que o consumo de feijão-preto pode atuar como agente protetor a danos ao DNA (Azevedo et al., 2003), diminuindo a incidência de câncer de colón (Bennink e Hangen, 2002) e como potencial agente antidiabetes (Mojica, Berhow e Gonzalez de Mejia, 2017). Os extratos de feijão-preto (Figura 3.3) apresentam coloração preto azulada em água (pH 6.06); castanho-avermelhado em vinagre branco (pH 2.42); vermelho em HCl 0.1 mol L-1 (pH 2.96); violeta entre o pH 3.06 e o pH 8.10 (refrigerante, água potável e etanol 46 oGL); verde escuro em NaOH 0.1 mol L-1 (pH 12.14); e amarelo em água sanitária (pH 12.88). Os extratos de feijão-preto, após 8 dias de armazenamento, apresentam decréscimo na intensidade da coloração nas amostras testadas. As colorações observadas na Figura 3.3, a partir de extrato de feijão-preto indicam colorações semelhantes às obtidas a partir de extratos de repolho roxo, utilizando os mesmos produtos (Martins et al., 2017). Pietro et al. (2017) desenvolveram filmes de amido contendo extrato de feijão-preto e de repolho roxo como membranas sensíveis à variação de pH, podendo ser usadas como embalagens inteligentes, possuindo em comum as antocianinas glicosiladas petuninida e cianidina e a antocianina não glicosilada pelargonidina (Prietto et al., 2017).

A trapoeraba-roxa apresenta sensibilidade na investigação da genotoxicidade de vários compostos químicos (de Souza Lima, de Souza e Domingos, 2009; Khan e Siddiqi, 2014; Sinha et al., 2017; Sumita et al., 2003). A trapoeraba-roxa contém as antocianinas glicosiladas cianidina (Baublis e Berber-Jimenez, 1995), delfinidina e malvidina (Mendes et al., 2016) (Figura 6), que viabilizam o uso do seu extrato como indicador de pH. Os extratos de trapoeraba-roxa apresentam baixa estabilidade e após 8 dias de armazenamento formam precipitado coloidal. A coloração do extrato se mantém constante, no entanto, apresenta fraca resposta visual quando adicionado às amostras testadas, interferindo na análise qualitativa, havendo a necessidade da adição de maior volume do extrato aquoso ou etanólico para se obter a mesma intensidade visual. A trapoeraba-roxa apresentou: cor rósea em vinagre (pH 2.42) e ácido clorídrico (pH 2.96); e cor violeta em refrigerante (pH 3.06), água potável (pH 7.00) e álcool 46 oGL (pH 8.10). Em hidróxido de sódio 0.1 mol L-1 (pH 12.14) o extrato de trapoeraba-roxa apresentou coloração verde e em água sanitária (pH 12.88) amarelo pálido (Figura 3.4).

Figura 3.Representação das colorações obtidas pela variação do pH em função do tempo de armazenamento e o tipo de extrato. 1. Açafrão-da-terra. 2. Coleus-de-Java. 3. Feijão-preto. 4. Trapoeraba-roxa. À esquerda são apresentadas as imagens utilizando o extrato aquoso e à direita utilizando o extrato etanólico: (1) indicador; (2) vinagre incolor; (3) HCl 0.1 mol L-1; (4) refrigerante; (5) água potável; (6) álcool 46 oGL; (7) NaOH 0.1 mol L-1 e (8) água sanitária.

Figura 4. Curcumina e derivados.

Figura 5. Equilíbrio da betanidina (Adaptado de Stintzing e Carle, 2004).

Figura 6. Equilíbrio da petunidina, cianidina e pelargonidina a partir da alteração do pH do meio (Adaptado de Stintzing e Carle, 2004).

As cores observadas nas amostras de vinagre; HCl 0.1 mol L-1; refrigerante; água potável; etanol 46 oGL; NaOH 0,1 mol L-1; e água sanitária devem-se aos constituintes das amostras, conforme discutido anteriormente na Parte I dessa coleção de experimentos (Martins et al., 2017).

