DOI:http://dx.doi.org/10.22201/fq.18708404e.2020.3.72769
Aida Concha-Fritz[a], L-Nicolás Schiappacasse[b], Héctor Turra-Chico[c], María-Teresa Villanueva[d] y Juan Moncada-Herrera[e]
Resumen |
Este estudio tiene por objetivo analizar la incidencia de la indagación guiada -implementada en los laboratorios de un curso de Química General- para estudiantes de ingeniería - en el desarrollo de la competencia comunicativa oral, incluyendo la variable de gratuidad (perfil socioeconómico). Para alcanzar este propósito, se consideraron los puntajes de una rúbrica orientada a la evaluación de la competencia comunicativa y se analizó su progresión a lo largo del curso. Se observa que los estudiantes obtienen mejores puntajes en el desarrollo de la competencia comunicativa oral a medida que avanza el curso. Sin embargo, los estudiantes con gratuidad son los que evidencian mayores progresos, llegando a superar a sus pares en el último laboratorio. La indagación guiada tiene una incidencia positiva en el desarrollo de la competencia comunicativa oral, aunque es necesario revisar el diseño del curso para asegurar que todos los estudiantes la desarrollen adecuadamente, independiente de sus condiciones de entrada. |
Palabras clave: |
Indagación Guiada, Competencia comunicativa, enseñanza de la Química, perfil socioeconómico. |
Guided Inquiry and the communicative oral competency |
|
Abstract |
Oral communication is key for the development of scientific knowledge. However, there are still deficiencies in the way this competency is worked in undergraduate science courses. This study focuses in the analysis of the influence of the Guided Inquiry methodology–implemented in the lab sessions of a General Chemistry Course for engineering students - in the development of the oral communicative competence considering a free-tuition variable (socio-economic profile). To reach this objective, the scores obtained from a rubric aimed at evaluating the oral communicative competence and its progression was analyzed throughout the course. The free-tuition students evidence the greatest progression, even out-scoring their classmates in the last lab session. The Guided Inquiry has a positive influence in the development of the competency, although it is necessary to check the course design to ensure that every student develops it, independently of their enrollment conditions. |
Keywords: |
Guided Inquiry, communicative competence, Chemistry teaching, Socio-economic profile. |
Introducción
Las cambiantes circunstancias sociales referidas a los avances tecnológicos (Assar, 2015), expectativas de los estudiantes quienes buscan progresar rápidamente en sus ámbitos laborales y sociales (Behtoui et al., 2018) y, especialmente las demandas referidas a mayor participación de grupos históricamente no representados en la educación superior (grupos étnicos, paridad de género, grupos de perfiles socioeconómicos más bajos, entre otros) (Morgan, 2013), tensionan y generan nuevos desafíos relacionados a la pertinencia de la enseñanza y aprendizaje. Estos cambios que también se reflejan en los ámbitos laborales, y en la mayoría de las esferas sociales de la vida cotidiana, han generado la necesidad de buscar alternativas educativas de formación holística, que permitan que los profesionales puedan dar solución a nuevas problemáticas y desafíos tanto locales como globales (Hargreaves, 2003; Prieto, 2004).
Como una de las respuestas a este nuevo escenario, las instituciones educativas terciarias de Chile han desarrollado e implementado modelos educativos basados en el desarrollo de competencias, que permiten a los estudiantes no sólo aprender conceptos disciplinares, como en los modelos educativos tradicionales, sino que desarrollar competencias transversales (genéricas) y disciplinares en contextos cotidianos y profesionales (Veneros, 2012).
Uno de los desafíos que plantea esta nueva perspectiva de formación universitaria se relaciona con la capacidad de los programas académicos terciarios de identificar, implementar y evaluar actividades de aprendizaje que desarrollen competencias disciplinares y genéricas de manera integrada y efectiva. Para ello, los profesores universitarios deben tener un conocimiento amplio respecto de los entornos laborales, de modo que puedan proyectar las problemáticas que sus estudiantes enfrentarán al momento de insertarse al mundo del trabajo, y, adicionalmente, deben conocer estrategias pedagógicas que les permitan operacionalizar esta perspectiva.
En el caso particular de la enseñanza de las ciencias, en las últimas décadas han surgido y consolidado una serie de metodologías y/o estrategias de enseñanza-aprendizaje que buscan centrar el quehacer pedagógico en los estudiantes, lo que ha sido consecuente con el desarrollo de modelos basados en competencias y, además, responden de mejor forma a las nuevas características de aprendizaje de los estudiantes producto de la diversificación del estudiantado universitario (Biggs y Tang, 2007; Moya et al., 2018).
Entre otras metodologías, la indagación guiada aparece como una alternativa viable que permite operacionalizar dichos modelos educativos y responder a las necesidades de aprendizaje de los estudiantes en los cursos científicos, debido a que fomenta el aprendizaje activo y permite evidenciar diversas áreas de interés de la formación en ciencias como, por ejemplo, el trabajo en equipo, el uso de tecnologías, razonamiento científico y la comunicación oral y escrita, entre otras (Kuhlthau, Maniotes y Caspari, 2015).
De estas áreas de interés, es posible relevar la comunicación oral como una competencia crítica para desarrollar conocimiento científico y, así, permitir su avance a través de la socialización (Chan, 2011). A pesar de su importancia, varios estudios han identificado que el trabajo de la competencia comunicativa oral es insuficiente en cursos de ciencias de pregrado (Longnecker, 2009).
En este trabajo se describe la implementación de la metodología indagación guiada en las sesiones de laboratorio de un curso de Química General y se analiza su incidencia en el desarrollo de la competencia comunicativa oral en los estudiantes. Se analiza la progresión de la competencia a lo largo del curso y se considera el perfil socioeconómico como una variable dentro del estudio.
Marco teórico
La competencia comunicativa ha sido considerada fundamental para el proceso formativo de las disciplinas (Wahyuni, 2018), por lo que un alto porcentaje de las universidades que han implementado modelos educativos basados en el desarrollo de competencias la han considerado como una competencia transversal/genérica imprescindible.
La definición otorgada por algunas de estas universidades apuntan a tres subdimensiones: comunicación oral, comunicación escrita y comunicación multimodal (a través del del uso de tecnologías). A modo de ejemplo, la Universidad Politécnica de Madrid (2005) la define como “la capacidad para transmitir conocimientos y expresar ideas y argumentos de manera clara, rigurosa y convincente, tanto de forma oral como escrita, utilizando los recursos gráficos y los medios necesarios adecuadamente y adaptándose a las características de la situación y de la audiencia” (p.1). En esta definición se aprecia de forma explícita una división de los aspectos orales y escritos y se mencionan recursos y otros medios para llevarla a cabo.
