DOI:http://dx.doi.org/10.22201/fq.18708404e.2021.1.75075
José Luís García García[a]
Resumen |
El equilibrio químico es un capítulo de dificultad considerable a nivel matemático. En este artículo proponemos que el concepto de avance de la reacción puede emplearse para modelarlo, permitiendo una distinción clara del parámetro equilibrio del parámetro no-equilibrio, y como esta técnica nos permite deducir ecuaciones universales que permiten analizar situaciones altamente comunes en el laboratorio de química, como los cálculos de pH para ácidos y bases. Planteamos la posibilidad de que situaciones subsecuentes como, titulaciones y equilibrios de solubilidad pueden ser modeladas por medio de la misma técnica, basada en el avance de la reacción.. |
Palabras clave: |
Equilibrio químico, avance de la reacción, tabla ICE, efecto de ion común, ecuación de Henderson-Hasselbach. |
Towards a truly analytical chemical equilibrium |
|
Abstract |
Chemical equilibrium is a topic of considerable difficulty at a mathematical level. In this paper, we propose that, the extent of reaction concept can be used to model it, allowing a clear distinction of the equilibrium parameter from the non-equilibrium parameter, and how this technique allows us to deduce universal equations to analyze highly common situations in the chemistry laboratory such as pH calculations for acids and bases. We raise the possibility that subsequent situations such as titrations and solubility equilibrium can be modeled by means of this same technique, based on the extent of reaction concept. |
Keywords: |
Chemical equilibrium, reaction progress, ICE table, common ion effect, Henderson-Hasselbach equation. |
Introducción
La ecuación de Henderson-Hasselbach (1) presenta una serie de limitantes a tener en cuenta durante el trabajo con el equilibrio químico.
|
(1) |
|
Primero, parece una isla solitaria en medio de otras situaciones que son modeladas por medio de la tabla ICE (Shei & McDuff, 2019). Segundo, las concentraciones molares de la base débil y el ácido débil no presentan identificador de parámetro equilibrio o no-equilibrio. Tercero, la ecuación no toma en cuenta el efecto del cambio de volumen en la concentración. Cuarto, la ecuación en sí es una aproximación, no la respuesta exacta, que tiene una forma cuadrática. En este artículo nos proponemos resolver estos cuatro inconvenientes, empleando las técnicas ya reportadas por García-García (2020), quien se limitó a situaciones no reversibles. Dichas técnicas, se enmarcan en una serie de artículos que previamente han propuesto el uso del parámetro avance de la reacción para modelar sistemas estequiométricos en equilibrio entre los que destaca Garst (1974) quien directamente propone que el avance de la reacción podría ser la base unificadora de la estequiometría, Baeza-Baeza y García-Alvarez-Coque (2014) quienes identifican que el parámetro x de las tablas ICE no es un artefacto matemático, sino un parámetro con identidad química, y los trabajos de Levie (1993), Pardue, Odeh, & Tesfai (2004) y Radić & Prkić (2012) quienes obtuvieron ecuaciones semejantes a las nuestras, aunque por rutas deductivas y propósitos diferentes.
Tabla 1. Convenciones empleadas en este artículo, los símbolos de variable fueron tomados de las recomendaciones del Libro de Oro de la IUPAC (2019), pero los subíndices son definiciones para este artículo.
|
Símbolo |
Significado |
Símbolo |
Significado |
Símbolo |
Significado |
|
ξ |
Avance de la reacción (mol). |
|
Cantidad de inicial (mol). |
ni |
Cantidad de sustancia en equilibrio (mol). |
|
vi |
Coeficiente estequiométrico. |
[i]0 |
Concentración molar inicial (mol/L o M). |
ci [i] |
Concentración molar en equilibrio (mol/L o M). |
|
|
Volumen inicial de una solución (ml o L). |
V |
Volumen de equilibrio (ml o L). |
x |
Parámetro x (mol/L o M). |
|
K |
Constante de equilibrio. |
Ka |
Constante de disociación ácida. |
Kb |
Constante de disociación básica. |
|
Q |
Cociente de la reacción. |
pH |
Potencial de hidrogeniones. |
Subíndice i |
Sustancia cualquiera. |
|
Subíndice r |
Sustancia reactivo. |
Subíndice p |
Sustancia producto. |
Subíndice H |
Hidrogenion H+. |
|
Subíndice OH |
Ion hidroxilo OH-. |
Subíndice HX |
Ácido fuerte monoprótico. |
Subíndice HA |
Ácido débil monoprótico. |
|
Subíndice MOH |
Base fuerte monoequivalente. |
Subíndice M(OH)y |
Base fuerte y-equivalente. |
Subíndice A |
Base débil monoequivalente. |
El avance de la reacción
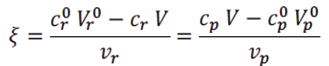
En química y físico-química, el avance de la reacción o extensión de la reacción ξ “ec., (2)” es una magnitud que cuantifica la variación de la cantidad de especies químicas que intervienen en una reacción.