Durante e após a implementação da atividade, os estudantes eram constantemente questionados sobre: i) o que estava acontecendo (fenômeno); ii) quais seriam os constituintes presentes nas plantas responsáveis pelo fenômeno observado; iii) se todas as plantas poderiam atuar com indicadores de pH. Com isso estabeleceu-se uma análise investigativa e problematizadora sobre o tema proposto e a atividade realizada, até porque as atividades experimentais são recursos pedagógicos eficazes na construção de conhecimentos, capacidades e habilidades (de Souza et al., 2015; Francisco Jr, Ferreira e Hartwig, 2008; Giordan, 1999; Pintrich, Marx e Boyle, 1993). Os estudantes demonstraram interesse, criticidade e olhar investigativo, o que pode ser observado nas afirmativas:

Estudante 1: “Os indicadores naturais de pH são melhores para serem usados pelo baixo custo e facilidade em serem adquiridos, como por exemplo, o feijão-preto.”

Estudante 2: “Um professor deve estar preparado diante de algumas situações, tais como: não são todas as escolas que possuem equipamentos e materiais laboratoriais necessários para a execução de atividades experimentais; cabe ao professor buscar novos métodos que proporcionem uma aula diferente aos seus alunos: por exemplo, na falta de fenolftaleína pode-se usar um indicador natural.”

Estudante 3: “Os indicadores de pH são de grande importância nas áreas da química e biologia, dentre outras. Eles auxiliam na determinação das faixas de pH de uma solução caracterizando-as como ácidos ou bases.”

Estudante 4: “Nós ficamos felizes com a possibilidade de utilizar indicadores naturais de pH, pois é uma forma simples e rápida para observar o que acontece.”

Estudante 5: “Para um biólogo é importante a determinação do pH, principalmente em atividades de pesquisas, como por exemplo no estudo de peixes, investigando os fatores abióticos de temperatura da água, pH e oxigênio dissolvido.”

Essas afirmativas reforçam que a (re)construção do conhecimento, proposta por Morin, a partir de atividades experimentais contribuem para o desenvolvimento de senso investigativo, crítico e científico dos estudantes, com reflexões pautadas no método científico e na análise investigativa (Martins et al., 2017; Morin, 2011). Haja vista que diante dos relatos dos estudantes esta abordagem metodológica proporciona estabelecer significações interdisciplinares de fácil aplicação, podendo ser implementadas em diferentes realidades educacionais promovendo a pesquisa nas ciências da natureza.

Além disso, os estudantes foram motivados a problematizar o tema ácido-base. As questões por eles propostas evidenciaram habilidade crítico-investigadora, reforçando o enfoque epistemológico e argumentativo proposto por Popper a partir de uma concepção de racionalidade plural, tão importante no desenvolvimento científico (Popper, 1985) contribuindo para o redimensionamento da prática docente e para o desenvolvimento de uma visão crítica sobre a ciência química (Oliveira, 2015) contribuindo na construção de conhecimentos científicos a partir da realidade de cada indivíduo. Foram selecionadas 2 questões problematizadoras elaboradas pelos grupos de estudantes envolvidos na atividade:

Grupo 1: “Sabendo que cada parte do corpo possui um pH diferente, por exemplo, a saliva, tem pH entre 6,8 e 7,2, enquanto o estômago possui pH ácido (entre 2 e 3) por conta do suco gástrico, que contém HCl. Como o corpo humano é capaz de manter o equilíbrio entre todas essas faixas de pH?”

Grupo 2: “Sabendo que nosso corpo apresenta ácidos e bases em equilíbrio. Se ingerirmos ácidos de uma maneira exagerada, haverá alteração no nível de pH do nosso corpo em seis meses?”

Estas questões elaboradas pelos estudantes demonstram o caráter disciplinar, interdisciplinar e transdisciplinar da atividade proposta, demonstrando que a experimentação no ensino se constitui em ferramenta fundamental para que os estudantes interajam em sociedade e compreendam o mundo que estão inseridos. Ainda se observa a partir das questões elaboradas pelos estudantes, que está havendo construção conceitual pelo estabelecimento de correlações entre diferentes áreas a partir de um mesmo conceito, sendo isso o que propõe Edgard Morin (Morin, 2011). No Brasil, os profissionais licenciados em Química e em Biologia podem atuar no Ensino de Ciências no 9º ano do Ensino Fundamental, pois nesta fase os estudantes têm introdução aos conceitos de química e de física. Nesse cenário, uma formação interdisciplinar permite a construção de conceitos que poderão ser contextualizados pelos futuros profissionais do ensino contribuindo assim para uma educação pautada na resolução de problemas a partir da metodologia científica.