Las universidades chilenas que operan bajo modelos basados en competencias la definen de manera similar. La Universidad Católica de Temuco (2016) define esta competencia como la capacidad de “comprender y producir —de forma oral, escrita y multimodal— diversos textos adecuados a una intención comunicativa para su desenvolvimiento personal, académico y profesional.” (p.39). En esta definición se explicita la multimodalidad de la comunicación con el fin de incluir algunos aspectos tecnológicos dentro de la competencia. Adicionalmente, en esta institución no sólo se especifica la definición general de la competencia, sino que se establecen niveles progresivos de desarrollo (en los que la complejidad va en aumento) que permiten operacionalizar de mejor forma el trabajo a lo largo de los itinerarios formativos de los estudiantes. La Tabla 1 muestra los diferentes niveles de competencia oral, escrita y multimodal establecidos por la Universidad Católica de Temuco.
Tabla 1. Niveles de la competencia oral, escrita y multimodal (Universidad Católica de Temuco, 2016 p. 40).
|
Nivel 1 |
Nivel 2 |
Nivel 3 |
|
Comprende y produce —de forma oral, escrita y multimodal— textos personales y académicos de complejidad creciente, adecuados a la intención de comunicación para su desenvolvimiento personal y académico. |
Comprende y produce —de forma oral, escrita y multimodal— textos académicos complejos, adecuados a la intención de comunicación para su desenvolvimiento personal y académico. |
Comprende y produce —de forma oral, escrita y multimodal— textos académicos y profesionales de alta complejidad, adecuados a la intención de comunicación para su desenvolvimiento personal, académico y profesional. |
Aun cuando la competencia comunicativa se define de forma general, su operacionalización es siempre aplicada al contexto y requerimiento de las diferentes disciplinas en las que se utiliza. En este sentido, surge la necesidad de implementar estrategias pedagógicas que permitan su desarrollo en el marco del aprendizaje disciplinar.
En la literatura asociada al desarrollo de la competencia comunicativa oral en el contexto de la enseñanza y el aprendizaje de las ciencias, se observa un reconocimiento de la necesidad de los estudiantes universitarios de mejorar ésta competencias (Chan, 2011; Gray, Emerson & MacKay, 2006; Longnecker, 2009). En dicho contexto, el desarrollo de la comunicación oral tiene por objetivo mejorar la forma en la que el conocimiento científico y técnico circula y se recibe (Longnecker, 2009). De acuerdo a Chan (2011), la comunicación oral efectiva, en el contexto científico, no puede ser alcanzada ‘estudiando’ la comunicación, sino que debe ser planificada estratégicamente, practicada y evaluada en ambientes lo más auténticos posibles. Esto implica otorgar oportunidades a los estudiantes para que enfrenten situaciones similares a las del mundo del trabajo y del trabajo científico en general (Gulikers, Bastiaens y Kirschner, 2006). En términos concretos, de acuerdo a Race (2007), esto implica entregar oportunidades para que los estudiantes participen en presentaciones similares a las exposición en eventos académicos, participar en reuniones con otros científicos y debatir.
La indagación como estrategia de enseñanza-aprendizaje, se enmarca dentro de los principios socioconstructivistas del aprendizaje, (Piaget, 1926; Vigotsky, 1978) y de aprendizaje cooperativo de Slavin (1983), ya que busca que el mismo estudiante sea un agente activo y que construya su propio conocimiento, basándose en experiencias previas y en procedimientos que se fundamentan en la investigación científica (Moog, 2014). En este sentido, la indagación promueve un trabajo práctico, aplicado por parte de los estudiantes que genera discusión y en donde el aprendizaje ocurre principalmente a través del descubrimiento (Uno, 1990). Se espera que la indagación ayude a los estudiantes a “pensar como científicos”, ya que sus procesos permiten que ellos desarrollen habilidades para describir fenómenos, construir preguntas y problemas, probar vías de solución, y comunicar ideas con sus pares (NRC, 2000). De acuerdo a Olveira (2009), en el contexto de la indagación como un modelo pedagógico, el profesor entrega ‘el control’ de la clase a sus estudiantes, ya que se desincentiva -por ejemplo- la entrega de respuestas correctas, sino que son los estudiantes los que asumen roles de expertos, en base a las investigaciones que realizan.
En específico, la indagación guiada se define como un sistema para el aprendizaje que utiliza procedimientos de investigación, recursos físicos y virtuales, con el fin de construir conocimiento y comprensión sobre un tema de estudio (Kuhlthau, Maniotes y Caspari, 2015). En esta modalidad, el profesor guía a través de preguntas orientadoras a sus estudiantes, para resolver una pregunta de investigación propuesta por el mismo docente (Reyes-Cárdenas y Padilla, 2012; Oliveira, 2009).
La indagación busca de forma explícita desarrollar razonamiento lógico-científico en los estudiantes, que les permita realizar preguntas, discutir, formular hipótesis, proponer diseños de investigación, solucionar problemas o preguntas y, finalmente, difundir académicamente el proceso y los resultados (Kuhlthau, Maniotes y Caspari, 2015; Santos y Hernández, 2005).
En términos prácticos, la metodología de Indagación Guiada considera el trabajo colaborativo como un elemento base para la implementación de actividades que consideran la aplicación del método científico, las que deben ser desarrolladas de forma escalonada (desde lo más simple a lo más complejo). En este proceso de aprendizaje, en el que el docente actúa como facilitador y guía, los estudiantes también adquieren y/o fortalecen otras competencias, tales como trabajo autodirigido, relaciones interpersonales y resolución de problemas científicos contextualizados (Kuhlthau, Maniotes y Caspari, 2015).
Herrenkohl, Tasker y White (2011) estudiaron las prácticas pedagógicas de docentes en el contexto de la implementación de la indagación guiada, utilizando la Web de Indagación (Web of Inquiry, WOI) con estudiantes de último año de educación secundaria. Dentro de los hallazgos del estudio se destaca el aprendizaje del lenguaje científico y la coherencia que desarrolla la aplicación de la indagación científica en los estudiantes. Resultados similares han sido discutidos por Putra, Widodo y Jatmiko (2016), quienes concluyen que la indagación guiada tiene una incidencia positiva directa en el desarrollo de la alfabetización científica. En un estudio realizado con estudiantes de cursos universitarios de química de primer y cuarto año, Gupta et al. (2015) presentan resultados que indican que los estudiantes que participan en actividades de indagación guiada, basadas en el modelo de Escritura Científica Heurística (Science Writing Heuristic) puntúan significativamente mejor en un instrumento orientado a medir habilidades de pensamiento crítico respecto de sus pares que cursan asignaturas enseñadas bajo principios educativos tradicionales. Los autores atribuyen estos resultados a las oportunidades de desarrollo lingüístico (a través de los debates, discusión y reflexión) que entrega la indagación guiada.