|
(2) |
|
Fue introducido por el científico belga Théophile de Donder (1936). La importancia del avance de la reacción (ξ) radica en integrar los conceptos presentados en las tablas ICE (Shei & McDuff, 2019), pero en términos abstractos, permitiendo la distinción clara del parámetro no-equilibrio del parámetro equilibrio mediado por notación superíndice:
Parámetro de inicio o no equilibrio: se representan con el superíndice cero, como cantidad de sustancia inicial () o concentración molar inicial (
).
Parámetro final o de equilibrio: representa a las concentraciones al establecerse el equilibrio, sus variables se asumen sin ningún superíndice (ci).
El parámetro (x)
En equilibrio, las sustancias se describen en términos de sus concentraciones molares (ci), por ende, reemplazamos cantidad de sustancia (ni) por el producto concentración molar por volumen de la solución dada (ci Vi) en la ecuación (2), teniendo en cuenta que el volumen final o volumen de equilibrio (V) es el mismo sin importar que la sustancia sea reactivo o producto.
|
(3) |
|
Al dividir las tres igualdades entre el volumen de equilibrio (V) aparece el parámetro (x) de las tablas ICE, reportado por Baeza-Baeza y García-Alvarez-Coque (2014, ecuación 4).
|
(4) |
|
Normalmente, el parámetro (x) aparece en las tablas de ICE como un artefacto matemático transitorio (Brown et al., 2017 p. 690), pero estas ecuaciones indican que no es un artefacto, tiene una identidad química igual a (ξ / V), donde (V) es el volumen de equilibrio o final volumen y por ende posee unidades de cantidad de sustancia sobre volumen es decir, las mismas que la concentración molar. En muchas ocasiones el volumen inicial de cada sustancia () es igual al volumen de equilibrio (V) por lo que el cociente puede cancelarse, que es la práctica más común, pero en otras no, en este artículo optamos por mantener el cociente explícito, para generar ecuaciones más generales y versátiles, pero al costo de hacerlas un poco más complejas.
Constante de equilibrio y cociente de la reacción
Usando las notaciones de la ecuación (2) podemos identificar la diferencia entre la constante de equilibrio (Κ) (5) y el cociente de la reacción (Q) (6), pues aunque en esencia ambas tienen una misma estructura, difieren en su parámetro Inicio (para Q) Equilibrio (para Κ):
|
(5) |
|
|
(6) |
|
El símbolo Π simboliza productorio, es una notación matemática que representa una multiplicación de una cantidad arbitraria, en nuestro caso abarcando desde la primera sustancia hasta la última sustancia se los reactivos o los productos.
La diferencia en la notación explícita de ambas ecuaciones debería facilitar la identificación de las diferencias entre los dos conceptos.
Ejemplo 1. Determine el cociente de la reacción cuando se altera un sistema en equilibrio de alguno de los siguientes modos: (a) la presión aumenta el doble, (b) el volumen disminuye a la mitad, (c) aumentamos al doble la masa de todas las sustancias. Tenga en cuenta la siguiente ecuación química (se favorece la reacción directa). C(s) + CO(g)
2CO2(g)
Las concentraciones Iniciales/No-equilibrio () son el doble de aquellas en el primer equilibrio () en cualquiera de las situaciones planteadas, por lo que debe cumplirse la forma general:
Corporizamos las ecuaciones (5) y (6) para este caso.
Y expresamos Q en términos de cantidades en equilibrio.
Como Q es el doble de K, se espera que la reacción favorezca a los reactivos (se favorece la reacción reversa).
