DOI:10.22201/fq.18708404e.2019.4.67971

Solución y análisis del modelo de Södergren para celdas solares tipo Grätzel usando la función Solver de Excel

Marco Alfaro[a], Ignacio Alfaro[b] y Rodrigo Guerra[c]

Resumen

La simulación de experimentos es un aspecto que ha cobrado interés en el último tiempo en la enseñanza de la Química en los casos donde no se disponga de reactivos o del equipo necesario para la realización de éstos. Excel es un programa informático desarrollado y distribuido por Microsoft Corp. que permite realizar tareas contables y financieras mediante hojas de cálculo, forma parte de Microsoft Office y es utilizado en gran parte del mundo. Permite realizar muy diversas operaciones e incluye el complemento Solver. Con este complemento es posible el ajuste de datos experimentales utilizando funciones lineales y no lineales como el modelo matemático de Södergren que rige el comportamiento de celdas solares tipo Grätzel. Este tipo de experiencias le permiten al alumno integrar conocimientos de Fisicoquímica con conocimientos de Matemáticas y Computación.

Palabras clave:

Simulación, Solver de Excel, Celdas solares sensibilizadas por colorante, Curvas corriente voltaje

Solution and analysis of the Södergren model for Grätzel type solar cells using Excel’s Solver function

Abstract

The simulation of experiments is an aspect that has recently gained interest for teaching chemistry in cases where reactives are not available or the equipment necessary to carry them out. Excel is a computer program developed and distributed by Microsoft Corp. that allows accounting and financial tasks through the use of spreadsheets, is part of Microsoft Office and is used in much of the world. It allows a variety operations and includes the Solver complement. With this complement it is possible to adjust experimental data using linear and non-linear functions such as the mathematical model of Södergren that governs the behavior of Grätzel-type solar cells. This type of experience allows the student to integrate knowledge of Physicochemistry with knowledge of Mathematics and Computing.

Keywords:

Simulation, Solver from Excel, sensitized dye solar cell, current-voltage curves




Introducción

La simulación de experimentos es un aspecto que ha cobrado interés en el último tiempo en la enseñanza de la Química en los casos donde no se disponga de reactivos o del equipo necesario para la realización de la experiencia práctica de laboratorio (Reyes-Valadez, Quintana-Hernández, Coronado-Velasco, & Castro-Montoya, 2016; Alfaro & Alfaro, 2017). Daza y colaboradores (2009) plantearon que las Tecnologías de la Comunicación y la Información (TIC) ofrecen la posibilidad de hacer más creativa e innovadora la tarea de los docentes, y permitir también la implementación de diferentes tecnologías y metodologías para el proceso de enseñanza-aprendizaje de la Química. Pero, sobre todo, las TIC tienen varias ventajas para el aprendizaje, como la posibilidad de simular procesos que son difíciles de observar en el aula o en el laboratorio. Por otra parte, Raviolo (2010) realizó una revisión crítica del empleo de simulaciones y animaciones, haciendo especial hincapié en sus aportes didácticos (Raviolo, 2010). El poder simular ciertos procesos energéticos es de alto interés para nuestra sociedad sumado a esto la preocupación por el medio ambiente han motivado el estudio de fuentes energéticas alternativas. Durante los últimos doscientos años los combustibles fósiles han sido la principal fuente energética de nuestra sociedad, con el inherente problema de contaminación que implica su combustión, razón por la cual se han buscado fuentes de energía más limpias y económicas, como lo es la energía solar (Sánchez-Bojorge, Rodríguez-Valdez, & Zaragoza-Galán, 2018). Las celdas solares de Grätzel, también conocidas como celdas solares sensibilizadas por colorante, o por sus siglas en inglés DSSC (Dye Sensitized Solar Cell) (O’regan & Grätzel, 1991) constituyen una variante de menor costo en comparación con las celdas solares tradicionales de silicio, para la conversión fotovoltaica (Barbosa-García et al., 2012). Estas celdas solares de Grätzel están constituidas por un electrodo de un óxido semiconductor poroso, siendo el más utilizado el dióxido de titanio nanocristalino (Nazario, Torres, Palacios, & Quintana, 2015). Según lo planteado por Carbó y Rocha (2012), es posible imitar lo que sucede en la naturaleza en lo que respecta a la fotosíntesis, lo que ha permitido inspirarse en ella para el desarrollado de modelos que imitan los procesos de absorción de luz solar realizada por las plantas verdes, como lo muestra la figura 1 (Carbó Vela & Rocha Rangel, 2012).

Figura. 1. Representación esquemática de las celdas solares de Grätzel.


El funcionamiento de las celdas solares de Grätzel es el mostrado en la figura 2.

Figura. 2. Esquema del principio de funcionamiento de las celdas solares tipo Grätzel. Mostrando los diferentes procesos de transferencia de electrones que tienen lugar en la fotoconversión. En la figura debe tomarse solo en forma referencial, ya que los valores indicados pueden variar dependiendo del sistema utilizado. Adaptado de Rodríguez, 2011 (Rodriguez, 2011).

En primer lugar, el colorante pasa a un estado excitado (S*) cuando toma contacto con la luz visible (). Ecuación 1.

(1)

En segundo lugar, la molécula de colorante excitada (S*) se oxida, inyectando un electrón a la banda de conducción del semiconductor (dióxido de titanio). Los electrones difunden por la red nanocristalina del dióxido de titanio hasta encontrar el sustrato conductor, por donde acceden al circuito externo. Ecuación 2.

(2)

En tercer lugar, la molécula de colorante oxidado (S+) se regenera al recibir electrones del ion yoduro en el electrolito. Ecuación 3

(3)

En cuarto lugar, el ion yoduro se regenera mediante la reducción de ion triyoduro. Ecuación 4.

(4)

