Pigmentos vegetales: análisis cualitativo y cuantitativo de propiedades fisicoquímicas empleando Brassica oleracea y dispositivos de telefonía móvil

María Azul Cutrín,[a] Victoria Carro,[a] Bautista Rocha,[a] Jaime Enrique Bayona Solano[a] y Andrés Eduardo Ciolino[a]


Resumen

Se obtuvieron extractos acuosos y alcohólicos de col lombarda (Brassica oleracea var. capitata f. rubra) para analizar su cinética de decoloración frente al metabisulfito de sodio y producir acuarelas “medioambientalmente amigables” con buena estabilidad en el tiempo. Las acuarelas se elaboraron con agua, glicerina, goma arábiga y extracto liofilizado. Para el estudio cinético se utilizó un dispositivo móvil con la aplicación Carolina® RGB Colorimeter, que permitió registrar parámetros de color durante la reacción. Los resultados indican una cinética de degradación de primer orden para el extracto alcohólico y de orden cero para el extracto acuoso.

Palabras clave:

extracto de col lombarda, cinética de decoloración, acuarelas ecológicas, metabisulfito de sodio, medición de color móvil.


Plant Pigments: Qualitative and Quantitative Analysis of Physicochemical Properties Using Brassica oleracea and Mobile Devices

Abstract

Aqueous and alcoholic extracts of red cabbage (Brassica oleracea var. capitata f. rubra) were obtained to analyze their decoloration kinetics in response to sodium metabisulfite and to produce environmentally friendly watercolors with good stability over time. The watercolors were made with water, glycerin, gum arabic, and freeze-dried extract. For the kinetic study, a mobile device with the Carolina® RGB Colorimeter app was used to record color parameters during the reaction. Results indicate first-order degradation kinetics for the alcoholic extract and zero-order kinetics for the aqueous extract.

Keywords:

red cabbage extract, decoloration kinetics, eco-friendly watercolors, sodium metabisulfite, mobile color measurement.




Introducción

En muchas especies vegetales, el color observado en flores, frutos, tallos, hojas e incluso semillas se debe a la presencia de antocianinas, pigmentos hidrosolubles derivados de la familia de los flavonoides (Enaru et al., 2021). Las antocianinas tienen la particularidad de presentar una amplia gama de colores en función del pH del medio (Castañeda-Ovando et al., 2009) y pueden ser aisladas mediante extractos acuosos, alcohólicos o hidroalcohólicos (Abedi-Firoozjah et al., 2022). Debido a sus propiedades, su extracción y estudio constituyen una excelente oportunidad para diseñar estrategias didácticas sencillas que permitan explicar conceptos fisicoquímicos desde un enfoque científicamente accesible (Lech y Dounin, 2011; Paul et al., 2023; Keiller et al., 2023; Kajiya, 2024).

En los últimos años, los avances tecnológicos en el diseño de dispositivos de telefonía móvil han favorecido el desarrollo de diversas aplicaciones, como aquellas que registran parámetros de color (Sun et al., 2021). Muchas de estas se han utilizado como herramientas de laboratorio, ya que permiten emplear dispositivos móviles como instrumentos de medición funcionales y accesibles. Por ejemplo, la aplicación Titration ColorDarts se ha utilizado para determinar el punto final de titulaciones ácido-base empleando fenolftaleína como indicador (Rathod et al., 2019); Color Name AR se ha empleado para determinar la dureza de diversas muestras de agua (Larkin et al., 2024); y Color Picker and Helper, versión 1.1.6, se ha utilizado para determinar concentraciones de acetaminofén en presencia de iones ferricianuro, que forman el complejo azulado ferrocianuro férrico (azul de Prusia), cuya intensidad es detectable y medible mediante la aplicación (James y Honeychurch, 2024). En estos trabajos se destaca la versatilidad y sencillez de las estrategias empleadas, que además favorecen la comprensión por parte del estudiantado.

Recientemente, esta revista publicó una actividad en la que se reporta la extracción y combinación de una mezcla de extractos acuosos de pigmentos naturales provenientes de col lombarda, fresas, remolachas azucareras y berenjenas moradas, utilizada como indicador en reacciones convencionales de titulación ácido-base (Corinaldesi et al., 2024). En particular, además de antocianinas —responsables de su coloración—, la col lombarda contiene glucosinolatos, compuestos clasificados como S-glucósidos que se almacenan en estas verduras como precursores estables de isotiocianatos. Los glucosinolatos son solubles en agua (Campas-Baypoli et al., 2009); sin embargo, cuando el tejido vegetal se rompe por acción mecánica, estos compuestos pueden hidrolizarse enzimáticamente, liberando glucosa y aglucona. Esta última puede generar isotiocianatos y nitrilos mediante reacciones de reordenamiento específicas, sustancias responsables del aroma y del olor característico del vegetal. Entre los compuestos formados se encuentran el sulforafano y el sulforafano nitrilo (Liang y Yuang, 2012).