Calculando concentraciones en equilibrio
Aunque el uso de la notación analítica puede parecer engorrosa al principio, debe tenerse en cuenta que su principal virtud es la de servir como una respuesta universal, sirve infinitos problemas de estructura semejante, lo cual es el espíritu fundacional del álgebra, por ejemplo:
Ejemplo 2. Un frasco de 1 L se llena con 1.00 mol de y 2.00 mol de a 448°C. H2(g) + I2(g) 2HI(g). La constante de equilibrio para la ecuación química siguiente es 50.5. Determinar las concentraciones de reactivos y productos al alcanzar el equilibrio (Brown et al., 2017, p 648, se. 15.11).
Primero la constante en términos de las concentraciones finales (5).
Proponemos la ecuación de parámetro (x) para esta situación (4), asumiendo cero cantidades iniciales de los productos y que todos los volúmenes son iguales, lo cual la simplifica bastante.
De la cual salen tres igualdades individuales: ;
;
. Despejamos las cantidades finales en términos de x y reemplazamos en la constante.
En este punto podemos elegir dos estrategias. Si la concentración inicial es solo una orden de magnitud o menos mayor que la constante, debemos resolver la cuadrática completa. Cosa que en efecto se cumple en este caso y por mucho.
Aplicamos la solución de la cuadrática únicamente para la solución positiva:
Solución numérica: Dividimos las cantidades de sustancia en el volumen dado y obtenemos las concentraciones 1 M para H2 y 2 M para l2 iniciales. La solución positiva de la cuadrática es (), con el cual podemos resolver las igualdades del avance de la reacción:
No siempre es necesario llegar a la respuesta cuadrática o exacta, por ejemplo, en ácidos y bases pueden hacerse simplificaciones rápidas, debido a que la constante es más pequeña que las concentraciones.
Cálculos de pH
A continuación, realizaremos los cálculos analíticos de pH para algunas situaciones de equilibrio ácido-base, y efecto del ion común, aunque por motivos de extensión, excluiremos las titulaciones y el equilibrio de solubilidad. En primera instancia, el pH debe calcularse con la concentración final de iones H+.
|
(7) |
pH = - log СΉ |
Y gracias a la auto-disociación del agua, puede calcularse también por medio de la concentración de iones hidroxilo.
|
(8) |
pH = 14 - log С0Ή |
Por lo tanto, el objetivo principal de las próximas deducciones es: calcular pH a partir de concentraciones Iniciales o de No-equilibrio (). Además, la ecuación característica de auto-disociación del agua, nos permite inferir las ecuaciones de las bases, a través de las ecuaciones ácidas, ahorrándonos la mitad de las demostraciones, proceso que denominaremos como Transposición Ácido-Base.
Ácidos y bases fuertes: Teniendo en cuenta la ecuación química HX(aq) → H+(aq) + X-(aq), donde HX es un ácido fuerte y X- es una base conjugada cuya reacción reversa es despreciable; adaptamos la ecuación (4), y dado que el ácido fuerte no genera una constante de equilibrio significativa, la omitimos.
|
(9) |
|
Cabe anotar que asumir que es falso, debido a que en agua pura el valor es realmente
, sin embargo las concentraciones de ácidos fuertes son lo bastante grandes como para que el efecto del agua sea insignificante. En la ecuación anterior solo nos interesa la relación entre el ácido fuerte inicial y los iones protio en equilibrio cH:
|
(10) |
|
Lo que nos permite reemplazar en (7)
|
(11) |
|
Con esta deducción obtenemos un cociente de volúmenes (/V), que es útil cuando la concentración del ácido es alterada, por ejemplo si es diluido en agua. Este cociente de volúmenes lo denominaremos corrector de concentraciones. Ahora, para la respectiva base fuerte mono-equivalente MOH(aq) → M+(aq) + OH-(aq) aplicamos el análisis de Transposición ácido-base del siguiente modo:
se reemplaza por
,
se reemplaza por
. El reemplazo en (11) permite calcular el pOH, pero empleando la ecuación (8) obtenemos:
|
(12) |
|
Adicionalmente, la ecuación anterior puede generalizarse para bases y-equivalentes que sean electrolitos fuertes:
|
(13) |
|
Ácidos y bases débiles: Para un ácido monoequivalente débil HA que cumple la ecuación química HX(aq)
H+(aq) + A-(aq); donde A- es una base conjugada débil, aplicamos la definición (4).