Estas transferencias de carga se realizan gracias a las diferencias entre los niveles energéticos de los componentes de la celda, como se ha representado en el diagrama de la figura 2. Las primeras celdas funcionaban con colorantes en base a rutenio y sus eficiencias presentaban valores de alrededor del 10% (Sánchez-Bojorge et al., 2018) y una variedad de nuevos complejos de rutenio han sido sintetizados para ser utilizados como colorantes (Chen, Lu, Wu, Chen, & Ho, 2007). Sin embargo, el rutenio es un elemento muy escaso en la naturaleza, lo que causa que su precio sea muy alto impactando directamente en el precio de la celda (Sánchez-Bojorge et al., 2018). Por lo que a pesar de sus buenos resultados es necesaria la búsqueda de nuevos compuestos. De esta forma se han estudiado elementos y compuestos como el osmio (Grätzel, 2004), cobre (Hattori, Wada, Yanagida, & Fukuzumi, 2005) y otros metales. Además otras moléculas han sido estudiadas como colorantes, por ejemplo porfirinas (Mathew et al., 2014) y ftalocianinas (Barnes, Anderson, Koops, Durrant, & O’Regan, 2008). Adicionalmente, se han estudiado colorantes orgánicos como indoles (Huang, Chen, Zhang, Caruso, & Cheng, 2010), cumarinas (Hara et al., 2003), tiofenos (Cao et al., 2009), carbazoles (Wang et al., 2014), triarilaminas (Liang et al., 2011), antocianinas (Cabrera, Figueroa, Ramírez-Pérez, & Solano-Cueva, 2017), etc. De estos estudios las porfirinas han destacado por presentar altas eficiencias de conversión solar (Sánchez-Bojorge et al., 2018). Por otra parte, se han reportado investigaciones que permiten el modelamiento y la simulación de celdas solares de Grätzel, pero el ajuste de estos modelos a los datos experimentales requiere del desarrollo de programas de computación en lenguajes avanzados o el uso de software comerciales (Efurumibe, Asiegbu, & Onuu, 2012). Un método alternativo es el uso de la función Solver de Excel para el ajuste de funciones no lineales, junto con el método de los mínimos cuadrados no lineales, en la cual se minimiza la suma de las diferencias al cuadrado entre los valores experimentales y los valores predichos por el modelo y que ya ha sido usado con éxito en el ajuste de datos experimentales a modelos no lineales (Alfaro, 2014; Alfaro & Alfaro, 2018). El objetivo del presente trabajo fue la solución y análisis del modelo de Södergren para celdas solares tipo Grätzel usando la función Solver de Excel.

Materiales y Métodos

Modelo de Södergren

El modelo de Södergren (1994) fue el escogido para simular las características de las curvas corriente voltaje (I-V) de celdas solares de Grätzel en este estudio (Södergren, Hagfeldt, Olsson, & Lindquist, 1994). Este modelo describe las características de las curvas I-V considerando la eficiencia cuántica para la iluminación substrato/electrodo (SE). Estas curvas pueden ser obtenidas experimentalmente midiendo el voltaje y variando una resistencia externa para calcular la corriente (Carbó Vela & Rocha Rangel, 2012;Sekar & Gehlot, 2010;Soedergren et al., 1994). El modelo de Södergren parte de la base de que el cambio en el potencial en la interfaz de contacto posterior del semiconductor está dado por la ecuación 5.

(5)

Donde Vsc es el fotopotencial de corto circuito, T es la temperatura absoluta, k es la constante de Boltzmann, q es la carga de un electrón, n es la densidad de electrones en exceso, n0 es la densidad electrónica en la oscuridad (Aboulouard, Jouaiti, & Elhadadi, 2017). El valor del fotopotencial medido, V, también incluye la pérdida de potencial en la interfaz semiconductor-electrolito y en el electrólito. Siendo las contribuciones más significativas las siguientes. La primera la interfaz de doble capa del electrodo semiconductor junto a la interfaz del electrodo contrario o electrolito. La segunda el cambio Nernstiano inducido por la luz causado por la reacción electroquímica en el electrolito cambiando la cantidad relativa de parejas redox. La tercera el cambio Nernstiano a lo largo del eje del flujo de carga en el electrolito, causado por la limitación de difusión de las parejas redox. Todas estas caídas de potencial causarán una desviación en el fotopotencial, de forma similar a la de los semiconductores la cual se corrige por la introducción de un factor de idealidad en la ecuación 6.

(6)

Donde V es el fotopotencial y m es el factor de idealidad.

Considerando la ecuación de difusión para los electrones en la película semiconductora microporosa, ecuación 7.

(7)

Donde D corresponde al coeficiente de difusión de los electrones en la película, n(x) a la densidad de electrones en exceso, n(0) a la densidad electrónica en la oscuridad, τ es tiempo de vida de los electrones libres de la banda de conducción, φ a la intensidad de la luz incidente, α es el coeficiente absorción de luz (Aboulouard et al., 2017). La cual al ser resuelta deriva en expresiones para la fotocorriente como una función del voltaje, es decir, de las características I-V, considerando que la condición inicial n(0) igual n y condición de borde descrita en la ecuación 8.

(8)

Resolviendo la ecuación de difusión con estas condiciones se obtiene la expresión para la fotocorriente (JSE), ecuación 9.

(9)

Donde J0SE es la densidad de corriente medida, d es el espesor de la película de dióxido de titanio, L el largo de difusión de los electrones. La ecuación 9 se puede simplificar si la longitud de difusión es pequeña en comparación con el espesor de la película, es decir L < d. La fotocorriente es entonces dada por la ecuación 10.

(10)

Una celda solar óptima requiere que la longitud de difusión sea mayor que el espesor de la película, L > d, obteniendo la ecuación 11.

(11)

Pero dado que D/L2 = 1/τ y τ se determina por recombinación cinética en la condición de iluminación sustrato/electrodo. Si el área del dispositivo no se considera, la expresión actual de una celda solar tipo Grätzel se puede generalizar a la ecuación 12.

(12)

Donde IL es la fotocorriente debido a la luz incidente e IS es la corriente de saturación. Para efectuar el ajuste del modelo de Södergren a la curva experimental I-V se utiliza el método de los mínimos cuadrados no lineales. El cual es un método iterativo que estima el mínimo de la función (SS), ecuación 13, vía la función Solver de Excel (Brown, 2001).

(13)

Donde Iexp es la intensidad de la fotocorriente experimental, IPred es la intensidad de la fotocorriente predicha por el modelo y wi es una función peso, destinada a mejorar el ajuste, la cual en este caso es definida por la ecuación 14 (M. Alfaro, 2014).

(14)

Donde s es la desviación estándar de los datos predichos definida por la ecuación 15, como:

(15)

Donde IPromedio,Pred, es la intensidad de la fotocorriente promedio predicha, Ii,Pred es la intensidad de la fotocorriente predicha de cada punto y n es el número total de puntos. La bondad del ajuste de los datos experimentales al modelo fue evaluada utilizando el coeficiente de regresión (R2) ecuación 16 (Brown, 2001). La suma de los errores cuadrados (SSE) ecuación 17, la raíz media de los errores cuadrados (RMSE), ecuación 18 y el estadígrafo chi-cuadrado (χ2), ecuación 19 (Gálvez, Ireland, & Mondaca, 2007). Los cuales comparan los valores de intensidad de la fotocorriente experimentales Iexp con los predichos por el modelo de Södergren Ipred y el promedio de la desviación relativa absoluta (AARD) ecuación 20 como descriptor estadístico adicional (Gardas et al., 2007).

(16)

(17)

(18)

(19)

(20)

Se consideran como buen ajuste valores cercanos a cero para los estadígrafos SSE, RMSE, χ2 (Gálvez et al., 2007) y para el AARD valores cercanos a 0,01 (Gardas et al., 2008), junto con valores mayores que 0,9900 para el R2 (Brown, 2001).