Conclusões

Os extratos de coleus-de-Java, feijão-preto e trapoeraba-roxa podem ser armazenados em água ou em etanol comercial (92 oGL) por 8 dias e o extrato de açafrão-da-terra pode ser armazenado por 22 dias, sem prejudicar a qualidade visual das análises. Esta atividade contribuiu para resignificar a ação docente de futuros professores de Ciências Naturais, favorecendo a correlação entre questões químicas e biológicas, refletidas através das questões problematizadoras elaboradas pelos estudantes. Essa atividade permite construir propostas didáticas que podem ser implementadas em diferentes realidades educacionais, sempre pautado no método científico. O experimento proposto e realizado tem carácter interdisciplinar, pois permite ao professor estabelecer correlações entre diversos conteúdos e temas da Química, mas também conteúdos e temas da área da Biologia, o que fica claro nas questões problematizadoras elaboradas pelos estudantes. Parâmetros físicos como a temperatura de extração, temperatura e tempo de armazenamento também podem ser explorados. Além disso, o experimento contribui para demonstrar ao estudante que a Química está presente em todas as coisas, e que as afirmativas de que algo “não tem química” são afirmativas com erros conceituais. Assim, através de diferentes estratégias de ensino-aprendizagem, podem-se abordar temas numa ampla gama de complexidade, de forma disciplinar, interdisciplinar ou transdisciplinar, cabendo ao professor estabelecer a mediação durante o processo de ensino-aprendizagem.

Agradecimentos

Ao IFPR e ao CNPq (Edital MCTI 017/2014).

Conflito de interesses

Os autores declaram não haver conflito de interesses.

Referências

Akond, A., Khandaker, L., Berthold, J., Gates, L., Peters, K., Delong, H. e Hossain, K. (2011). Anthocyanin, total polyphenols and antioxidant activity of common bean, American Journal of Food Technology, 6(5), 385-394.

Azeredo, H.M.C. (2009). Betalains: properties, sources, applications, and stability – a review, International Journal of Food Science & Technology, 44(12), 2365-2376.

Azevedo, L., Gomes, J., Stringheta, P., Gontijo, Á.M., Padovani, C.R., Ribeiro, L.R. e Salvadori, D.M.F. (2003). Black bean (Phaseolus vulgaris L.) as a protective agent against DNA damage in mice, Food and Chemical Toxicology, 41(12), 1671-1676.

Baublis, A.J. e Berber-Jimenez, M.D. (1995). Structural and conformational characterization of a stable anthocyanin from Tradescantia pallida, Journal of Agricultural and Food Chemistry, 43(3), 640-646.

Bennink, M. e Hangen, L. (2002). Consumption of black beans and navy beans (Phaseolus vulgaris) reduced azoxymethane-induced colon cancer in rats, Nutrition and cancer, 44(1), 60-65.

Bosiljkov, T., Dujmić, F., Cvjetko Bubalo, M., Hribar, J., Vidrih, R., Brnčić, M., Zlatic, E., Radojčić Redovniković, I. e Jokić, S. (2017). Natural deep eutectic solvents and ultrasound-assisted extraction: Green approaches for extraction of wine lees anthocyanins, Food and Bioproducts Processing, 102(195-203.

Buka, I., Osornio-Vargas, A. e Clark, B. (2011). Food additives, essential nutrients and neurodevelopmental behavioural disorders in children: A brief review, Paediatrics & Child Health, 16(7), 54-56.

Byrne, F.P., Jin, S., Paggiola, G., Petchey, T.H.M., Clark, J.H., Farmer, T.J., Hunt, A.J., Robert Mcelroy, C. e Sherwood, J. (2016). Tools and techniques for solvent selection: green solvent selection guides, Sustainable Chemical Processes, 4(1), 7.