Ristanto et al. (2017) realizaron un estudio cuasi-experimental con 300 estudiantes de primer año de un programa de formación inicial de profesores. Estos estudiantes fueron divididos en dos grupos (experimental y de control). El grupo experimental participó en un curso de ciencias enseñado bajo la modalidad de indagación guiada, mientras que el segundo fue enseñado con metodologías tradicionales. Los resultados muestran que los estudiantes del grupo experimental obtienen puntajes significativamente superiores (+26,62%, p-valor 0,000) en un cuestionario de alfabetización científica respecto del grupo control.
Variados son los estudios en donde se discuten los resultados favorables de la indagación guiada en el desarrollo de competencias asociadas a la comunicación científica (Adolphus et al., 2012; Carlson, 2008; Gormally et al., 2009); sin embargo, no se evidencian mayores investigaciones sobre cómo opera este desarrollo a nivel de curso y si esta se desarrolla de la misma forma con diferentes tipos de estudiantes.
Desarrollo
La asignatura Química en Contexto -un curso de Química General- contextualizado según una propuesta de la American Chemical Society (1994), que se dicta todos los años en el segundo semestre, a alrededor de 200 estudiantes de primer año de Ingeniería. Los alumnos se distribuyen en 5 secciones de cátedra y 10 grupos de laboratorio. Uno de los desafíos de la asignatura es la validación de la competencia genérica comunicación oral, escrita y multimodal (Universidad Católica de Temuco, 2016), lo que implica diseñar actividades en las que los estudiantes puedan evidenciar el desarrollo de la competencia en el nivel de dominio requerido.
En una primera instancia se seleccionaron tres evaluaciones sumativas, para evidenciar específicamente la competencia de comunicación escrita, en las que se solicitaba a los estudiantes que describieran una serie de fenómenos químicos o ambientales. En el caso de la competencia comunicativa oral, ésta se evidenciaba en cada clase del curso a través de disertaciones cortas. Esta modalidad de validación fue descartada, debido a que las actividades correspondientes tenían una ponderación muy baja (menor que el 5% de la nota de presentación a examen), no eran priorizadas por los estudiantes, por lo que no era posible obtener evidencia de sus capacidades reales.
En el año 2014, el curso fue re-diseñado bajo las modalidades de Flipped Classroom (Aula Invertida), para las sesiones de cátedra, e Indagación guiada para el trabajo de laboratorio (Concha, Schiappacasse, Turra y Villanueva, 2019).
En el caso del laboratorio, la estrategia indagación guiada convirtió cada uno de los cuatro (4) prácticos que se realizan en el semestre en un ciclo que consta de las siguientes etapas: i) a un equipo de tres estudiantes se le plantea una pregunta/desafío; ii) mediante indagación, el equipo obtiene información sobre la pregunta/desafío a resolver; (iii) el equipo diseña actividades experimentales que le permitan responder la pregunta/desafío; (iv) una vez que su diseño ha obtenido el visto bueno del profesor, el equipo ejecuta las actividades experimentales y elabora un registro de su trabajo; (v) el ciclo finaliza con la entrega de un reporte oral en el que los estudiantes, con apoyo de material multimedia, comparten su experiencia y comunican las conclusiones que obtuvieron del trabajo experimental, respondiendo, además, preguntas de compañeros y del profesor.
Un ciclo (un práctico) se desarrolla en un período de dos semanas. Al finalizar la primera semana, los estudiantes realizan los experimentos y, al cabo de la segunda, entregan su reporte oral. Un profesor más un ayudante supervisan el trabajo de veinte (20) estudiantes. Cabe destacar que el promedio de notas de los reportes orales tiene un peso del 20% en la nota de presentación a examen.
El reporte oral de cada práctico es la instancia de evidenciación de la competencia genérica ‘comunicación oral, escrita y multimodal’ en su nivel 1, la que se evalúa mediante una rúbrica que integra nueve (9) criterios de las competencias a desarrollar, con 4 niveles de desempeño (véase Tabla 2). De los 9 criterios, cuatro (4) están relacionados, específicamente, con la competencia comunicativa oral: (i) Respuestas a preguntas; (ii) Uso de lenguaje claro y apropiado; (iii) Coherencia y cohesión y (iv) Uso del tiempo y apoyo multimedia.