Uso de la función Solver de Excel para resolver el modelo matemático que rige el comportamiento de la fotocorriente a diferentes potenciales en celdas tipo Grätzel

Para efectuar la construcción de la planilla Excel, se deben seguir las indicaciones dadas en la Tabla 1 y en las figuras 3 y 4. Una vez construida la planilla se debe utilizar la función Solver de Excel para minimizar la función objetivo (método de los mínimos cuadrados no lineales). Por defecto, la función Solver no está disponible inmediatamente por lo que se debe instalar. Para instalar la función Solver se debe marcar el icono del menú Windows e ir a “Archivo”, luego a “opciones” y por último a “complementos”, como lo muestra la figura 5, luego se debe hacer clic en el botón “Ir”; marcamos el complemento “Solver” y pulsando “Aceptar”, como muestra la figura 6. Así la función Solver quedará asociada a la opción “Datos”, como lo muestra la figura 7. De esta forma, se puede Acceder a “Datos” + “Solver”. Una vez instalada la función Solver, podrá ser ejecutada de la siguiente forma: Primero, se hace clic en la Opción “Datos”, luego en la opción “Solver”, lo que permite visualizar el cuadro de diálogo de la función, como muestra la Figura 8. Segundo, la celda objetivo se marca, en este caso se marca la Celda $I$9. Tercero, se marca Min y se seleccionan las celdas $I$1:$I$3, las cuales corresponden a las constantes del modelo de Södergren (ecuación 12), estas celdas son las que Solver va a ajustar para que la función SS sea mínima (ecuación 13). Y así se calcula los parámetros fotoelectroquímicos IL, IS y m.

Tabla 1. Sentencia de cada celda Excel para el modelo de Södergren.

Celda Excel

Fórmula

Programación Excel

C2-C21

=$I$1-($I$2*(EXP($I$7*(A2/$I$3))-1))

D2-D21

= ABS((C2-B2)/B2)*100

E2-E21

= (B2-C2)^2

F2-F21

= (B2-$B$22)^2

B22

= PROMEDIO(B2:B21)

C22

= PROMEDIO(C2:C21)

E22

=SUMA(E2:E21)

F22

=SUMA(F2:F21)

C23

= DESVESTA(C2:C21)

K2-K21

=(C2-B2)^2/($C$23^2)

L2-L21

= (B2-C2)/B2

I23

=SUMA(K2:K21)

I24

=PROMEDIO(B2:B21)

I25

=CONTAR(B2:B21)-CONTAR(I1:I3)

I26

= RAIZ(E22/I25)

I27

=1-(E22/F22)

I28

= E22

I29

= RAIZ(I28)

I30

=I28/I25

I31

=(1/

CONTAR(B2:B21))*SUMA(L2:L21)

Figura 3. Planilla Excel mostrando las celdas A, B, C, D, E y F con sus respectivos contenidos.

Figura 4. Planilla Excel mostrando las celdas H, I y J con sus respectivos contenidos.

Figura 5. Ventana de Excel remarcando las opciones “complementos” y la opción “ir” en un rectángulo azul que deben seleccionarse.

Figura 6. Ventana de Excel con las opciones a seleccionar, remarcando la opción “Solver” la cual debe ser activada.

Figura 7. Planilla Excel destacando con rectángulo azul las opciones “Datos” y “Solver”.

Figura 8. Cuadro de dialogo de la función Solver de Excel. Mostrando la celda objetivo, en este caso la Celda $I$9, la opción Min, y las celdas variables $I$1:$I$3.

Resultados y discusión

Ajuste de las curvas corriente voltaje de celdas solares tipo Grätzel al modelo de Södergren

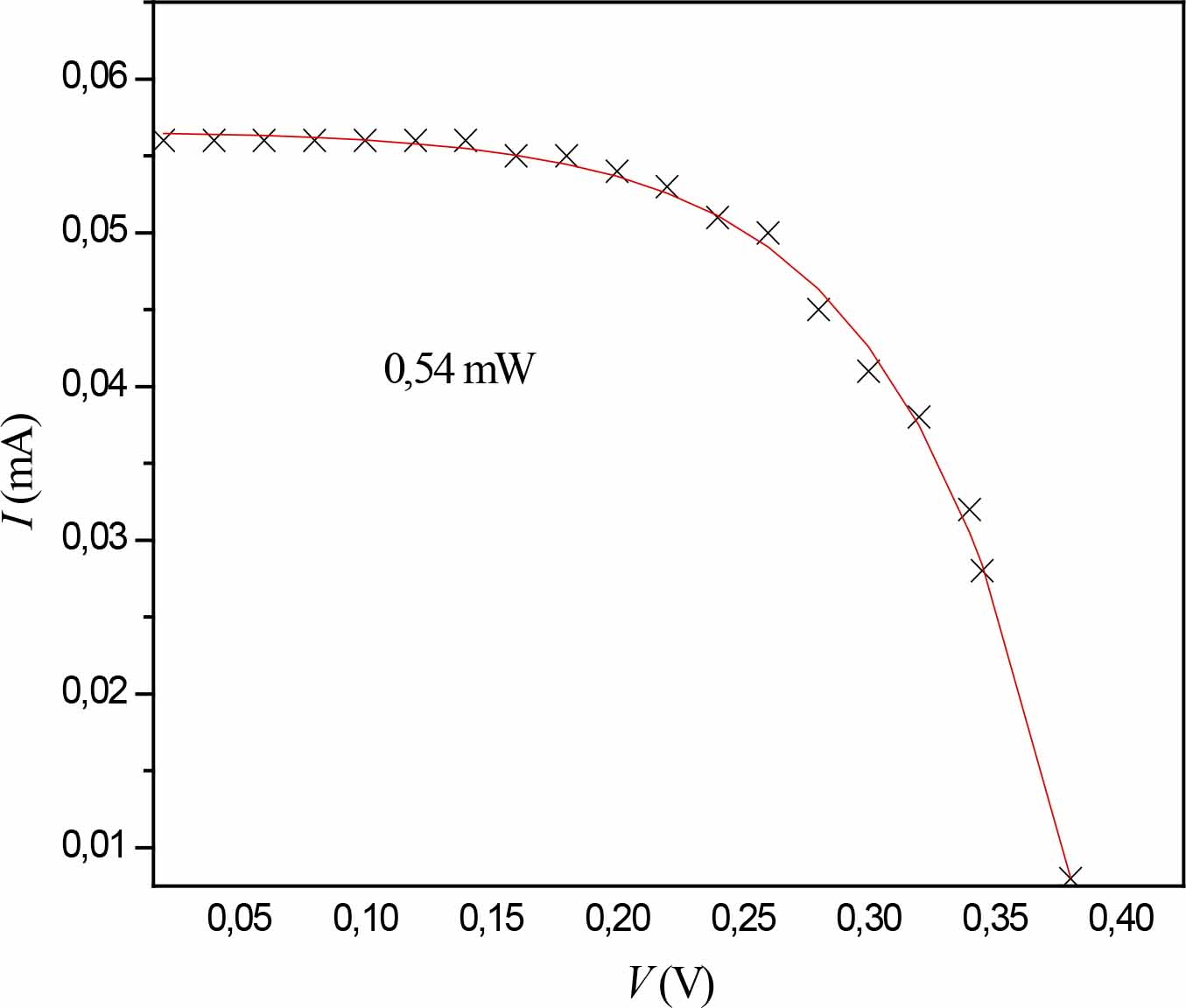
Los datos experimentales de corriente voltaje de celdas solares tipo Grätzel fueron extraídos de las curvas publicadas por Södergren y colaboradores. Las figuras 9, 10, 11 y 12 muestran la concordancia de los datos experimentales con los simulados utilizando el modelo matemático de Södergren para los diferentes valores de irradiancia estudiados (Södergren et al., 1994). Finalmente, las tablas las 2 y 3 muestran los valores de los parámetros del modelo de Södergren, y los estadígrafos para evaluar la calidad de ajuste del modelo a los datos experimentales a los diferentes valores de irradiancia. Desde el punto de vista pedagógico, los alumnos de cursos de fisicoquímica deben adquirir destreza en el manejo de herramientas computacionales que les permitan resolver problemas complejos, los cuales no son abordados en asignaturas de informática química, porque estos cursos generalmente están enfocados en el uso de programas de cálculos mecánico-cuánticos. Por lo que resulta ideal desarrollar estas competencias en seminarios de cálculo numérico o en prácticas en aula con un enfoque computacional aplicado. Se pretende que esta práctica de laboratorio teórica sirva de material de apoyo en este tipo de experiencias. En el presente trabajo se ha utilizado la función Solver de Microsoft Excel, se ha demostrado que la función Solver se puede utilizar para realizar el ajuste no lineal del modelo de Södergren. De acuerdo a lo planteado por Jurado “la gran ventaja de la función Solver es que permite llevar a cabo la estimación de parámetros de funciones definidas por el usuario y el principal inconveniente es que no proporciona los errores de los parámetros de ajuste” (Jurado, Muñiz-Valencia, Alcázar, Ceballos-Magaña, & González, 2016). Una posible solución a esta problemática, es vía la bondad del ajuste de los datos al modelo utilizando el coeficiente de regresión (R2) (Brown, 2001) los estadígrafos, suma de los errores cuadrados (SSE), la raíz media de los errores cuadrados (RMSE) y el estadígrafo chi-cuadrado (χ2) (Gálvez et al., 2007)y el promedio de la desviación relativa absoluta (AARD)(Gardas et al., 2008).