Capello, C., Fischer, U. e Hungerbühler, K. (2007). What is a green solvent? A comprehensive framework for the environmental assessment of solvents, Green Chemistry, 9(9), 927-934.

Castaneda-Ovando, A., De Lourdes Pacheco-Hernández, M., Páez-Hernández, M.E., Rodríguez, J.A. e Galán-Vidal, C.A. (2009). Chemical studies of anthocyanins: A review, Food chemistry, 113(4), 859-871.

Choi, I., Lee, J.Y., Lacroix, M. e Han, J. (2017). Intelligent pH indicator film composed of agar/potato starch and anthocyanin extracts from purple sweet potato, Food Chemistry, 218(122-128.

Choung, M.-G., Choi, B.-R., An, Y.-N., Chu, Y.-H. e Cho, Y.-S. (2003). Anthocyanin profile of Korean cultivated kidney bean (Phaseolus vulgaris L.), Journal of Agricultural and Food Chemistry, 51(24), 7040-7043.

Couto, A.B., Ramos, L.A. e Cavalheiro, E. (1998). Aplicação de pigmentos de flores no ensino de química, Química Nova, 21(2), 221-227.

De Ávila, S.G. e Matos, J.D.R. (2017). Compostos coloridos do ferro: uma proposta de experimentação utilizando materiais de baixo custo, Educación Química, 28(4), 254-261.

De Souza Lima, E., De Souza, S.R. e Domingos, M. (2009). Sensitivity of Tradescantia pallida (Rose) Hunt. ‘Purpurea’ Boom to genotoxicity induced by ozone, Mutation Research/Genetic Toxicology and Environmental Mutagenesis, 675(1–2), 41-45.

De Souza, P.V.T., Silva, M.D., Amauro, N.Q., Mori, R.C. e Moreira, P.F.D.S.D. (2015). Densidade: Uma Proposta de Aula Investigativa, Química Nova na Escola, 37(2), 120-124.

Dias, M., Guimarães, P. e Merçon, F. (2003). Corantes naturais: Extração e emprego como indicadores de pH, Química Nova na Escola, 17(2), 27-31.

Enriquez-Marulanda, A., Ospina-Delgado, D., Arias-Mora, F., Amaya-González, P. e Orozco, J.L. (2016). Paciente con parkinsonismo y un antecedente de intoxicación por metanol, Neurología, http://dx.doi.org/10.1016/j.nrl.2016.1011.1007.

Epa/Us (2012).Green Chemistry. Disponível em: <www.epa.gov/greenchemistry>. Acesso em: 16 set 2017.

Francisco Jr, W.E., Ferreira, L.H. e Hartwig, D.R. (2008). Experimentação problematizadora: fundamentos teóricos e práticos para a aplicação em salas de aula de ciências, Química Nova na Escola, 30(4), 34-41.

Gandía-Herrero, F. e García-Carmona, F. (2013). Biosynthesis of betalains: yellow and violet plant pigments, Trends in Plant Science, 18(6), 334-343.

Garber, K.C., Odendaal, A.Y. e Carlson, E.E. (2013). Plant Pigment Identification: A Classroom and Outreach Activity, Journal of Chemical Education, 90(6), 755-759.

Giordan, M. (1999). O papel da experimentação no ensino de ciências, Química Nova na Escola, 10(10), 43-49.

Gonçalves, F.P., Yunes, S.F., Guaita, R.I., Marques, C.A., Pires, T.C.M., Pinto, J.R.M. e Machado, A.a.S.C. (2017). La dimensión ambiental de la experimentación en la enseñanza de la química: consideraciones sobre el uso de la métrica holística «estrella verde», Educación Química, 28(2), 99-106.

Gould, K.S., Kuhn, D.N., Lee, D.W. e Oberbauer, S.F. (1995). Why leaves are sometimes red, Nature, 378(6554), 241-242.

Gouveia-Matos, J.a.D.M. (1999). Mudança nas cores dos extratos de flores e do repolho roxo, Química Nova na Escola, v. 10(p. 6-10.