Teniendo en cuenta estos antecedentes, en este trabajo se propone estudiar algunas aplicaciones y propiedades del extracto acuoso de col lombarda, evaluando la factibilidad de utilizar su liofilizado para producir acuarelas “medioambientalmente” amigables, sin el olor característico del vegetal. Asimismo, se diseñó un experimento sencillo para determinar el orden cinético de la reacción de decoloración de extractos acuosos o alcohólicos de col lombarda, utilizando metabisulfito de sodio como agente decolorante y dispositivos móviles como instrumentos de medición.

Las actividades descritas se plantean como un enfoque alternativo para el estudio de las propiedades de las antocianinas vegetales, mediante protocolos de baja complejidad y accesibles. Además, el registro y análisis de los datos experimentales se facilita mediante el uso de teléfonos móviles, una estrategia eficaz y familiar para el estudiantado, ya desarrollada en publicaciones anteriores de esta revista (Manivel Chávez et al., 2021; Uribe-Guerrero y Acosta-Mesa, 2023; Hernández Valdepeña et al., 2024). De esta manera, se explora la química de las antocianinas desde una perspectiva integral, abordando aspectos cualitativos y cuantitativos de forma simple y efectiva.

Materiales y métodos

La col lombarda (Brassica oleracea var. capitata f. rubra) se adquirió en una verdulería local. Los solventes y reactivos utilizados se emplearon sin tratamiento previo: cloruro de metileno (Dorwill, Argentina), glicerina anhidra al 99.5 % (Cicarelli, Argentina), hidróxido de amonio (Cicarelli, Argentina), ácido cítrico (Química Industrial Bahiense, Argentina), bicarbonato de sodio (Anedra, Argentina), hidróxido de potasio (Cicarelli, Argentina), dihidrógeno fosfato de sodio (Cicarelli, Argentina), ácido acético glacial (Cicarelli, Argentina), acetato de sodio (Cicarelli, Argentina), ácido clorhídrico al 35 % p/p (Anedra, Argentina), metabisulfito de sodio (Cicarelli, Argentina), isopropanol (QB, Argentina), 2,6-bis(1,1-dimetiletil)-4-metilfenol (BHT, Anedra, Argentina) y óxido de cinc (Peules, Argentina). La goma arábiga, empleada en polvo, fue adquirida también en comercios locales.

Para el registro de datos cinéticos se utilizó un dispositivo Samsung® SM A145M junto con la aplicación Carolina® RGB Colorimeter, disponible en la tienda digital de Google®.

Extracto acuoso convencional

El vegetal fresco (~240 g) se cortó en trozos de longitud uniforme (~5.0 cm). Las piezas se sumergieron en ~700 mL de agua destilada a temperatura ambiente y se procesaron en una licuadora Moretti® Masterblend durante 1 minuto. Posteriormente, la mezcla se dejó reposar 40 minutos y se filtró con un tamiz de tela para separar los restos vegetales. El líquido obtenido se filtró nuevamente al vacío mediante un embudo de cerámica con placa porosa, kitasato, dispositivo de Venturi conectado a la red de agua corriente (o, alternativamente, con una bomba de vacío manual) y papel de filtro marca Quanty (Brasil, 11 cm de diámetro, 28 µm de poro). El filtrado (aproximadamente 600 mL, de color violeta) se dividió en porciones para su liofilización.

Extracto acuoso a pH definido

Para obtener extractos con pH controlado, se siguió el mismo procedimiento anterior, pero reemplazando el agua destilada por soluciones tampón: fosfato para medio alcalino (pH ≈ 8) o acetato para medio ácido (pH ≈ 5). Estas soluciones se prepararon a partir de los reactivos indicados, siguiendo procedimientos estándar, hasta completar 700 mL.

Extracto acuoso diferencial

Con el fin de minimizar la presencia de 1-isotiocianato-4-(metilsulfinil)-butano y 4-(metilsulfinil)-butan-1-nitrilo (sulforafano y sulforafano nitrilo, compuestos responsables del olor característico del vegetal), se realizó una extracción adicional con cloruro de metileno. Sobre 250 mL del extracto acuoso convencional se llevaron a cabo tres extracciones con cloruro de metileno (3 × 40 mL) en una ampolla de decantación de 500 mL, bajo campana de extracción.

Producto liofilizado

Los extractos acuosos convencional y diferencial se dividieron en frascos (~60 mL), se congelaron a −20 °C (congelador convencional) y se liofilizaron en un equipo Rificor L-A-B3 (Argentina) durante 48 h, a temperatura ambiente y presión de vacío final de 50 mm Hg. Se obtuvo un rendimiento aproximado de 16.25 g/L de producto liofilizado.

Preparación de acuarelas

Se elaboró una pasta base con goma arábiga (6 g), glicerina (4 mL) y agua (20 mL), la cual se dejó reposar durante 48 h en heladera (T ≈ 4 °C). Posteriormente, se incorporaron 2 g de producto liofilizado y se dividió la mezcla en partes iguales. La coloración base fue proporcionada por el producto liofilizado; para modificar el color se agregaron pequeñas cantidades (<6 gotas; <25 mg) de hidróxido de amonio (verde), hidróxido de potasio (amarillo), ácido cítrico (rojo) o carbonato de sodio (azul). Además, se añadió BHT (10 mg) como antioxidante y en algunas formulaciones óxido de cinc como agente protector fotoquímico.