Figura 9. Curva I-V para una celda tipo Grätzel sometida a una irradiancia de 1,3 mW curva experimental (X) y curva simulada por el modelo de Södergren (línea roja continua).

Figura 10. Curva I-V para una celda tipo Grätzel sometida a una irradiancia de 0,95 mW curva experimental (X) y curva simulada por el modelo de Södergren (línea roja continua).

Figura 11. Curva I-V para una celda tipo Grätzel sometida a una irradiancia de 0,54 mW curva experimental (X) y curva simulada por el modelo de Södergren (línea roja continua).

Figura 12. Curva I-V para una celda tipo Grätzel sometida a una irradiancia de 0,33 mW curva experimental (X) y curva simulada por el modelo de Södergren (línea roja continua).

Tabla 2. Parámetros Fotoelectroquímicos determinados para cada Irradiancia.

Irradiancia

Parámetros Fotoelectroquímicos

1,30 mW

0,95 mW

0,54 mW

0,33 mW

IL

0,162

0,105

0,057

0,035

Ls

0,000097

0,000075

0,000135

0,000097

m

2,18

2,16

2.51

2,18

Tabla 3. Parámetros Estadísticos determinados para cada Irradiancia.

Irradiancia

Parámetros Estadísticos

1,30 mW

0,95 mW

0,54 mW

0,33 mW

R2

0,9985

0,9973

0,9969

0,8516

SSE

3,00E-05

2,96E-05

9,23E-06

1,71E-04

RMSE

5,48E-03

5,44E-03

3,04E-03

1,31E-02

χ2

1,77E-06

1,74E-06

5,77E-07

1,22E-05

AARD

-1,06E-04

-1,64E-03

-1,31E-04

1,08E-01

Análisis de los datos obtenidos en la resolución del modelo matemático para la descripción de la celda tipo Grätzel

Una vez la curva I-V de la celda solar ha sido simulada, pueden ser evaluados una serie de parámetros que permiten la caracterización de ésta. Estos incluyen, Isc (corto corriente de circuito), Voc (voltaje de circuito abierto), FF (factor de llenado) y η (eficiencia de conversión de energía). Estos parámetros pueden determinarse siguiendo el procedimiento descrito a continuación. El Modelo de Södergren define la intensidad de fotocorriente mediante la ecuación 12 definiendo se puede obtener la ecuación 21.

(21)

Reemplazando la ecuación 21, en el valor de la potencia P definida como V x I se obtiene la ecuación 22.

(22)

La cual puede ser derivada en forma parcial para obtener la expresión para la potencia máxima Pm ecuación 23:

(23)

Al efectuar la derivación parcial de la ecuación 23 se obtiene la ecuación 24

(24)

Como F(V) es una función implícita en V, debe obtenerse su solución mediante un proceso numérico iterativo. Por lo anterior, para la determinación de la solución numérica se utilizará el método de Newton definido por la ecuación 25

(25)

Si se deriva la ecuación de F(V) y se reemplaza la ecuación 24, se obtiene la ecuación 26

(26)

Reemplazando las ecuaciones para F(V) y F’(V) en la ecuación 25 y resolviendo utilizando el método de Newton se puede obtener el valor del Voltaje Vm y la Corriente Im los cuales permiten calcular la potencia máxima Pm. El cálculo del factor de llenado se efectúa utilizando la ecuación 27 (Sekar & Gehlot, 2010) con los parámetros obtenidos del procedimiento anterior y los parámetros obtenidos de las curvas, que se muestran en las figuras 13, 14, 15 y 16. Las curvas 16, 17, 18, 19 y 20 muestran el punto de potencia máxima.

(27)

Figura 13. Curva I-V simulada por el modelo de Södergren para una celda tipo Grätzel sometida a una irradiancia de 1,30 mW Im y Vm son los máximos de corriente de celda y voltaje máximo de celda respectivamente al máximo punto de poder y Pm = Im x Vm.