Harborne, J.B. (1998, cap. 2.). Phytochemical methods: A guide to modern techniques of plant analyses. 3th ed.: Chapman & Hall: London.

Jain, G. e Gould, K.S. (2015). Are betalain pigments the functional homologues of anthocyanins in plants?, Environmental and Experimental Botany, 119(48-53.

Jasim, F. e Ali, F. (1989). Measurements of some spectrophotometric parameters of curcumin in 12 polar and nonpolar organic solvents, Microchemical Journal, 39(2), 156-159.

Julie, S. e Jurenka, M. (2009). Anti-inflammatory properties of curcumin, a major constituent, Alternative Medicine Review, 14(2),

Khan, A.S. e Siddiqi, R. (2014). Environmental factors affect calcium oxalate crystals formation in Tradescantia pallida (Commelinaceae), Pakistan Journal of Botany, 46(2), 477-482.

Khan, P.M.A. e Farooqui, M. (2011). Analytical Applications of Plant Extract as Natural pH Indicator: A Review, Journal of Advanced Scientific Research, 2(4), 20-27.

Liu, D. e Chen, Z. (2013). The effect of curcumin on breast cancer cells, Journal of Breast Cancer, 16(2), 133-137.

Logan, B.A., Stafstrom, W.C., Walsh, M.J., Reblin, J.S. e Gould, K.S. (2015). Examining the photoprotection hypothesis for adaxial foliar anthocyanin accumulation by revisiting comparisons of green-and red-leafed varieties of coleus (Solenostemon scutellarioides), Photosynthesis Research, 124(3), 267-274.

Martins, R.D.C., Bernardi, F., Dangui Kreve, Y., Nicolini, K.P. e Nicolini, J. (2017). Coleção de propostas utilizando produtos naturais para a introdução ao tema ácido‐base no Ensino Médio (Parte I). , Educación Química, 28(-), 246-253.

Mendes, V., De Lima, S.R., Torres, J.O.B., Antunes, A., Messias, D.N., Andrade, A.A., Dantas, N.O., Zilio, S.C. e Pilla, V. (2016). Preliminary spectroscopic and thermo-optical characterization of anthocyanin unpurified crude extracted from Tradescantia Pallida Purpurea, Dyes and Pigments, 135(57-63.

Mojica, L., Berhow, M. e Gonzalez De Mejia, E. (2017). Black bean anthocyanin-rich extracts as food colorants: Physicochemical stability and antidiabetes potential, Food Chemistry, 229(628-639.

Morin, E. (2011). Os sete saberes necessários à educação do futuro. Cortez: São Paulo.

Morrison, R.T. e Boyd, R.N. (1992). Química Orgânica. 6. Fundação Calouste Gulbenkian: Lisboa.

Nguyen, P. e Cin, V.D. (2009). The role of light on foliage colour development in coleus (Solenostemon scutellarioides (L.) Codd), Plant Physiology and Biochemistry, 47(10), 934-945.

Oliveira, R.J. (2015). Ensino de Química: Por Um Enfoque Epistemológico e Argumentativo, Química Nova na Escola, 37(4), 257-263.

Pintrich, P.R., Marx, R.W. e Boyle, R.A. (1993). Beyond Cold Conceptual Change: The Role of Motivational Beliefs and Classroom Contextual Factors in the Process of Conceptual Change, Review of Educational Research, 63(2), 167-199.

Popper, K.R. (1985). A lógica da pesquisa científica. Cultrix: São Paulo.

Prietto, L., Mirapalhete, T.C., Pinto, V.Z., Hoffmann, J.F., Vanier, N.L., Lim, L.-T., Guerra Dias, A.R. e Da Rosa Zavareze, E. (2017). pH-sensitive films containing anthocyanins extracted from black bean seed coat and red cabbage, LWT - Food Science and Technology, 80(-), 492-500.

Priyadarsini, K.I. (2009). Photophysics, photochemistry and photobiology of curcumin: Studies from organic solutions, bio-mimetics and living cells, Journal of Photochemistry and Photobiology C: Photochemistry Reviews, 10(2), 81-95.

