http://dx.doi.org/10.22201/fq.18708404e.2023.1.82302

Optimización del tamaño de reactores CSTR mediante el método de maximización del área rectángulos (estrategia didáctica)

Carlos Montaño-Osorio[a], Adolfo Eduardo Obaya-Valdivia[a] y Yolanda Marina Vargas-Rodríguez[a]

Resumen

El objetivo del presente trabajo es ayudar en la obtención de aprendizajes significativos y mejor comprensión por parte de los estudiantes que cursan Cinética Química y Principios de Diseño de Reactores. Utilizando el solver de Excel como herramienta didáctica, se presenta la solución analítica al sistema de ecuaciones generadas para determinar el tamaño óptimo de reactores CSTR que operan en serie de manera isotérmica e isobárica. El procedimiento involucra conocer la conversión intermedia lograda por cada reactor para determinar del volumen óptimo de cada unidad, el cual es descrito por el método de la maximización del área de rectángulos sobre la curva de Levenspiel, la cual es extrapolable “n” unidades de reactores, a diferencia del método gráfico que es iterativo y solamente práctico hasta tres unidades.

Palabras clave:

Cinética química, Reactores CSTR en serie, Método de los Rectángulos.

Optimization of the size of CSTR reactors through the method of maximizing the area of rectangles (didactic strategy)

Abstract

The objective of this work is to achieve significant learning and its better understanding by students who are studying Chemical Kinetics and Reactor Design Principles. Using the Excel solver as a didactic tool, it presents the analytical solution to the system of equations generated to determine the optimal size of CSTR reactors that operate in series in an isothermal and isobaric way. The procedure involves knowing the intermediate conversion achieved by each reactor to determine the optimal volume of each unit, which is described by the method of maximizing the area of rectangles on the Levenspiel curve, which is extrapolabled “n” reactor units, unlike the graphical method that is iterative and only practical up to three units.

Keywords:

Chemical Kinetics, Serial CSTR Reactors, Rectangle Method.




Introducción

Se define “reactor químico” como cualquier recipiente en donde se lleva a cabo una reacción química, existen dos tipos de reactores de flujo continuo ideales, el reactor de mezcla perfecta (CSTR) también conocido como reactor de tanque agitado, y el reactor de flujo pistón (PFR). En los reactores de flujo continuo, existen caudales de entrada y de salida, es decir se suministran continuamente los reactivos y salen los productos también de manera continua (Fogler, 2010).

Reactor de mezcla perfecta (CSTR)

Consta de un tanque en el cual se ingresan los reactivos de manera continua e igualmente sale un caudal con los productos, posee una propela que agita completamente la mezcla reactiva, por lo tanto, de asume que la composición de la mezcla reactiva es la misma en cada punto del reactor, así como en la corriente de salida.

Figura 1. Reactor CSRT.

La descripción detallada de los reactores químicos reales consiste en la selección apropiada de un modelo matemático que represente el fenómeno químico que ocurre en el reactor, así como los procesos de transporte involucrados. Algunas reacciones comerciales muy estudiadas son la oxidación de SO2 y la producción de amoniaco NH3 (Hong et al., 1997; Dashi et al., 2006)

Es común encontrar en la literatura el uso de modelo de reactores ya empleados para reacciones particulares únicamente cambiando las condiciones de operación y en pocas ocasiones de lleva a cabo un estudio fundamental de modelos o arreglos de reactores (Maderos et al., 2009).

Dentro del interés en el modelado de reactores es la minimización del volumen total de un sistema de reactores en serie. Levenspiel (1999), ha desarrollado la minimización del volumen total de una serie de reactores de flujo continuo conectados en serie, en donde ha sugerido una solución gráfica e iterativa, esto presenta algunas inconvenientes ya que al ser un método gráfico conlleva a errores debido a la inexactitud de la iteración. Por otro lado, el estudio de la solución analítica de la minimización del volumen se encuentran métodos matemáticos complejos los cuales utilizan matrices vectoriales (matriz Hessiana) para encontrar el arreglo óptimo (Elizalde et al., 2013), el cual siempre es del menor volumen.

La contribución del presente escrito es presentar el método propuesto por Levenspiel describiendo el método analítico de solución, asimismo se utiliza el Solver de Excel para conocer las conversiones intermedias que logran minimizar el volumen de los reactores, por otro lado, la ventaja del método presentado es que se puede generalizar a “n” unidades de reactores CSTR que operan en serie, a diferencia de la metodología gráfica propuesta por Levesnpiel que al ser un método iterativo pierde utilidad cuando hay mas de tres unidades operando.