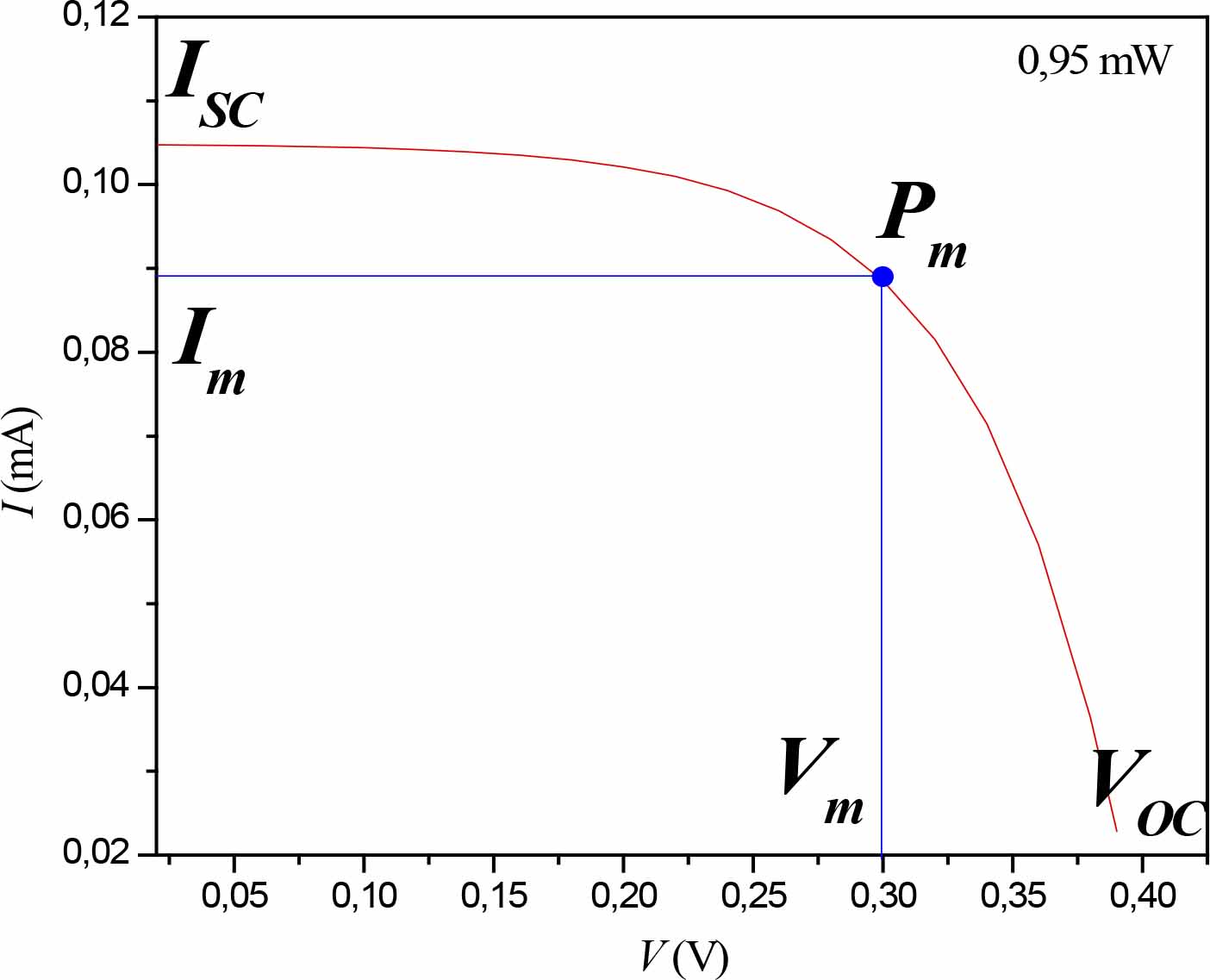
Figura 14. Curva I-V simulada por el modelo de Södergren para una celda tipo Grätzel sometida a una irradiancia de 0,95 mW Im y Vm son los máximos de corriente de celda y voltaje máximo de celda respectivamente al máximo punto de poder y Pm = Im x Vm.

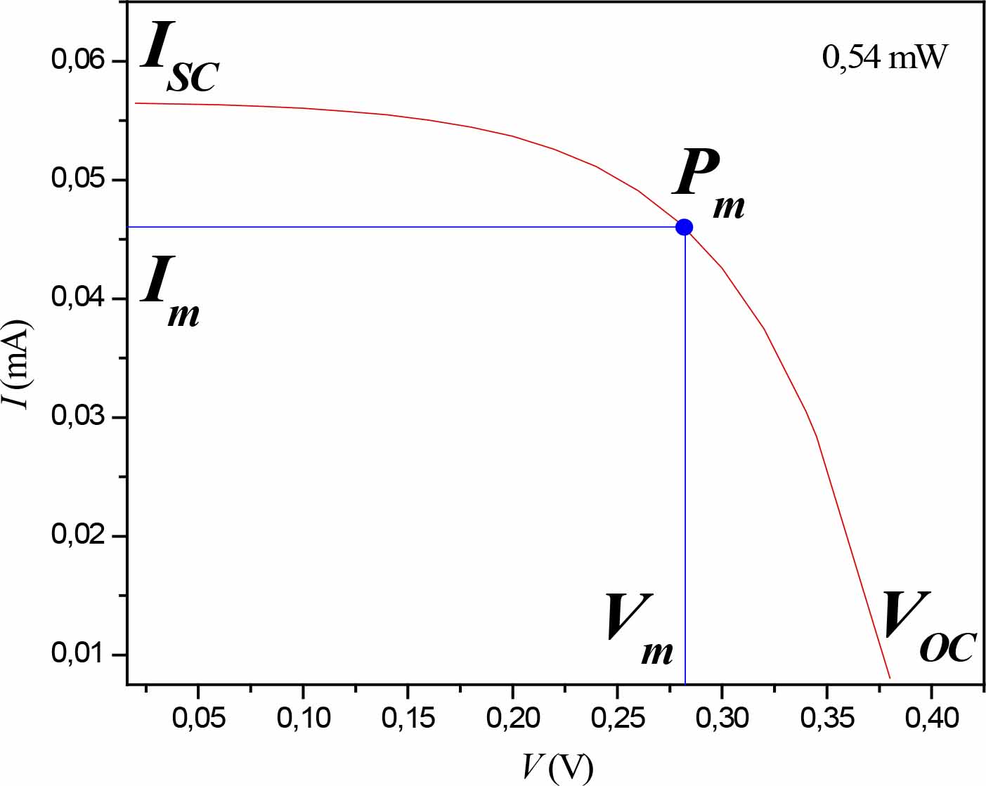
Figura 15. Curva I-V simulada por el modelo de Södergren para una celda tipo Grätzel sometida a una irradiancia de 0,54 mW Im y Vm son los máximos de corriente de celda y voltaje máximo de celda respectivamente al máximo punto de poder y Pm = Im x Vm.