Raviolo, A. e Farré, A. (2017). Una evaluación alternativa del tema titulación ácido-base a través de una simulación, Educación Química, 28(3), 163-173.

Ribeiro, N.M. e Nunes, C.R. (2008). Análise de pigmentos de pimentões por cromatografia em papel, Química Nova na Escola, 29(ago), 30-37.

Rife, D.C. (1948). Simply inherited variations in Coleus, Journal of Heredity, 39(3), 85-91.

Russel, J.B. (1994). Química Geral - Volume 1. 2a ed., São Paulo: Pearson Makon Books.

Sahu, R. e Dewanjee, S. (2012). Differential physiological and biochemical responses under variable culture conditions in micro-propagated Solenostemon scutellarioides: an important ornamental plant, Natural Products and Bioprospecting, 2(4), 160-165.

Sinha, V., Manikandan, N.A., Pakshirajan, K. e Chaturvedi, R. (2017). Continuous removal of Cr(VI) from wastewater by phytoextraction using Tradescantia pallida plant based vertical subsurface flow constructed wetland system, International Biodeterioration & Biodegradation, 119(-), 96-103.

Soares, M.H.F.B., Cavalheiro, É.T.G. e Antunes, P.A. (2001). Aplicação de extratos brutos de flores de quaresmeira e azaléia e da casca de feijão preto em volumetria ácido-base. Um experimento para cursos de análise quantitativa, Química Nova, 24(3), 408-411.

Stintzing, F.C. e Carle, R. (2004). Functional properties of anthocyanins and betalains in plants, food, and in human nutrition, Trends in Food Science & Technology, 15(1), 19-38.

Sueth-Santiago, V., Mendes-Silva, G., Decoté-Ricardo, D. e Lima, M. (2015). Curcumina, o pó dourado do açafrão-da-terra: introspecções sobre química e atividades biológicas, Química Nova, 38(4), 538-552.

Sumita, N.M., Mendes, M.E., Macchione, M., Guimarães, E.T., Lichtenfels, A.J.D.F.C., Lobo, D.-J.D.A., Saldiva, P.H.N. e Saiki, M. (2003). Tradescantia pallida cv. purpurea boom in the characterization of air pollution by accumulation of trace elements, Journal of the Air & Waste Management Association, 53(5), 574-579.

Takeoka, G.R., Dao, L.T., Full, G.H., Wong, R.Y., Harden, L.A., Edwards, R.H. e Berrios, J.D.J. (1997). Characterization of black bean (Phaseolus vulgaris L.) anthocyanins, Journal of Agricultural and Food Chemistry, 45(9), 3395-3400.

Tanaka, Y., Sasaki, N. e Ohmiya, A. (2008). Biosynthesis of plant pigments: anthocyanins, betalains and carotenoids, The Plant Journal, 54(4), 733-749.

Telles, A.C., Kupski, L. e Furlong, E.B. (2017). Phenolic compound in beans as protection against mycotoxins, Food Chemistry, 214(-), 293-299.

Vares, M., Álvarez-Rocha, L., López-Rivadulla, M., Pombo, M. e Castelo, L. (2012). Supervivencia sin secuelas en un caso de intoxicación por metanol potencialmente letal utilizando la hemodialfiltración venovenosa continua como técnica dialítica, Medicina Intensiva, 36(5), 379-380.

Wright, J.S. (2002). Predicting the antioxidant activity of curcumin and curcuminoids, Journal of Molecular Structure: TheoChem, 591(1–3), 207-217.

Recepción: 02 de marzo de 2018. Aprobación: 18 de abril de 2018


[1] Lacoppi – Laboratório de Corantes e Processos Pirolíticos, Instituto Federal do Paraná – IFPR, Departamento de Química, Palmas – PR, Brasil.

[*] e-mail: jaqueline.nicolini@ifpr.edu.br

[2] Instituto Federal do Paraná – IFPR, Departamento de Ciências Biológicas, Palmas – PR, Brasil.

[3] Instituto Federal do Paraná – IFPR, Curso Técnico em Alimentos, Palmas – PR, Brasil.