Punto de operación de un reactor CSTR (Gráfica de Levenspiel)

Considerando el reactor de la figura 1, es posible realizar un balance general de materia el cual está dado por la ecuación 1:

Entradas-Salidas+Generación-Consumo=Acumulación

(Ec.1)

Considerando en todo el volumen del reactor la composición y densidad son constantes se llega a la ecuación general de diseño (ecuación 2).

(Ec.2)

La gráfica de la rapidez de reacción como función de la conversión es conocida como gráfica de Levenspiel (Figura 2a) en la cual se puede observar que el rectángulo formado por las coordenadas de la conversión de salida (eje x) con su respectivo valor de inverso de rapidez (eje y) forman un rectángulo y el área de dicho rectángulo corresponde al miembro izquierdo de la ecuación 2, por lo tanto esta área es directamente proporcional al volumen del reactor para lograr una conversión determinada (figura 2b).

Figura 2. Gráfico de Levenspiel (a) y representación del punto de operación de un solo reactor CSTR, el área del rectángulo es directamente proporcional al volumen del reactor (b).

Es factible representar sobre la gráfica de Levenspiel más de un solo reactor CSRT si estos se encuentran formando un arreglo en serie —también llamado batería de reactores—, considerando dos reactores en serie como se muestra en la figura 3:

Figura 3. Sistema de dos reactores CSTR conectados en serie.

Aplicando el balance general de materia se pueden obtener las ecuaciones de diseño para cada uno de ellos, a saber:

El primer reactor sigue siendo descrito por la ecuación 1, sin en cambio para el segundo reactor la ecuación de diseño es;

(Ec.3)

La representación de los reactores sobre el gráfico de Levenspiel se ilustra mediante la Figura 4.

Figura 4. Puntos de operación sobre la gráfica de Levenspiel de dos reactores CSTR en serie.

Para una serie de N reactores en serie la ecuación de diseño del reactor i-ésimo es:

(Ec.4)

Determinación del sistema adecuado para una conversión dada

Cuando se busca optimizar el tamaño total de reactores CSTR en serie, se requiere relacionar las áreas respectivas de los reactores individuales.

Suponiendo que se quiere encontrar el tamaño mínimo del sistema de dos reactores CSTR en serie presentado anteriormente, en el que obtenemos una conversión XA2.La Figura 5a muestra la formación de un rectángulo KLMN (unidades arbitrarias de área U2) entre los puntos de operación , cuando el área de este rectángulo es máxima esto implica que el área de los dos rectángulos sea el mínimo, por lo tanto, se consigue el volumen total óptimo para el sistema de reactores en serie.

El caso contrario, se muestra en la Figura 5b cuando el volumen del sistema es el más grande posible cuando el rectángulo KLMN tiene el área más pequeña posible.

Figura 5. Disposición de dos reactores CSRT conectados en serie, en el arreglo a) un reactor pequeño va primero y en b) un reactor grande va al principio. El área del rectángulo KLMN formada es función del orden de conexión.

Se busca que el área de los dos rectángulos sea pequeña, dado que está implícito en cada uno de ellos la ecuación de diseño correspondiente a estos reactores, dicho de otra manera, el área del rectángulo es directamente proporcional al volumen del reactor.

Maximización de rectángulos

Como se observa en la Figura 6a se construye un rectángulo entre los ejes x-y que toca una curva arbitraria en el punto M(x,y).

El área de este rectángulo es entonces

A = xy

(Ec.5)

El área es máxima cuando dA = 0

Figura 6. a) Rectángulo formado sobre una curva arbitraria, b) el área del rectángulo es máxima cuando la diagonal es igual a la derivada sobre el punto de la curva.

dA = 0 = ydx + xdy

Entonces, agrupando las diferenciales

(Ec.6)

De acuerdo con el análisis matemático anterior, este rectángulo cuenta con una diagonal NL y sobre M podemos colocar una recta tangente, la cual tiene como pendiente (Figura. 6b), entonces se cumple que el área del rectángulo es máxima cuando la diagonal NL es igual a la pendiente del punto M sobre la curva.

El procedimiento anterior puede extenderse directamente a operaciones de múltiples etapas.

Ejemplificación. Comparación de volúmenes para CSTR en serie de diferente tamaño

En un reactor de Tanque Agitado se lleva a cabo una reacción de segundo orden, con una conversión mínima del 87.5% y CAo = CBo 0.08 M. Se ha de tratar un Qo = 0.28 L /min.

A + B P

RA = (0.00992 M-1 s-1) CA CB

a) Calcular el tamaño de un reactor de Tanque Agitado

b) Calcular el tamaño de un reactor de Flujo pistón.

c) Calcular el volumen óptimo de dos reactores CSTR conectados en serie.

Solución

Inciso a)

Figura 7. Ilustración esquemática de los reactores a) CSRT y b) PFR.