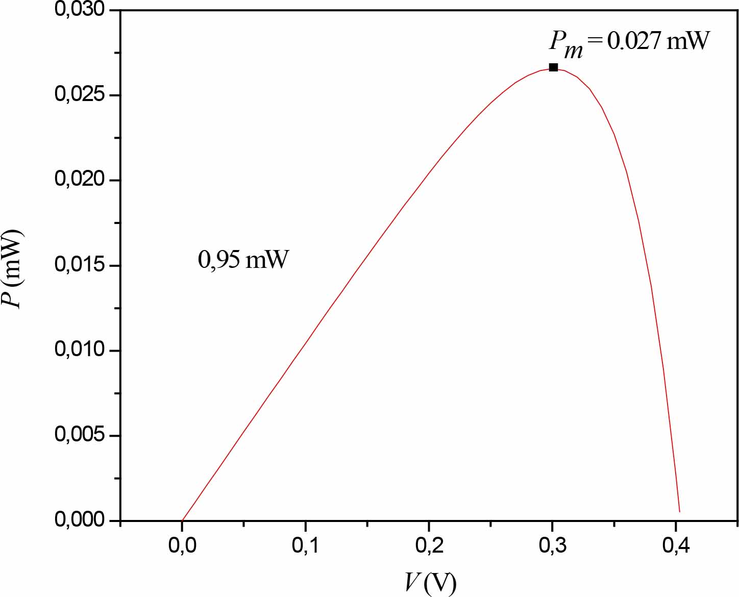
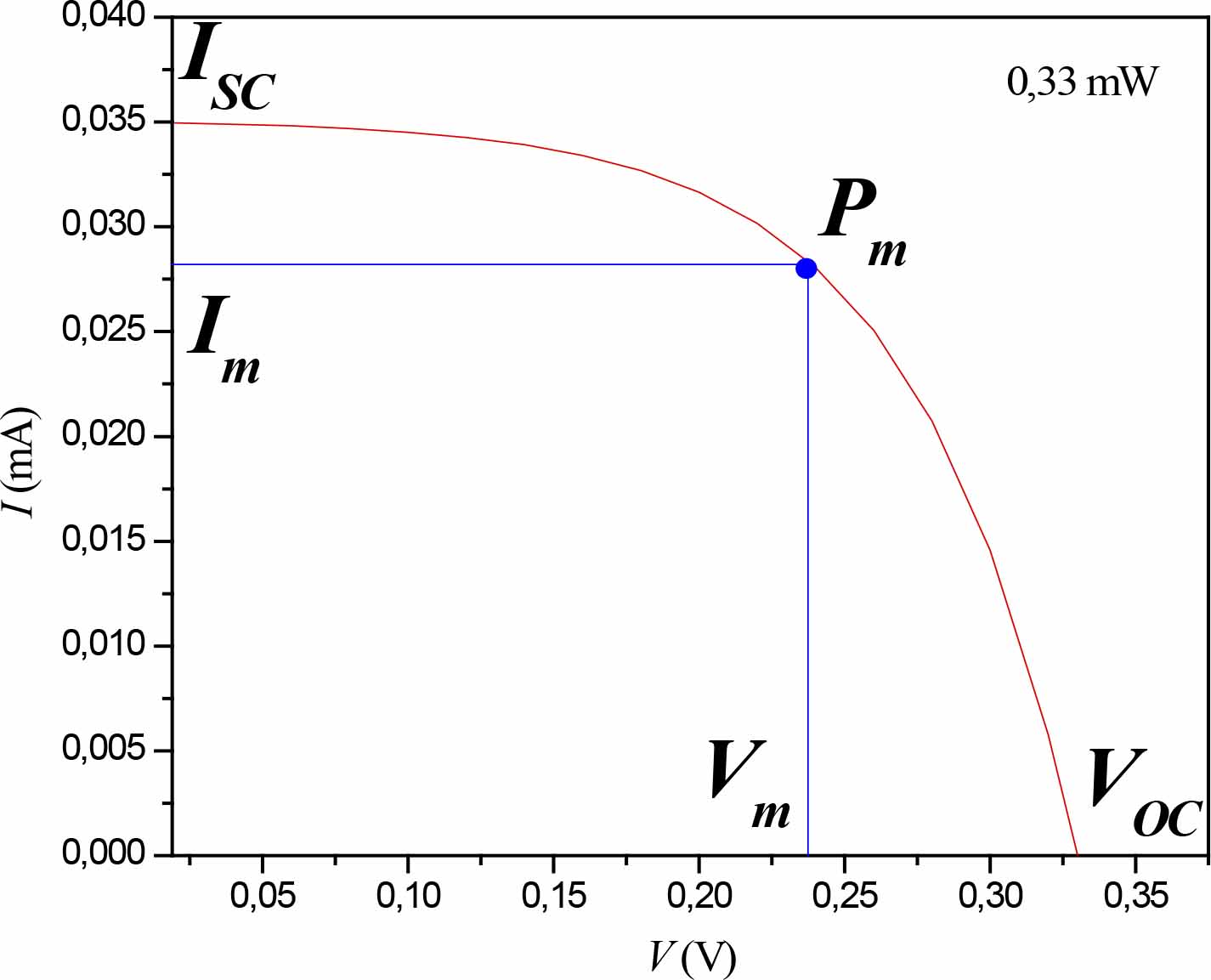
Figura 16. Curva I-V simulada por el modelo de Södergren para una celda tipo Grätzel sometida a una irradiancia de 0,33 mW Im y Vm son los máximos de corriente de celda y voltaje máximo de celda respectivamente al máximo punto de poder y Pm = Im x Vm.

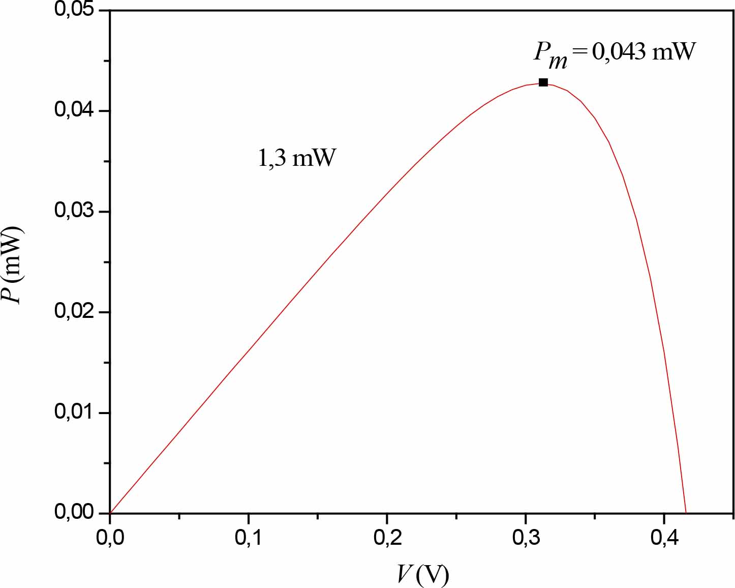
Figura 17. Curva P-V para una celda tipo Grätzel sometida a una irradiancia de 1,3 mW simulada por el modelo de Södergren.