Tabla 2. Rúbrica para la evaluación de la competencia comunicativa oral y escrita
|
Indicador de desempeño (*) |
Niveles de Desempeño |
|||
|
4 |
3 |
2 |
1 |
|
|
I1. Propósito (5%) |
Identifican con claridad el propósito, los objetivos e ideas principales del experimento |
Identifican con claridad el propósito, e ideas principales del experimento |
Identifican ideas principales del experimento |
Indican con dificultad las ideas principales del experimento |
|
I2. Fundamentación y Comprensión (15%) |
Indica y explica los principios sobre en los que se basa y desarrolla el experimento |
Indica los principios en los que se basa el experimento, explicándolos superficialmente |
Indica los principios en los que se basa el experimento, sin explicarlos |
No se establecen los principios en los que se basa el experimento |
|
I3. Procedimientos (10%) |
El procedimiento se describe con pasos claros y se indica el nombre correcto de todos los materiales y reactivos |
El procedimiento se describe con pasos claros y se indica el nombre de la mayoría de los materiales y reactivos |
El procedimiento describe claramente todos los pasos del experimento y se indica el nombre de algunos materiales |
El procedimiento no describe los paso pasos del experimento en forma precisa |
|
I4. Conclusión (15%) |
La conclusión incluye los descubrimientos que apoyan la técnica elegida posibles fuentes de error y lo que se aprendió del experimento. |
La conclusión incluye los descubrimientos que apoyan la técnica elegida y lo que se aprendió del experimento. |
La conclusión incluye lo que fue aprendido del experimento. |
La conclusión no da cuenta de los propósitos del experimento. |
|
I5. Lenguaje claro y apropiado (5%) |
El vocabulario usado por todos los integrantes es adecuado y afín al tema expuesto, emplean palabras vinculadas a lo tratado y sin cometer errores de léxico. |
El vocabulario usado por la mayoría de los integrantes es adecuado y afín al tema expuesto, emplean palabras vinculadas a lo tratado, cometiendo algunos errores de léxico. |
El vocabulario usado por la mayoría de los integrantes es inadecuado y poco afín al tema expuesto, emplean palabras vinculadas a lo tratado, cometiendo algunos errores de léxico. |
El vocabulario usado por la mayoría de los integrantes es inadecuado y poco afín al tema expuesto, emplean palabras poco vinculadas a lo tratado, cometiendo constantemente errores de léxico. |
|
I6. Coherencia y cohesión (10%) |
Exponen claramente las ideas, formando planteamientos coherentes y comprensibles fácilmente, sin necesidad de apoyo de apuntes. |
Exponen claramente las ideas, formando planteamientos coherentes y comprensibles con alguna dificultad, necesitando en ocasiones apoyo de apuntes. |
Exponen de manera poco clara las ideas, formando planteamientos coherentes y comprensibles con dificultad, necesitando frecuentemente ayuda de apuntes. |
Exponen de manera poco clara las ideas, formando planteamientos coherentes y comprensibles con mucha dificultad, pudiéndose hacer sólo con ayuda de apuntes. |
|
I7. Responden a preguntas (30%) |
pueden con precisión contestar casi todas las preguntas planteadas sobre el tema por la docente o sus demás compañeros |
Pueden con precisión contestar la mayoría de las preguntas planteadas sobre el tema por la docente o sus demás compañeros (Más del 50%) |
Puede con precisión contestar algunas preguntas planteadas sobre el tema por la docente o sus demás compañeros. (Menos del 50%) |
Puede n con dificultad contestar las preguntas planteadas sobre el tema por la docente o sus demás compañeros |
|
I8. Formulan preguntas y escuchan otras presentaciones (5%) |
Todos los integrantes formulan al menos una pregunta de las demás presentaciones con claridad y coherencia |
Todos los integrantes formulan una pregunta de las demás presentaciones pero una de ellas es poco clara y coherente |
Uno de los integrantes no formula una pregunta de las demás presentaciones |
Todos los integrantes formulan una pregunta de las demás presentaciones pero una de ellas es poco clara |
|
I9. Uso de apoyo multimedia (5%) |
El recurso presenta la información con una redacción equilibrada de ideas, y un nivel adecuado de detalle en la descripción del tema que aborda. Tiene la capacidad de motivar y generar interés de la audiencia |
El recurso presenta la información con una redacción equilibrada de ideas, y un nivel adecuado de detalle en la descripción del tema que aborda. Tiene poca capacidad de motivar y generar interés de la audiencia |
El recurso presenta la información con una redacción poco equilibrada de ideas, y un nivel inadecuado de detalle en la descripción del tema que aborda. Tiene poca capacidad de motivar y generar interés de la audiencia |
El recurso presenta la información con una redacción poco equilibrada de ideas, y un nivel inadecuado de detalle en la descripción del tema que aborda. No tiene la capacidad de motivar y generar interés de la audiencia |
(*) Se informa entre paréntesis la ponderación del indicador en el cálculo de la nota global de la presentación oral.
Los niveles de desempeño de cada criterio de la rúbrica son evaluados con un puntaje de 1 a 4, desde menos logrado a totalmente logrado. Los resultados de la evaluación, más la respectiva retroalimentación, son entregados al finalizar la clase de laboratorio destinada a los reportes. El puntaje con el que se evalúa, específicamente, el desarrollo de la competencia comunicativa oral en los indicadores I5, I6, I7 y I9, se calcula según la ecuación:
Puntaje Com. Oral = I5x(5/50) + I6x(10/50) + I7x(30/50) + I9x(5/50) (1)
donde I’N’ (con N = 5, 6, 7 y 9) identifica el indicador que se describe en la Tabla 2.
Si el puntaje se encuentra entre 0 y 2, el estudiante no valida la competencia, y si es superior a 2, la competencia es validada.
La experiencia de implementación de la estrategia indagación guiada se llevó a cabo el primer semestre del año 2018, y en ella participaron 179 estudiantes de primer año matriculados en programas de ingeniería. Del total de estudiantes, 123 son hombres y 56 son mujeres; un 74,9% (134 estudiantes) son beneficiarios de la gratuidad y un 25,1% (45) no tiene este apoyo. La gratuidad es un beneficio que se entrega en Chile (desde el año 2016) a estudiantes provenientes de familias que pertenecen al 60% más pobre del país. En consecuencia, la gratuidad es una condición asociada estrechamente al perfil socioeconómico del estudiante.
Con el fin de evidenciar el desarrollo de la competencia comunicativa oral a lo largo del curso en los participantes descritos en el apartado anterior, se analizaron los puntajes que obtuvieron (calculados según Ec. 1) en las cuatro instancias en las que debieron realizar presentaciones orales, para reportar y defender los experimentos realizados en el laboratorio. Para ello se utilizó los indicadores I5, I6, I7 e I9 de la rúbrica presentada en la tabla 2. Este instrumento fue construido por los profesores del curso y fue sometido a una validación de expertos, tanto en el ámbito disciplinar, como en el ámbito pedagógico. Esta validación fue realizada con criterios asociados al lenguaje utilizado, pertinencia y confiabilidad.
Con el fin de asegurar que los profesores utilizaran de forma similar el instrumento, se llevaron a cabo reuniones con el propósito de unificar criterios. Adicionalmente, cada 3 semanas se integró un segundo profesor a las sesiones de evaluación y se grabaron todas las instancias con el fin de revisar los puntajes otorgados.
Para analizar estos puntajes, en primer lugar, se aplicó estadística descriptiva para caracterizar tanto para la muestra global como las submuestras estudiantes con gratuidad y estudiantes sin gratuidad. Luego, se realizó el procedimiento de ANOVA de medidas repetidas de un factor para determinar si había diferencias significativas entre los puntajes obtenidos por los estudiantes en los cuatro laboratorios.
Cuando el análisis ANOVA indicó que había diferencias significativas entre los laboratorios, se aplicó el procedimiento de comparación múltiple de Bonferroni (Sáez et al., 1994; Williams et al., 1999; Jaccard et al., 1984) para identificar el o los laboratorios causantes de este resultado.