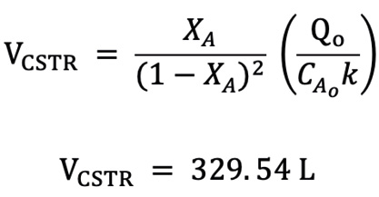
Partiendo de la ecuación de diseño del CSTR para orden dos

VCSTR

Inciso b)

Siguiendo el mismo procedimiento que en el caso anterior, obtenemos:

Inciso c)

Para resolver este inciso lo primero que tenemos que hacer es visualizar los puntos de operación de los reactores y esto se visualiza en la gráfica función de XA. En este caso, lo único que conocemos es el punto de operación del reactor 2, XA = 0.875. Sin embargo, sabemos que debe de existir una conversión intermedia, XA1, pues es la conversión obtenida del primer reactor.

Ubicados los puntos de operación de los reactores, procedemos a trazar los rectángulos, y de esta manera ubicaremos el rectángulo formado entre estos puntos de operación que es el que debemos maximizar. Como mencionamos anteriormente, este rectángulo tiene una diagonal formada por los puntos A-B de la Figura 8a, para determinar el volumen total óptimo esta diagonal debe ser igual a la pendiente de la recta tangente en un punto a una curva, es decir, la derivada.

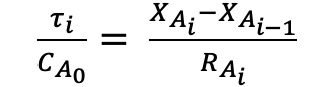
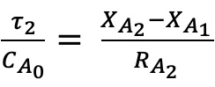
Continuamos ubicando las coordenadas de la diagonal y .

Así podemos determinar la pendiente de la línea recta diagonal A-B

Figura 8. a) Esquema de la diagonal formada entre los puntos de operación de los dos reactores y la pendiente al punto de la curva de Levenspiel. b) Datos cinétios necesarios sobre la hoja de Excel. c) Algortitmo de cálculo para la optimización del volumen de los reactores. d) Uso del solver de Excel para encontrar la conversión intermedia que optimiza el arreglo de reactores.

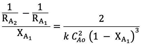
Obtenida esta expresión matemática, la siguiente expresión que nos falta encontrar es la pendiente de la recta tangente de un punto en la curva. En este caso, el punto que se encuentra en el punto de operación XA1,y debido a que es una derivada podemos expresarlo de la siguiente manera:

Entonces, teniendo la expresión matemática de la diagonal y la pendiente de la recta tangente en un punto de la curva, igualamos:

Teniendo como incógnita , porque no conocemos la conversión obtenida del primer reactor XA1, es decir, es función de XA1, por lo tanto esta ecuación debe ser resuelta para XA1.

Para resolver este problema recurriremos a la utilización de SOLVER en el programa Excel. Empezamos vaciando los datos del problema, como se muestra en la Figura 8b.

Para hallar XA1, supondremos un valor en la celda C11. El valor supuesto tiene que ser menor a XA2 = 0.875, puesto que no puede existir una conversión mayor en la parte intermedia del sistema. Se elige arbitrariamente XA1 = 0.5. Con estos valores procedemos a calcular las expresiones de rapidez en cada punto de operación en las celdas D11 y D12.

RA1 = k C2Ao (1 − XA1)2 = 0.000015872 M s-1

RA2 = k C2Ao (1 − XA2)2 = 0.000000992 M s-1

En la Columna E se calcula la inversa de la rapidez, y posteriormente en la Columna F calculamos la expresión matemática de la diagonal.

En la Columna G se realiza el cálculo de la pendiente de la recta tangente en un punto de la curva (Figura 8c). Como de desea obtener el volumen óptimo del sistema de dos reactores CSTR en serie, entonces debemos realizar la maximización del rectángulo, para ello mdiagonal y deben ser iguales en tal caso la resta debe ser igual a 0, por ejemplo, en la celda H11 se coloca “= F11-G11”.

Esta condición permite variar la conversión de de tal manera que cuando se encuentre el valor “mejor” de XA1 este reemplazara a el supuesto en un principio en la celda C11.

Se marca la celda H11 en la hoja de cálculo, se va al menú DATOS, y se selecciona SOLVER. Aparecerá la ventana de la Figura 16. Se marca “H11” como celda objetivo. Después se selecciona la opción VALOR DE: y se coloca un 0. Se marca C11 como la celda que ha de cambiar.

De este modo se ordena a SOLVER que resuelva la resta y que esta de un valor muy cercano a 0, cambiando el valor supuesto de la celda C11.Se hace clic en RESOLVER. Después de breves momentos SOLVER encuentra los valores de 1184885.705 y 1184884.59 en las celdas F11 y G11, respectivamente, con ello la resta de la celda H11 tiene un valor relativamente cercano a 0 (figura 8d). La celda C11 dice que XA1 = 0.70154.