Figura 18. Curva P-V para una celda tipo Grätzel sometida a una irradiancia de 0,95 mW simulada por el modelo de Södergren.

Figura 19. Curva P-V para una celda tipo Grätzel sometida a una irradiancia de 0,54 mW simulada por el modelo de Södergren.

Figura 20. Curva P-V para una celda tipo Grätzel sometida a una irradiancia de 0,33 mW simulada por el modelo de Södergren.

Cálculo de la eficiencia de conversión de energía de la celda solar de Grätzel

La eficiencia de conversión de energía de la celda solar tipo Grätzel se calcula utilizando la ecuación 28 (Sekar & Gehlot, 2010).

(28)

Donde η es la eficiencia de conversión de energía, Voc y Isc son el voltaje de circuito abierto y la corriente de corto circuito respectivamente medidas en el punto de máxima potencia de la celda (Pm) y φ es la irradiancia a la cual se somete la celda. Todos los valores de los parámetros anteriores son mostrados en la tabla 4.

Tabla 4. Parámetros de caracterización de la celda solar tipo Grätzel para cada Irradiancia.

Irradiancia (mW)

Voc

(V)

Isc

(mA)

Vm

(V)

Im

(mA)

Pm

(mW)

FF

η

(%)

1,30

0,40

0,164

0,311

0,137

0,043

0,649

3,28

0,95

0,39

0,105

0,300

0,089

0,027

0,652

2,81

0,54

0,38

0,056

0,282

0,046

0,013

0,610

2,40

0,33

0,33

0,036

0,237

0,028

0,007

0,559

2,01

Conclusiones

La simulación de experimentos es un aspecto que ha cobrado interés en el último tiempo en la enseñanza de la Química en los casos donde no se disponga de reactivos o del equipo necesario para la realización de estos debido a su costo o difícil adquisición. Es aquí donde la simulación desde el punto de vista del proceso de enseñanza-aprendizaje para los alumnos de las Carreras de Licenciatura en Química les permitiría adquirir la destreza en el manejo de herramientas computacionales para resolver problemas reales, como lo es la simulación y caracterización de celdas solares tipo Grätzel, las cuales no es posible analizar sin la utilización de modelos no lineales.

Conflicto de intereses

Los autores declaran no tener ningún conflicto de intereses.

Referencias

Aboulouard, A., Jouaiti, A., & Elhadadi, B. (2017). Modelling and Simulation of the Temperature Effect in Dye Sensitized Solar Cells. Der Pharma Chemica, 9(21), 94–99.

Alfaro, M. (2014). Modeling of polarization curves not exhibiting a Tafel region using Excel spreadsheets. Alexandria Engineering Journal, 53(4), 977–983. https://doi.org/10.1016/j.aej.2014.07.005

Alfaro, M., & Alfaro, I. (2017). Construcción de un potenciostato de bajo costo para estudios de inhibición de corrosión de acero: determinación del potencial de corrosión y mediciones cronoamperométricas. Educacion Quimica, 28(4), 269–274. https://doi.org/10.1016/j.eq.2017.05.006

Alfaro, M., & Alfaro, I. (2018). Uso de la función Solver de Excel para el cálculo de la velocidad de corrosión de acero al carbono en una solución de NaCl al 3,5 % saturada de oxígeno, O2: Un tutorial práctico. Educación Química, 29(2), 17–35. https://doi.org/10.22201/fq.18708404e.2018.1.63703

Barbosa-García, O., Maldonado, J. L., Ramos-Ortiz, G., Rodríguez, M., Pérez-Gutiérrez, E., Meneses-Nava, M. A., Pichardo, J. L., Ornelas, N., López de Alba, P. L. (2012). Celdas solares orgánicas como fuente de energía sustentable. Acta Universitaria, 22(5), 36–48.

Barnes, P. R. F., Anderson, A. Y., Koops, S. E., Durrant, J. R., & O’Regan, B. C. (2008). Electron injection efficiency and diffusion length in dye-sensitized solar cells derived from incident photon conversion efficiency measurements. The Journal of Physical Chemistry C, 113(3), 1126–1136.

Brown, A. M. (2001). A step-by-step guide to non-linear regression analysis of experimental data using a Microsoft Excel spreadsheet. Computer Methods and Programs in Biomedicine, 65(3), 191–200. https://doi.org/10.1016/S0169-2607(00)00124-3

Cabrera, M., Figueroa, J. G., Ramírez-Pérez, J. C., & Solano-Cueva, N. (2017). Celdas solares sensibilizadas con colorantes fotosensibles obtenidos de plantas de la región sur de Ecuador. Quimica Nova, 40(3), 260–263. https://doi.org/10.21577/0100-4042.20160184

Cao, Y., Bai, Y., Yu, Q., Cheng, Y., Liu, S., Shi, D., Shi, D., Gao, F. Wang, P. (2009). Dye-sensitized solar cells with a high absorptivity ruthenium sensitizer featuring a 2-(hexylthio) thiophene conjugated bipyridine. The Journal of Physical Chemistry C, 113(15), 6290–6297.

Carbó Vela, P. C., & Rocha Rangel, E. (2012). Proceso electroquímico en celdas solares sensibilizadas con un colorante natural. Investigación y Ciencia, 56, 3–10.

Chen, C.-Y., Lu, H.-C., Wu, C.-G., Chen, J.-G., & Ho, K.-C. (2007). New ruthenium complexes containing oligoalkylthiophene-substituted 1,10-phenanthroline for nanocrystalline dye-sensitized solar cells. Advanced Functional Materials, 17(1), 29–36.

Efurumibe, E. L., Asiegbu, A. D., & Onuu, M. U. (2012). Mathematical modelling of electron transport through the anode (TiO2) of a standard dye-sensitized solar cell. Asian Journal Applied Sciences, 5, 33–42.