Resultados
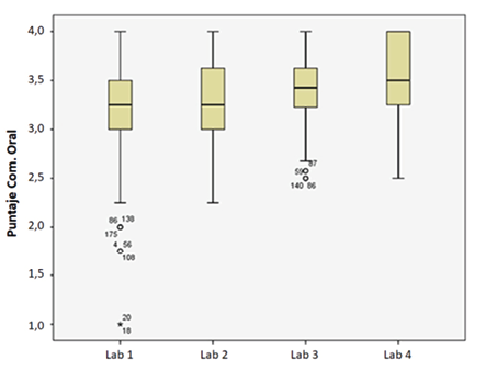
La Figura 1 muestra las distribuciones de los puntajes asociados a la competencia comunicativa oral, obtenidos por los estudiantes en cada uno de los laboratorios. Se observa que las distribuciones de los laboratorios 1 y 2 son muy similares: ambas tienen el mismo rango ([2,2; 4,0]) y también coinciden en el primer cuartil (3,0) y en la mediana (3,25). Solo difieren en el tercer cuartil, que es mayor para el segundo laboratorio (3,65 vs 3,5). La distribución para el tercer laboratorio se estrecha: el límite inferior del rango, el primer cuartil y la mediana suben a 2,6, 3,25 y 3,4, respectivamente, lo que indicaría de manera preliminar que el grupo de estudiantes evidenció un progreso en el desarrollo de la competencia con respecto a los laboratorios anteriores. La principal característica de la distribución de puntajes del cuarto laboratorio es que un 25% de los estudiantes obtuvo el valor máximo (4,0).
Figura 1. Distribuciones de los puntajes asociados a la competencia comunicativa oral, obtenidos por los estudiantes (N = 179) en cada uno de los laboratorio
Tabla 3. Resultados del ANOVA de medidas repetidas (obtenidos mediante el software SPSS) para la muestra de 179 estudiantes
|
Efecto |
Valor |
F |
GL de la hipótesis |
GL del error |
Sig. |
|
|
laboratorio |
Traza de Pillai |
,148 |
10,099 |
3,000 |
175,000 |
,000 |
|
Lambda de Wilks |
,852 |
10,099 |
3,000 |
175,000 |
,000 |
|
|
Traza de Hotelling |
,173 |
10,099 |
3,000 |
175,000 |
,000 |
|
|
Raíz mayor de Roy |
,173 |
10,099 |
3,000 |
175,000 |
,000 |
|
Para determinar si los puntajes que evalúan el desarrollo de la competencia comunicativa oral eran los mismos en los cuatro laboratorios, se aplicó un ANOVA de medidas repetidas, usando el Software SPSS. Los resultados se presentan en la Tabla 3. Esta ofrece varios estadísticos para poner a prueba la hipótesis nula referida al efecto del trabajo progresivo en el laboratorio sobre el desarrollo de la competencia comunicativa oral. La Tabla 3 contiene cuatro estadísticos multivariados: la traza de Pillai, la lambda de Wilks, la traza de Hotelling y la raíz mayor de Roy (Bock, 1975; Tabachnik y Fidel, 1983). Puesto que el nivel crítico (Sig.) asociado a cada uno de ellos (0,000) es mucho menor que 0,05, se puede rechazar la hipótesis nula de igualdad de medias y concluir que el puntaje ponderado para la competencia comunicativa oral no es el mismo en los cuatro laboratorios.
Para determinar entre cuáles laboratorios las diferencias de puntajes eran significativas, se aplicó la prueba estadística de Bonferroni (de comparaciones múltiples). Los resultados, obtenidos mediante el software SPSS, se muestran en la Tabla 4, en la que se observa que existen diferencias significativas entre los laboratorios 1 y 4, y 2 y 4 (los niveles críticos, Sig., son mucho menores que 0,05, y el respectivo intervalo de confianza excluye al cero).
Tabla 4. Comparaciones múltiples (por pares, mediante la prueba de Bonferroni) entre los puntajes obtenidos por los estudiantes (N=179) en los cuatro laboratorios.
|
(I)laboratorio |
(J)laboratorio |
Diferencia de medias (I-J) |
Error típ. |
Sig.b |
Intervalo de confianza al 95 % para la diferenciab |
|
|
Límite inferior |
Límite superior |
|||||
|
1 |
2 |
-,021 |
,064 |
1,000 |
-,190 |
,149 |
|
3 |
-,139 |
,057 |
,091 |
-,291 |
,012 |
|
|
4 |
-,249* |
,064 |
,001 |
-,421 |
-,077 |
|
|
2 |
1 |
,021 |
,064 |
1,000 |
-,149 |
,190 |
|
3 |
-,119 |
,050 |
,111 |
-,252 |
,014 |
|
|
4 |
-,229* |
,046 |
,000 |
-,351 |
-,106 |
|
|
3 |
1 |
,139 |
,057 |
,091 |
-,012 |
,291 |
|
2 |
,119 |
,050 |
,111 |
-,014 |
,252 |
|
|
4 |
-,110 |
,049 |
,156 |
-,240 |
,021 |
|
|
4 |
1 |
,249* |
,064 |
,001 |
,077 |
,421 |
|
2 |
,229* |
,046 |
,000 |
,106 |
,351 |
|
|
3 |
,110 |
,049 |
,156 |
-,021 |
,240 |
|
* La diferencia de medias es significativa al nivel ,05; b. Ajustes para comparaciones múltiples: Bonferroni
La muestra de estudiantes fue dividida en dos submuestras, considerando la condición de gratuidad, que es un indicador del perfil socioeconómico del estudiante. De esta manera, la submuestra estudiantes con gratuidad estuvo conformada por 134 individuos, y la submuestra estudiantes sin gratuidad, por 45 individuos. La Figura 2, para cada una de las submuestras, presenta las distribuciones de los puntajes asociados al desarrollo de la competencia comunicativa oral, obtenidos por los estudiantes en cada uno de los laboratorios.
Para la submuestra estudiantes con gratuidad, se observa que entre el laboratorio 1 y el laboratorio 2 hubo una leve baja en los puntajes, pues tanto la mediana como el tercer cuartil disminuyeron. En el laboratorio 3, la mediana aumenta como consecuencia de un aumento considerable del límite inferior del rango y del primer cuartil. La distribución del laboratorio 3 es la más angosta de todas; el 50% de los puntajes se concentra en el intervalo [3,2; 3,5]. En el laboratorio 4, la distribución se amplía; sin embargo, es clara la tendencia al alza de los puntajes: la mediana sube a 3,75 y el tercer cuartil es igual a 4,0, lo que implica que el 25% de los estudiantes obtiene el valor máximo (4,0).
Figura 2. Distribuciones de los puntajes asociados al desarrollo de la competencia comunicativa oral, obtenidos por los estudiantes con gratuidad (N=134) y por los estudiantes sin gratuidad (N=45) en cada uno de los laboratorios.