Así pues, hemos obtenido la conversión del primer reactor y ahora, podremos calcular el volumen de cada recipiente y el volumen total óptimo requerido para este sistema de dos reactores CSTR en serie.

El cálculo para un sistema de tres reactores en serie es similar, la figura 9 muestra los puntos de operación sobre la gráfica de Levenspiel.

Figura 9. Puntos de operación sobre la gráfica de Levenspiel para la optimización de un sistema de tres reactores CSRT en serie.

En resumen:

Tabla 1. Resultados obtenidos para cada sistema de reactores para una conversión total del 87.5 %.

Sistema de reactores

Volumen total

Un solo reactor CSTR.

Un solo Reactor PFR

Dos reactores óptimos CSTR

Tres reactores óptimos CSTR

Cuatro reactores óptimos CSTR

Como se puede observar en la tabla 1, el volumen mayor para una conversión global del 87.5 % se presenta cuando opera un solo reactor CSRT, por otro lado el volumen menor se presenta si la reacción se efectúa en un PFR, asimismo, cuando la reacción se lleva a cabo en un sistema de reactores CSRT en serie el volumen total de las disminuye, al ir incrementando las unidades conectadas en serie el volumen total del sistema se acerca a la operación de un solo PFR y esto de debe a las ecuaciones de diseño (Ec. 2 y Figura. 2), el punto de operación de un solo CSRT corresponde al área del rectángulo sobre la curva de Levenspiel, cuando más rectángulos se incrementen (reactores CSRT operando en serie) se aproximará al área bajo la curva, que es la ecuación de diseño del reactor PFR.

Conclusiones

Se presentó una estrategia didáctica para la optimización del tamaño de reactores CSTR en serie, mediante el método de rectángulos para poder determinar el arreglo más conveniente de reactores de diferente tamaño en un proceso con reacciones químicas y con un determinado grado de conversión, se ejemplificó también su aplicación en la comparación de volúmenes para reactores CSTR en serie de diferente tamaño y su respectiva solución con ayuda del solver de Excel. Pretendemos con esto ayudar a lograr aprendizajes significativos y una mejor comprensión por parte de los estudiantes que cursan Cinética Química y Principios de Diseño de Reactores, de este tema que con base en nuestra experiencia docente es de dificultad para la mayoría de quienes la cursan.

Bibliografía

Castellan, W. G. (1998) Fisicoquímica, Adisson-Weslley Iberoamérica, 2 Ed. USA.

Chorkendorff, I.; Niemantsverdried, J. W. (2007) Concepts of modern catalysis and kinetic. 2nd ed. Wiley VCH. Alemania.

Dashi, A., Khorsand, K., Marvast, M. A. & Kakavand, M. (2006). Modeling and simulation of ammonio synthesis reactor. Petrol. Coal. 48(2) 15-23

Elizadle, I., Ramírez, R. & Ancheyta, J. (2013). Analytical solution to obtain the optimal volumen of a series of continuous tank reactors sustaining a first order reaction. Avances en ciencias e Ingeniería. 4(2) 51-60.

Espenson, J. H. (1995) Chemical kinetics and reaction mechanisms, McGraw-Hill, 2 ed. México.

Fogler, S. H. (2010) Essentials of chemical reaction engineering, Pearson Prentice Hall, 5 ed. USA.

Froment. G. F. & Kenneth, B. B. (2010) Chemical reactor analysis and design, John Wiley & Sons, 3 ed. USA.

Green, D. W.; Southard, M. Z. (2019) Perry’s Chemical Engineers’ Handbook, 9th Edition. McGraw-Hill Education.

Hong, R., Li, X., Li, H. & Yuan, W. (1997) Modeling and simulation of SO2 oxidation in a fixed reactor with periodic Flow reversal. Catal. Today. 38, 47-58.

Levenspiel, O. (2010) Ingeniería de las reacciones químicas, Limusa Wiley, 3 ed. México.

Maderos, F.S., Elizalde, I. & Ancheyta, J. (2009). Steady-state and Dynamic reactor

models for hydrotreating of oil fractions: A review. Catal. Rev. 51(4) 485-607



Recepción: 30/03/2022
Aceptación: 30/09/2022


Cómo citar: Montaño-Osorio, C., Obaya-Valdivia, A. E. y Vargas-Rodríguez, Y. M. (2023, enero-marzo). Optimización del tamaño de reactores CSTR mediante el método de maximización del área rectángulos (estrategia didáctica). Educación Química, 34 (1). http://dx.doi.org/10.22201/fq.18708404e.2023.1.82302


[a] Facultad de Estudios Superiores Cuautitlán, México.