|
(14) |
|
Nuevamente, asumimos a priori que el efecto del agua para
es despreciable e igualable a cero, y reemplazamos en (5):
|
(15) |
|
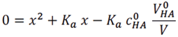
Lo que hacemos ahora es despejar las concentraciones en equilibrio en términos del parámetro (x) y las concentraciones iniciales a partir de (14) y reemplazamos en (15)
|
(16) |
|
Ahora debemos despejar (x), para esto podemos resolver la cuadrática o hacer una aproximación. Analizaremos primero la aproximada: (x) es significativo en multiplicaciones y divisiones, pero se puede ignorar cuando resta o suma a concentraciones, siempre y cuando estas concentraciones sean dos órdenes de magnitud más grandes. Al hacer esto, despejamos (x).
|
(17) |
|
A partir de (14) también podemos leer que x = cH, por lo que el pH será:
|
(18) |
|
En la solución no aproximada, lo que hacemos es despejar la cuadrática a partir de (16).
|
(19) |
|
Por lo que la solución cuadrática general reemplazada en la ecuación (7) será:
|
(20) |
|
Ejemplo 3. Calculemos el pH a 25 °C de una solución 0.30 M de ácido acético CH3COOH, el ácido débil responsable del olor y la acidez característicos del vinagre. La constante de disociación para esta sustancia es 1.8 × 10-5 (Brown et al., 2017, p 690). Asumimos que los volúmenes son iguales debido a que no se mencionan, por lo que cancelamos el corrector de concentraciones.
Para la base débil aplicamos la Transposición Ácido-Base: ;
;
:
|
(21) |
|
Lo mismo para la solución exacta.
|
(22) |
|
Ejemplo 4. Estime la concentración de OH de 0.150 M de amoníaco Kb = 1.77 × 10-5 (Brown et al., 2017 p. 697, se. 16.15). Dado que no se dice nada del volumen cancelamos el corrector de concentraciones.
Otras situaciones estandarizables a partir de (16), son el cálculo de la constante (Ka) a partir del pH:
|
(23) |
|
Ejemplo 5. Un estudiante preparó una solución 0.10 M de ácido fórmico (HCOOH) y encontró que su pH a 25 ° C era de 2.38. Calcule Ka para ácido fórmico a esta temperatura (Brown et al., 2017, p 688, se. 16.10). Dado que no se dice nada sobre el volumen cancelamos el corrector de
concentraciones.
O el porcentaje de ionización.
|
(24) |
|
Que puede convertir alternativamente a:
|
(25) |
|
O
|
(26) |
|
Ejemplo 6. Una solución 0.077 M de un ácido HA tiene un pH = 2.16. ¿Cuál es el porcentaje del ácido que se ioniza? (Brown et al., 2017, p 689, se. 16.11 pe. 1)
Efecto del ion común:
Ahora trabajaremos algunas mezclas que generan iones comunes
Ácido débil más base débil: Esta es la mezcla más versátil, ya que con un mismo modelo matemático se pueden resolver cuatro situaciones “aparentemente” diferentes: (a) Base débil (A) con ácido débil (HA); (b) Sal básica (MA) con ácido débil (HA); (c) Base débil (A) con sal ácida (HAX); y (d) sal básica (MA) con sal ácida (HAX). Aunque lo más importante es que estas mezclas generan la solución reguladora. ¿Cuál es la razón que nos permite resumir cuatro situaciones “aparentemente” diferentes en una misma expresión? La clave es que la sal básica (MA) y la sal ácida (HAX) son electrolitos fuertes, por lo que al final, generan una base débil (A) y un ácido débil (HA) y, lo que es más importante, las cantidades de sustancia son iguales, porque la relación estequiométrica es 1:1. Dado lo anterior, las siguientes deducciones se plantean solo para el par (HA)/(A), teniendo en cuenta que, cada miembro puede ser igualado por su respectiva sal. La ecuación química en este caso es nuevamente HA(aq)
H+(aq) + A-(aq), la diferencia radica en que () en la ecuación (4):
|
(27) |
|
Con las cuales reemplazamos en (5).