Gálvez, A. V., Ireland, C. T., & Mondaca, R. L. (2007). Simulación matemática del proceso de secado de la gracilaria chilena (gracilaria chilensis). Ingeniare. Revista Chilena de Ingeniería, 15(1), 55–64. https://doi.org/10.4067/S0718-33052007000100008

Gardas, R. L., Costa, H. F., Freire, M. G., Carvalho, P. J., Marrucho, I. M., Fonseca, I. M. A., Ferreira, A. G, Coutinho, J. A. P. (2008). Densities and Derived Thermodynamic Properties of Imidazolium- , Pyridinium- , Pyrrolidinium- , and Piperidinium-Based Ionic Liquids, 805–811.

Gardas, R. L., Freire, M. G., Carvalho, P. J., Marrucho, I. M., Fonseca, I. M. a, Ferreira, A. G. M., & Coutinho, J. a P. (2007). High Pressure Densities and Derived Thermodynamic Properties of Imidazolium Based Ionic Liquids. J. Chem. Eng. Data, 52((1)), 80–88. https://doi.org/10.1021/je060247x

Grätzel, M. (2004). Conversion of sunlight to electric power by nanocrystalline dye-sensitized solar cells. Journal of Photochemistry and Photobiology A: Chemistry, 164(1–3), 3–14.

Hara, K., Tachibana, Y., Ohga, Y., Shinpo, A., Suga, S., Sayama, K., Sugihara, H., Arakawa, H. (2003). Dye-sensitized nanocrystalline TiO2 solar cells based on novel coumarin dyes. Solar Energy Materials & Solar Cells, 77, 89–103. https://doi.org/10.1016/S0927-0248(02)00460-9

Hattori, S., Wada, Y., Yanagida, S., & Fukuzumi, S. (2005). Blue copper model complexes with distorted tetragonal geometry acting as effective electron-transfer mediators in dye-sensitized solar cells. Journal of the American Chemical Society, 127(26), 9648–9654.

Huang, B. F., Chen, D., Zhang, X. L., Caruso, R. A., & Cheng, Y. (2010). Dual-Function Scattering Layer of Submicrometer-Sized Mesoporous TiO2 Beads for High-Efficiency Dye- Sensitized Solar Cells. Advanced Functional Materials, 20, 1301–1305. https://doi.org/10.1002/adfm.200902218

Jurado, J. M., Muñiz-Valencia, R., Alcázar, A., Ceballos-Magaña, S. G., & González, J. (2016). Ajustando datos químicos con Excel: Un tutorial práctico. Educacion Quimica, 27(1), 21–29. https://doi.org/10.1016/j.eq.2015.09.009

Liang, M., Lu, M., Wang, Q.-L., Chen, W.-Y., Han, H.-Y., Sun, Z., & Xue, S. (2011). Efficient dye-sensitized solar cells with triarylamine organic dyes featuring functionalized-truxene unit. Journal of Power Sources, 196(3), 1657–1664.

Mathew, S., Yella, A., Gao, P., Humphry-Baker, R., Curchod, B. F. E., Ashari-Astani, N., Tavernelli, I., Rothlisberger, U., Nazeeruddin, Md. K., Grätzel, M. (2014). Dye-sensitized solar cells with 13% efficiency achieved through the molecular engineering of porphyrin sensitizers. Nature Chemistry, 6(March), 242–247. https://doi.org/10.1038/nchem.1861

Nazario, R., Torres, W. S., Palacios, E., & Quintana, M. (2015). Evaluación de capas de bloqueo en celdas solares sensibilizadas de óxido de titanio nanoestructurado. Rev Soc Quím Perú, 81(2), 109–121.

O’Regan, B., & Grätzel, M. (1991). A low-cost, high-efficiency solar cell based on dye-sensitized colloidal TiO2 films. Nature, 353(6346), 737.

Raviolo, A. (2010). Simulaciones en la enseñanza de la química. In Conferencia VI Jornadas Internacionales y IX Jornadas Nacionales de Enseñanza Universitaria de la Química (Vol. Junio).

Reyes-Valadez, J. N., Quintana-Hernández, P. A., Coronado-Velasco, C., & Castro-Montoya, A. J. (2016). Simulación del proceso de producción de bioetanol a partir de la mezcla glucosa/xilosa incluyendo los efectos de temperatura, pH y concentración de azúcares. Revista Mexicana de Ingeniería Química, 15(1), 1–9.

Rodriguez, E. G. (2011). Photoelectrochemical characterization of dye solar cell based on nanostructure zinc oxide substrates. Departement of Physical, Chemical and Natural Systems (University Pablo de Olavide, Sevilla).

Sánchez-Bojorge, N.-A., Rodríguez-Valdez, L.-M., & Zaragoza-Galán, G. (2018). Celdas solares sensibilizadas por Colorantes (CSSC). Revista de La Facultad de Química de La UADY, 1(1), 1–10.

Sekar, N., & Gehlot, V. Y. (2010). Metal Complex Dyes for Dye-Sensitized Solar Cells: Recent Developments. Resonance, 819–831.

Södergren, S., Hagfeldt, A., Olsson, J., & Lindquist, S.-E. (1994). Theoretical models for the action spectrum and the current-voltage characteristics of microporous semiconductor films in photoelectrochemical cells. The Journal of Physical Chemistry, 98(21), 5552–5556.

Wang, Y., Chen, B., Wu, W., Li, X., Zhu, W., Tian, H., & Xie, Y. (2014). Efficient solar cells sensitized by porphyrins with an extended conjugation framework and a carbazole donor: from molecular design to cosensitization. Angewandte Chemie International Edition, 53(40), 10779–10783.

Recepcion: 07 de diciembre de 2018 Aprobacion: 28 de julio de 2019


[a] Académico del Departamento de Química de la Universidad de La Serena Chile. Doctor en Química, Universidad de La Serena Chile. Realizó una pasantía en el Instituto de Fisicoquímica en la Universidad Friedrich Alexander Erlangen Nuremberg en Alemania. Sus líneas de Investigación son Corrosión, Electroquímica y Modelamiento de Procesos. Investigador adscrito al Instituto de Investigación Multidisciplinario en Ciencia y Tecnología de la Universidad de La Serena.

[b] Ayudante del Departamento de Química de la Universidad de La Serena Chile. Químico (e), Universidad de La Serena Chile. Realizó una estadía en el Laboratorio de Corrosión y Electroquímica de la Universidad de Antofagasta Chile. Sus líneas de Investigación son Corrosión, Electroquímica y Fotoelectroquímica. Investigador adscrito al Centro de Investigación CENBIOEL, Chile.

[c] Académico del Departamento de Ingeniería en Obras Civiles de la Universidad de La Serena Chile. Ingeniero Civil, Universidad de La Serena Chile. Sus líneas de Investigación son Métodos Numéricos, Programación y Mecánica de Fluidos. Miembro del grupo de Investigación en Métodos Numéricos Aplicados a la Ingeniería de la Universidad de La Serena. Consultor en el Análisis y Desarrollo de Proyectos de Drenaje y Obras Viales.