Para la submuestra estudiantes sin gratuidad, se observa que las medianas de los laboratorios 1 y 2 son iguales a 3,25. La distribución del laboratorio 2 es más amplia que la del laboratorio 1; el tercer cuartil aumenta de 3,4 a 3,7 y el límite inferior del rango disminuye de 2,5 a 2,3. La distribución del laboratorio 3 muestra una mejora con respecto a los laboratorios 1 y 2, pues primer cuartil, mediana y tercer cuartil aumentan. Las distribuciones de los laboratorios 3 y 4 coinciden en los límites del rango, primer cuartil y mediana; sin embargo, tal como ocurrió con la submuestra estudiantes con gratuidad, en el laboratorio 4, el 25% de los estudiantes obtuvo el puntaje máximo (4,0)
Para cada una de las dos submuestras en las que se dividió la muestra (estudiantes con gratuidad y estudiantes sin gratuidad), se hicieron nuevamente los análisis estadísticos ANOVA de medidas repetidas y comparación por pares de Bonferroni.
La Tabla 5 muestra los resultados del ANOVA de medidas repetidas (obtenidos con el software SPSS) para la submuestra estudiantes con gratuidad, los cuales indican que los puntajes obtenidos por ellos en los cuatro laboratorios no son iguales. Al aplicar la prueba de Bonferroni (Tabla 6), se observa que las diferencias de puntajes son significativas entre el laboratorio 4 y cada uno de los otros laboratorios.
Tabla 5. Resultados del ANOVA de medidas repetidas (obtenidos mediante el software SPSS) para el grupo de 134 estudiantes con gratuidad.
|
Efecto |
Valor |
F |
GL de la hipótesis |
GL del error |
Sig. |
|
|
laboratorio |
Traza de Pillai |
,285 |
17,392 |
3,000 |
131,000 |
,000 |
|
Lambda de Wilks |
,715 |
17,392 |
3,000 |
131,000 |
,000 |
|
|
Traza de Hotelling |
,398 |
17,392 |
3,000 |
131,000 |
,000 |
|
|
Raíz mayor de Roy |
,398 |
17,392 |
3,000 |
131,000 |
,000 |
|
Tabla 6. Comparaciones múltiples (por pares, mediante la prueba de Bonferroni) entre los puntajes obtenidos por los estudiantes con gratuidad (N=134) en los cuatro laboratorios.
|
(I)laboratorio |
(J)laboratorio |
Diferencia de medias (I-J) |
Error típ. |
Sig.b |
Intervalo de confianza al 95 % para la diferenciab |
|
|
Límite inferior |
Límite superior |
|||||
|
1 |
2 |
,000 |
,065 |
1,000 |
-,174 |
,174 |
|
3 |
-,099 |
,058 |
,552 |
-,256 |
,057 |
|
|
4 |
-,301* |
,064 |
,000 |
-,472 |
-,131 |
|
|
2 |
1 |
,000 |
,065 |
1,000 |
-,174 |
,174 |
|
3 |
-,099 |
,048 |
,251 |
-,229 |
,030 |
|
|
4 |
-,301* |
,045 |
,000 |
-,421 |
-,182 |
|
|
3 |
1 |
,099 |
,058 |
,552 |
-,057 |
,256 |
|
2 |
,099 |
,048 |
,251 |
-,030 |
,229 |
|
|
4 |
-,202* |
,049 |
,000 |
-,332 |
-,072 |
|
|
4 |
1 |
,301* |
,064 |
,000 |
,131 |
,472 |
|
2 |
,301* |
,045 |
,000 |
,182 |
,421 |
|
|
3 |
,202* |
,049 |
,000 |
,072 |
,332 |
|
*La diferencia de medias es significativa al nivel ,05. b. Ajuste para comparaciones múltiples: Bonferroni.
La Tabla 7 muestra los resultados del ANOVA de medidas repetidas (obtenidos con el software SPSS) para la submuestra estudiantes sin gratuidad, los cuales indican que no hubo diferencias significativas entre los puntajes de un laboratorio y otro. En consecuencia, no fue necesario realizar la prueba de Bonferroni.
Tabla 7. Resultados del ANOVA de medidas repetidas (obtenidos mediante el software SPSS) para el grupo de 45 estudiantes sin gratuidad.
|
Efecto |
Valor |
F |
GL de la hipótesis |
GL del error |
Sig. |
|
|
laboratorio |
Traza de Pillai |
,116 |
1,844 |
3,000 |
42,000 |
,154 |
|
Lambda de Wilks |
,884 |
1,844 |
3,000 |
42,000 |
,154 |
|
|
Traza de Hotelling |
,132 |
1,844 |
3,000 |
42,000 |
,154 |
|
|
Raíz mayor de Roy |
,132 |
1,844 |
3,000 |
42,000 |
,154 |
|
La Figura 3 muestra cómo evolucionaron los puntajes asociados a la competencia comunicativa oral a lo largo del curso (desde el laboratorio 1 al laboratorio 4), tanto para la muestra completa como para las submuestras estudiantes con gratuidad y estudiantes sin gratuidad. Se observa que existe una progresión positiva en los puntajes de la muestra total. En el primer laboratorio, la media es de 3,27 y llegan progresivamente a una media de 3,54 en la última evaluación de laboratorio. Precisamente, los análisis estadísticos mostraron que los puntajes del laboratorio 4 son significativamente mayores que los puntajes de los laboratorios 1 y 2. Al desagregar en submuestras, se observa que la progresión descrita es generada, principalmente, por los estudiantes con gratuidad, quienes lograron en el laboratorio 4 los puntajes más altos (significativamente mayores que los puntajes de los laboratorios 1, 2 y 3). Los estudiantes sin gratuidad también van mejorando su desempeño de un laboratorio al siguiente; sin embargo, las diferencias entre los puntajes de uno y otro laboratorio no son significativas. En particular, el desempeño en el último laboratorio es más bajo que el de los estudiantes con gratuidad, aunque la evidencia no permite afirmar que esta diferencia sea significativa.
Figura 3. Desarrollo de la competencia comunicativa oral (evaluada sobre la base de un puntaje ponderado) en el transcurso de los cuatro laboratorios realizados en el semestre, para la muestra completa (‘todos’) y para las submuestras estudiantes con gratuidad (c/g) y estudiantes sin gratuidad (s/g).