|
(28) |
|
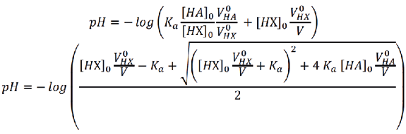
Por lo tanto, la solución aproximada cuando el efecto de (x) es insignificante en suma o resta, y como (cH = x) obtenemos:
|
(29) |
|
Si cancelamos el cociente de volúmenes, por ejemplo, cuando la base proviene de una sal, y se nos pide que asumamos que la sal no afecta significativamente el volumen del ácido, obtenemos una forma alternativa de la ecuación Henderson-Hasselbalch (1), en la que declaramos explícitamente que usamos concentraciones iniciales. Por otro lado, para la solución exacta:
|
(30) |
|
Por lo que al reemplazar en la cuadrática obtenemos y posteriormente en (7) obtenemos:
|
(31) |
|
Ejemplo 7. Calcule el pH de una solución reguladora que contiene inicialmente 1.00 × 10-3 M de CH3COOH y 1.00 × 10-4 M de CH3COONa de las dos formas siguientes: (a) estimación; (b) forma exacta. Ka = 1.80 × 10-5 (Brown et al., 2017, p. 732-733, sección 17.4). Como no se dice nada sobre los volúmenes, “asumiremos” que el volumen inicial es igual al volumen de equilibrio, y por ende cancelamos dichos términos. Se resuelven las ecuaciones (29) y (31) para y
. La solución estimada empleando la ecuación (29) es
y la respuesta exacta usando la ecuación (31) es
respuestas que concuerdan con las dadas en el texto.
Ácido débil más ácido fuerte: El ácido fuerte (HX) se disociará primero y completamente, el anión (X-) no afecta el equilibrio, pero el catión de hidrógeno liberado por él genera () al comienzo del equilibrio del ácido débil. Debido a la naturaleza de electrolito fuerte del ácido fuerte, podemos afirmar que (
) dado que ambos están en el mismo volumen inicial “básicamente es la aplicación de la ecuación (10) demostrada al principio”. Por tanto, el análisis del parámetro (x) o ecuación (4) tendrá la siguiente forma:
|
(32) |
|
Tenga en cuenta que (
), aunque pueden relacionarse como:
|
(33) |
|
Si asumimos que el efecto de (x) es insignificante “debido a la naturaleza débil del ácido débil”, entonces podemos calcular el pH solo en términos del ácido fuerte, entonces tenemos la ecuación (11) nuevamente. También podemos optar por resolver todas las concentraciones de equilibrio en términos de (x) y sus respectivos iniciales e igualar en (5) para obtener:
|
(34) |
|
Nuevamente la solución de (x) vuelve a dividirse en una forma aproximada y otra exacta. La forma aproximada cancela a ceros el efecto de (x) cuando suma o resta:
|
(35) |
|
Si igualamos con la ecuación (33) será posible calcular el pH en términos de ambos ácidos.
|
(36) |
|
Aunque parece compleja, la ecuación (35) nos permite señalar dos cosas, la primera, el término que involucra a (Ka) generalmente será muy cercano a cero, a menos que () y / o (
) sean altos; o en caso de que (
) o / y (
) sean muy bajos. Si no se cumplen estas condiciones, la ruta más conveniente es usar (11) debido a que el efecto del ácido débil sobre el ácido fuerte sería poco significativo.
La respuesta exacta se basará en:
|
(37) |
|
Con lo cual obtenemos el valor de (x) exacto y reemplazamos en (33) y eso a su vez en (7) conseguiremos la fórmula para el pH:
|
(38) |
|
Ejemplo 8. Calcule la concentración del ion fluoruro y el pH de una solución de HF 0.20 M con HCl 0.10 M. Ka = 6.8 × 10-4 (Brown et al., 2017, p. 728, sección 17.2). Como no se dice nada acerca de los volúmenes, “asumiremos” que el volumen inicial es igual al volumen de equilibrio. Resolveremos para () y (
). La solución aproximada aplicando la ecuación (36) es
mientras que la respuesta exacta aplicando la ecuación (38) será de
Si aplicáramos cifras significativas las respuestas serían iguales.
Base débil más base fuerte: Esta es la situación transpuesta de la anterior, por lo que simplemente deberemos tomar las ecuaciones (36) y (38), pero reemplazamos: HXMOH, HA
A, y
.
|
(39) |
|
|
(40) |
|
Ejemplo 9. ¿Cuál es el pH de una solución de NH3 0.1 M de 10 ml Kb = 1.77 × 10-5 cuando se le añadió una solución de NaOH 0.1 M de 0.1 ml? (Ernest, 2017). Dado que no nos dan el volumen total asumiremos que el volumen de equilibrio es la suma de volúmenes (V = 10.1ml) () (
), dado que en este ejercicio los volúmenes siempre forman cocientes de variable semejante con unidad semejante, reemplazaremos los valores de los volúmenes cancelando implícitamente sus unidades. Resolveremos para (
), (
) y (
= 0.1). La solución aproximada con (39) es
y la solución exacta con (40) es
Resultados
En la tabla siguiente enumeramos las ecuaciones obtenidas:
Tabla 2. Tabla de resultados, las ecuaciones en este caso emplean el símbolo estándar de la concentración molar.
|
Parámetro x en términos de las concentraciones molares iniciales [ ]0 y finales [ ] de reactivos (r) y productos (p). |
Constante de equilibrio. |
Cociente de la reacción |
|
|
|
|
|
pH de un ácido fuerte monoprótico |
pH de una base fuerte monoequivalente |
|
|
|
|
|
|
pH de un ácido débil monoprótico (solución aproximada) |
pH de una base débil monoequivalente (solución aproximada) |
|
|
|
|
|
|
pH de un ácido débil monoprótico (solución cuadrática) |
pH de una base débil monoequivalente (solución cuadrática) |
|
|
|
|
|
|
Constante de disociación ácida en términos del pH |
Porcentaje de ionización en términos de la concentración inicial del ácido débil. |
|
|
|
|
|
|
pH de la mezcla: Base débil o sal básica ([A] = [MA]) con ácido débil (HA); o sal ácida ([HA] = [HAX]) (solución aproximada arriba y cuadrática abajo) |
||
|
|
||
|
pH de la mezcla: ácido débil (HA) más ácido fuerte (HX) (solución aproximada arriba y cuadrática abajo). |
||
|
|
||
|
pH de la mezcla: base débil (A) más base fuerte (MOH) (solución aproximada arriba y cuadrática abajo). |
||
|
|
||
Análisis
Tomando en cuenta los cuatro problemas de la ecuación de Henderson-Hasselbach (1) y nuestros resultados podemos sostener que:
1. La ecuación de Henderson-Hasselbach (1) no es un ente aislado, sino que hace parte de un conjunto de ecuaciones, la razón por la cual es más famosa que el resto radica en que puede usarse para modelar cuatro situaciones debido al efecto de electrolito fuerte de las sales ácidas y las sales básicas en lugar de las dos situaciones que modelarían las ecuaciones para la situación (ácido débil más ácido fuerte) y (base débil más base fuerte) donde el ácido débil y la base débil pueden ser reemplazados por sales ácidas y básicas.
2. Es posible emplear la simbología planteada en la definición del avance de la reacción “ecuación (2)” para denotar los parámetros de equilibrio (ej., concentración en equilibrio (ci)) y no-equilibrio (ej., concentración inicial ()) en una fórmula algebraica, así como crear ecuaciones que permiten calcular parámetros de equilibrio como el pH en términos de concentraciones iniciales, sin tener que usar una tabla ICE o hacer cálculos intermedios, esto a su vez disminuye la cantidad de pasos intermedios aritméticos y ofrece un mayor control sobre las cifras significativas en caso de tenerlas en cuenta.
3. La propuesta de Baeza-Baeza y García-Alvarez-Coque (2014, ecuación 4) permite deducir las ecuaciones de equilibrio, teniendo en cuenta el cambio de la concentración debido al cambio de volumen de manera explícita en la ecuación, cosa que otros autores ignoran, ya sea en la tabla ICE o en otras alternativas algebraicas, pues asumen implícitamente que cualquier volumen es igual al volumen de equilibrio (
). Adicionalmente, los volúmenes siempre forman cocientes de variable semejante, por lo que solo se necesita asegurar que la unidad de volumen sea la misma en el análisis dimensional.
4. Es posible deducir las formas exactas o cuadráticas del parámetro (x). Aunque las formas de las soluciones exactas son complejas, esto no debería ser una razón para ignorarlas, por dos razones:
A parte de estos cuatro aspectos iniciales con los que iniciamos esta discusión, durante el trabajo analítico nos encontramos con otros aspectos interesantes a tener en cuenta, siendo estos:
5. Diferenciación explícita de las definiciones de constante de disociación (K) y cociente de la reacción(Q) gracias a la diferencia explícita entre notaciones en equilibrio (ci) con las que calculamos (K) y no-equilibrio () con las que calculamos (Q).
6. El análisis de Transposición Ácido-Base permite la obtención de las ecuaciones para la base, a partir de la respectiva ecuación del ácido, lo cual acelera mucho el proceso de deductivo. Esperamos aplicar este análisis para otras situaciones como las titulaciones ácido-base.