Discusión
En términos globales, es posible establecer que la indagación guiada contribuye al desarrollo de la competencia de comunicación oral. En este sentido, se reafirman los hallazgos de estudios previos (Herrenkohl, Tasker y White, 2011; Putra, Widodo, y Jatmiko, 2016; Ristanto et al., 2017) respecto de los beneficios de la indagación en el desarrollo de lenguaje científico y habilidades de comunicación.
Esta incidencia positiva de la metodología sobre el desarrollo de la competencia comunicativa oral podría explicarse, en el contexto del presente estudio, debido a las diversas oportunidades de desarrollo lingüístico orientadas a la discusión científica, que se otorgan en las diferentes actividades del curso. A modo de ejemplo, las sesiones de laboratorio desde un inicio fomentan la discusión del problema entregado por el profesor, ya que este debe aprobar la propuesta de los estudiantes antes de comenzar los procesos de experimentación. Adicionalmente, tanto el proceso de investigación como el proceso de experimentación y exposición de resultados, demandan una discusión crítica basada en conceptos disciplinares lo que contribuye directamente al desarrollo de la competencia comunicativa oral (Gupta et al.,2015).
Si bien es cierto, la situación descrita anteriormente representa los resultados de la muestra global y del segmento con gratuidad, hay una diferencia en el sector de estudiantes sin este beneficio, ya que estadísticamente las diferencias en los puntajes que se encontraron en este grupo no son significativas entre los laboratorios. Una hipótesis que podría explicar esta diferencia, se relaciona con las condiciones de entrada de ambos grupos en cuanto a su manejo de conceptos disciplinarios y el desarrollo de entrada de la competencia comunicativa oral. Los resultados del primer laboratorio indican diferencias entre los grupos con y sin gratuidad, siendo este último los que presentan mejores resultados en este laboratorio. De acuerdo a Putra, Widodo y Jatmiko (2016), la indagación guiada incide directamente en la alfabetización científica. En el marco de este estudio, está situación es similar debido a que el grupo de estudiantes con menores puntajes en los criterios de comunicación oral (estudiantes con gratuidad) acortan brechas con sus pares, lo que podría indicar un mejor manejo de conceptos científicos a medida que se avanza en la implementación de la indagación guiada. Sin embargo esto requiere nuevos estudios para comprobar esta posible tendencia.
Conclusiones
La indagación guiada en el curso inicial de química permite desarrollar la competencia comunicativa oral, ya que la metodología favorece la comunicación crítica, basada en conceptos propios de la ciencia. La aplicación sistemática de esta metodología a lo largo del curso, otorga oportunidades relevantes para comunicarse oralmente en diferentes etapas de proceso científico; como la identificación del problema, investigación de información relevante y en los procesos de experimentación y presentación de resultados.
Uno de los hallazgos de la presente experiencia se enmarca en el análisis de la progresión del desarrollo de la competencia comunicativa, segmentando la muestra de acuerdo a la variable gratuidad. Los estudiantes de los deciles más altos (sin gratuidad) puntúan más alto en los criterios de la competencia en las primeras sesiones de laboratorio, lo que podría reflejar un mayor desarrollo de la competencia o mayor dominio de lenguaje científico antes de su ingreso a la universidad. Sin embargo, durante el transcurso del semestre, los estudiantes de los deciles más bajos acortan esta brecha llegando incluso a puntuar mejor que sus pares en el laboratorio final. Esto podría indicar que la indagación guiada podría contribuir al acortamiento de brechas socio-académicas en los cursos universitarios iniciales de ciencias. Esto podría dar paso a nuevos estudios en el área, ya que se necesita mayor profundidad en los análisis y una mayor muestra para poder establecer esta relación.
En este sentido, uno de los desafíos de la experiencia, tiene que ver con investigar la causa de esta diferencia entre los grupos con perfiles socioeconómicos distintos, con el propósito de diseñar e implementar un curso que permita el desarrollo de la competencia comunicativa de forma eficiente para todos los estudiantes.
Referencias
Adolphus, T. y Arokoyu, A. A. (2012). Improving scientific literacy among secondary school students through integration of information and communication technology. ARPN Journal of Science and Technology. 2(5):44-448.
American Chemical Society (1994). Chemistry in Context. Applying Chemistry to Society, USA: Wm. C. Brown Publishers.
Assar, S. (2015). Information and Communications Technology in Education. In International Encyclopedia of the Social & Behavioral Sciences: Second Edition. https://doi.org/10.1016/B978-0-08-097086-8.92104-4
Behtoui, A., Björklöf, M., y Strömberg, I. (2018). The social relations and educational expectations of young people in marginalised areas. Evidence from Sweden. In Comparative Perspectives on Early School Leaving in the European Union (1st ed., Vol. 1, pp. 102–116). London: Routledge. https://doi.org/10.4324/9781315170404
Biggs, J., y Tang, C. (2007). Teaching for quality learning at university (Society for research into higher education). doi: 10.1016/j.ctcp.2007.09.003
Bock, R. D. (1975). Multivariate statistical methods in behavioral research. New York, NY, US: McGraw-Hill.
Carlson, J. L. (2008). Effect of theme-based, guided inquiry instruction on science literacy in ecology. Unpublished Disertation. Michigan: Technological University
Chan, V. (2011). Teaching oral communication in undergraduate science: Are we doing enough and doing it right? Journal of Learning Design, 4(3), 71-79. https://doi.org/10.5204/jld.v4i3.82
Concha-Fritz, A., Schiappacasse, L-N., Turra, H. y Villanueva, M. T. (2019). Chemistry in Context for engineering students at UCT: Transformation from a villain to a princess. Education in the Knowledge Society, 20, 1–16. doi: 10.14201/eks2019_20_a4
Gormally, C., Brickman, P., Hallar, B., y Armstrong, N. (2009). Effects of Inquiry-based Learning on Students’ Science Literacy Skills and Confidence. International Journal for the Scholarship of Teaching and Learning, 3(2), article 16. https://doi.org/10.20429/ijsotl.2009.030216
Gray, E., Emerson, L., & MacKay, B. (2006). ‘They don’t have much in their kitbags’. Equipping science students for the workplace. Australian Journal of Communication, 33(1), 105-122.
Gulikers, J., Bastiaens, T., & Kirschner, P. (2006). Authentic assessment, student teacher perceptions: The practical value of the five-dimensional framework. Journal of Vocational Education and Training, 58(3), 337-357.
Gupta, T., Burke, K. A., Mehta, A. y Greenbowe, T. J. (2015). Impact of guided-inquiry-based instruction with a writing and reflection emphasis on chemistry students’ critical thinking abilities. Journal of Chemical Education, 92(1), 32-38. https://doi.org/10.1021/ed500059r
Hargreaves, A. (2003). Enseñar en la sociedad del conocimiento. Barcelona: Octaedro.