La relevancia de estas ecuaciones, y el método para deducirlas, radica en la separación de la solución analítica general, de la solución numérica trivial, por dos razones importantes:
7. si el objetivo es hacer cálculos rápidamente de soluciones numéricas triviales, es más fácil tener una tabla de ecuaciones sin tener que perder tiempo repitiendo una misma estructura analítica para deducir la fórmula;
8. si el objetivo es obtener soluciones analíticas generales, es más conveniente usar técnicas basadas en álgebra como el avance de la reacción (ξ). De hecho, las investigaciones en este tema se basan fundamentalmente en separar las respuestas numéricas triviales de obtener fórmulas más generales (Baeza-Baeza & García-Alvarez-Coque, 2014; de Levie, 1993; DeToma, 1994; Pardue et al., 2004; Radić & Prkić, 2012) los cuales presentan sus resultados principalmente en ecuaciones generales, sin embargo nosotros decidimos proporcionar soluciones numéricas con ejemplos.
La principal conclusión de este artículo se resume parafraseando el artículo de Garst (1974): “el avance de la reacción” ES LA “base unificadora para la estequiometría en la química elemental” artículo que precisamente funda esta tradición investigativa al interior de la química.
Agradecimiento: John Edgar Fontecha, asistente de cátedra en la Facultad de Ingeniería y Ciencias Aplicadas de la Universidad de Buffalo, por animarme a compartir mis ideas sobre los cálculos químicos, muchas gracias hermano.
Referencias bibliográficas
Baeza-Baeza, J. J., & García-Alvarez-Coque, M. C. (2014). Extent of Reaction Balances: A Convenient Tool to Study Chemical Equilibria. World J. Chem. Educ, 2, 54–58.
Brown, T. L., LeMay, H. E. J., Bursten, B. E., Murphy, C. J., Woodward, P. M., & Stoltzfus, M. W. (2017). Chemistry, the central science (13th ed.). Boston: Pearson.
De Donder, T., & Van Rysselberghe, P. (1936). Thermodynamic theory of affinity (Vol. 1). Stanford university press.
de Levie, R. (1993). Explicit expressions of the general form of the titration curve in terms of concentration: Writing a single closed-form expression for the titration curve for a variety of titrations without using approximations or segmentation. Journal of Chemical Education, 70(3), 209.
DeToma, R. P. (1994). Symbolic algebra and stoichiometry. Journal of Chemical Education, 71(7), 568.
Ernest, Z. (2017). Chemistry Acids and Bases pH. Retrieved February 1, 2020, from https://socratic.org/questions/what-is-the-ph-of-a-10-ml-0-1-m-nh3-solution-when-a-0-1-ml-0-1-m-naoh-solution-w
García-García, J. L. (2020). El álgebra de la estequiometría. Educación Química, 31(1), 138–150.
Garst, J. F. (1974). The extent of reaction as a unifying basis for stoichiometry in elementary chemistry. Journal of Chemical Education, 51(3), 194.
IUPAC. (2019). Compendium of Chemical Terminology the “Gold Book.” (S. J. Chalk, Ed.) (2nd ed.). Compiled by A. D. McNaught and A. Wilkinson. Blackwell Scientific Publications, Oxford. Retrieved from http://goldbook.iupac.org/
Pardue, H. L., Odeh, I. N., & Tesfai, T. M. (2004). Unified approximations: A new approach for monoprotic weak acid-base equilibria. Journal of Chemical Education, 81(9), 1367.
Radić, N., & Prkić, A. (2012). Historical remarks on the Henderson-Hasselbalch equation: its advantages and limitations and a novel approach for exact pH calculation in buffer region. Reviews in Analytical Chemistry, 31(2), 93–98. Retrieved from https://www.degruyter.com/downloadpdf/j/revac.2012.31.issue-2/revac-2012-0001/revac-2012-0001.pdf
Shei, A., & McDuff, A. (2019). ICE Tables. In Chemistry LibreTexts Library. Department of Education Open Textbook Pilot Project. Retrieved from https://chem.libretexts.org/Bookshelves/Physical_and_Theoretical_Chemistry_Textbook_Maps/Supplemental_Modules_(Physical_and_Theoretical_Chemistry)/Equilibria/Le_Chatelier’s_Principle/Ice_Tables
Recepción: 2019-09-22 Aceptación: 2020-07-22
[a] Grupo IREC, Universidad Pedagógica Nacional de Colombia.