Herrenkohl, L. R., Tasker, T., y White, B. (2011). Pedagogical practices to support classroom cultures of scientific inquiry. Cognition and Instruction, 29, 1-44. https://doi.org/10.1080/07370008.2011.534309
Jaccard, J., Becker, M. A., y Wood, G. (1984). Pairwise multiple comparison procedures: A review. Psychological Bulletin, 96(3), 589. http://dx.doi.org/10.1037/0033-2909.96.3.589
Kuhlthau, C., Maniotes, L. y Caspari, A. (2015). Guided inquiry: Learning in the 21st century. California, USA: ABC-CLIO, LLC.
Longnecker, N. (2009). Sharing science with better science communication. Issues 87, 37-40. Disponible en: https://search.informit.com.au/documentSummary;dn=200906921;res=IELAPA
Moog, R. (2014). Process oriented guided inquiry learning. In M. McDaniel, R. Frey, S. Fitzpatrick y H.L. Roediger (Eds): Integrating cognitive science with innovative teaching in STEM disciplines [E-reader version]. https://doi.org/10.7936/K7PN93HC
Morgan, M. (2013). Supporting Student Diversity in Higher Education: A Practical Guide. (1st ed.). Oxon: Routledge.
Moya, B., Turra, H., y Chalmers, D. (2018). Developing and implementing a robust and flexible framework for the evaluation and impact of educational development in higher education in Chile. International Journal for Academic Development, 1–15. https://doi.org/10.1080/1360144X.2018.1555757
NRC (National Research Council), (2000). Inquiry and the National Science Education Standards. Washington, D.C. National Academy Press.
Oliveira, A., (2009). “Kindergarten, can I have your eyes and ears?” politeness and teacher directive choices in inquiry-based science classrooms, Cultural studies of Science Education, 4, 803-846.
Piaget, J. (1926). The language and thought of the child. Psychological Bulletin (Vol. 24). https://doi.org/10.1037/h0067537
Prieto, L. (2004). La alineación constructivista en el aprendizaje universitario. Hacia una enseñanza universitaria centrada en el aprendizaje. En Torres Puentes y Gil Coria (Eds.). Madrid: Universidad Pontificia Comillas.
Putra, M. I. S., Widodo, W., y Jatmiko, B. (2016). The development of guided inquiry science learning materials to improve science literacy skill of prospective mi teachers. Jurnal Pendidikan IPA Indonesia, 5(1), 83-93. https://doi.org/10.15294/jpii.v5i1.5794
Race, P. (2007). The lecturer’s toolkit. A practical guide to assessment, learning and teaching. 3ra Edición. Oxon, UK: Routledge.
Reyes-Cárdenas, F., y Padilla, K. (2012). La indagación y la enseñanza de las ciencias. Educación Química. 23(4), 415-421.
Ristanto, R. H., Zubaidah, S., Amin, M., y Rohman, F. (2017). Scientific Literacy of Students Learned Through Guided Inquiry. International Journal of Research & Review. 4(5), 23-30.
Saéz, A., Suárez, J., Aliaga, F., y Bo, R. (1994). La utilización de los procedimientos de comparaciones múltiples en la investigación educativa en España. Revista de Investigación Educativa, 23, 396-404.
Santos, Y. y Hernández, P. (2005). La formación en Ciencias como herramienta de competitividad en el desarrollo tecnológico. Revista Universidad de La Salle, 39, 15-21.
Slavin, R. E. (1983) Cooperative learning. New York: Longman.
Tabachnik B.G y Fidel L.S. (1983). Using multivariate analysis. New Cork. Harper and Row
Universidad Católica de Temuco. (2016). Competencias Genéricas para la formación de profesionales integrales . In Centro de Desarrollo e Innovación de la Docencia. Obtenido de: http://cedid.uct.cl/img/info8/03_competencias_genericas_1_20170118154016.pdf
Universidad Politécnica de Madrid. (2005). Formación y evaluación de la competencia comunicativa oral y escrita. En Competencias Genéricas. Recursos de apoyo al profesorado. Obtenido de: https://innovacioneducativa.upm.es/sites/default/files/apoyo_profesorado/DESARROLLO-Y-EVALUACION-DE-COMPETENCIAS_comunicacion.pdf
Uno, G. (1990). Inquiry in the classroom, BioScience, 40(11), 841-843.
Veneros, D. (2012). Unidades de mejoramiento docente logros y desafíos. Santiago. Obtenido de https://bit.ly/2MEmJjPDianaVeneros__SeminarioDeniseChalmers_3-9-12.pdf
Vygotsky, L. S. (1978). Mind in society. Harvard University Press. https://doi.org/(Original manuscripts[ca. 1930-1934])
Vygotsky, L. (1998) Pensamiento y lenguaje. Barcelona, Paidós. Nueva edición a cargo de Alex Koozulin.
Wahyuni, A. (2018). The Power of Verbal and Nonverbal Communication in Learning. In 1st International Conference on Intellectuals’ Global Responsibility (ICIGR 2017). Atlantis Press. https://doi.org/https://doi.org/10.2991/icigr-17.2018.19
Recepción: 23/01/2020. Aceptación: 12/05/2020.
[a] Ingeniero Químico y Magíster en Pedagogía Universitaria. Facultad de Recursos Naturales, Universidad Católica de Temuco, Temuco, Chile, aconcha@uct.cl, https://orcid.org/0000-0003-1226-4081.
[b] Licenciado y Doctor en Ciencias con mención en Química. Facultad de Ingeniería, Universidad Católica de Temuco, Temuco, Chile, lschiappacasse@uct.cl, https://orcid.org/0000-0002-1781-7936.
[c] Profesor de Inglés y Magíster en Enseñanza del Inglés. Centro de Desarrollo e Innovación de la Docencia (CeDID), Universidad Católica de Temuco, Temuco, Chile, hturra@uct.cl, https://orcid.org/0000-0002-6164-1210.
[d] Licenciada en Química. Facultad de Recursos Naturales, Universidad Católica de Temuco, Temuco, Chile, mtvilla@uct.cl, https://orcid.org/0000-0003-3774-7231.
[e] Profesor de Matemáticas y Magíster en Estadística. Facultad de Ingeniería, Universidad Católica de Temuco, Temuco, Chile, jmoncada@uct.cl, https://orcid.org/0000-0003-1775-0396.