Cinética de decoloración

Se utilizaron ~55 g del vegetal troceado, sumergido en 200 mL de solución acuosa de ácido acético al 4 % v/v. Tras agitación constante por 30 minutos, el sobrenadante se filtró convencionalmente para obtener un extracto acético de color rojo intenso. De manera análoga, se preparó un extracto alcohólico de color violeta usando 200 mL de alcohol isopropílico.

Las reacciones de decoloración se realizaron sobre extractos frescos sin tratamiento adicional. Se recomienda llevar a cabo los ensayos inmediatamente, ya que el extracto alcohólico pierde intensidad en 48 h, a diferencia del acético.

Como recipiente de reacción se utilizó una caja de Petri de vidrio (10 cm de diámetro) con 20 mL de extracto y una tapa pequeña (~2 cm³) que contenía ~250 mg de metabisulfito de sodio. Se registraron los parámetros de color R (rojo), G (verde) y B (azul) mediante la aplicación Carolina® RGB Colorimeter, utilizando el dispositivo móvil colocado sobre un aro fijado a un soporte universal, a ~40–50 cm de altura. La cámara enfocó una placa de teflón (15 cm × 15 cm) como fondo, sobre la cual se colocó la caja de Petri.

Una vez registrados los valores iniciales de color, se añadió ~1 mL de ácido clorhídrico concentrado a la tapa con metabisulfito, se tapó de inmediato la caja de Petri y se permitió que el dióxido de azufre gaseoso saturara la atmósfera y decolorara el extracto. La evolución de los valores RGB se midió con un cronómetro Tressa® Crono10B. Las experiencias se realizaron por triplicado.

Figura 1. Esquema del dispositivo experimental empleado para realizar las experiencias de decoloración de extractos ácidos o alcohólicos de antocianinas de col lombarda.

Análisis de resultados

Para determinar la ecuación cinética integrada, se evaluó la apariencia de las curvas al graficar [C]t vs. t (cinética de orden cero), ln([C]t) vs. t (primer orden) y 1/[C]t vs. t (segundo orden). El término [C]t se define según la ecuación 1:

Ecuación 1. Definición de concentración de antocianinas en función del tiempo, análoga a la ley de Lambert-Beer.

(ecuación 1)

Donde [C]t es la concentración de antocianinas en el tiempo t; Xt es el valor del parámetro R, G o B en ese instante; y X̅ es el valor promedio del parámetro cuando se asume completada la reacción de decoloración (Logan, 1999). El mejor ajuste lineal de las curvas se usó como criterio para determinar el orden cinético. Los resultados se analizaron estadísticamente mediante ANOVA de un factor (p > α = 0,05) con la herramienta Excel® 16.0 del paquete Office® de Microsoft®.

Medidas de seguridad y elementos de protección personal

Se utilizaron bata de laboratorio, gafas de seguridad y guantes de nitrilo para manipular los reactivos. La mayoría de los residuos generados consistieron en disoluciones acuosas o alcohólicas de pH ácido, que se desecharon en contenedores para soluciones no neutras. Los volúmenes de cloruro de metileno utilizados se eliminaron en contenedores especiales para solventes halogenados. Aunque las cantidades usadas fueron pequeñas, tanto el metabisulfito de sodio como el ácido clorhídrico deben manipularse bajo campana, con el equipo de protección adecuado, ya que son sustancias peligrosas.

Resultados y discusión

Acuarelas

Para producir las acuarelas, se obtuvo un extracto acuoso a temperatura ambiente, que posteriormente fue liofilizado para obtener el extracto seco. Al emplear el producto liofilizado de la extracción convencional, las acuarelas resultantes se destacaron por presentar un olor intenso y característico, atribuible a la presencia de concentraciones apreciables de sulforafano y sulforafano nitrilo. Según la literatura consultada, el contenido de estos compuestos puede minimizarse mediante una extracción adicional con cloruro de metileno como solvente selectivo (Wieczorek et al., 2020; Wieczorek et al., 2021), o bien mediante la modificación del pH (5 < pH < 8) de la solución acuosa inicial (Li et al., 2012). Se evaluaron ambas estrategias.

Al variar los valores de pH inicial, el producto liofilizado resultante conservaba sus propiedades hidrofílicas y disminuía la intensidad del olor; sin embargo, la coloración obtenida en las acuarelas era menos intensa, independientemente de si el medio era ácido (5 < pH) o alcalino (pH > 8). No obstante, al agregar una etapa adicional de extracción con cloruro de metileno (independientemente del pH inicial del extracto acuoso), el producto liofilizado conservó tanto el color como la hidrofilicidad, con la ventaja adicional de ser inodoro.

Por otra parte, dado que las antocianinas pueden sufrir reacciones de oxidación o descomposición fotoquímica (Enaru et al., 2021), se intentó suprimir o minimizar dichos procesos mediante la preparación de formulaciones de acuarelas que incluyeran pequeñas cantidades de BHT como antioxidante (Yehye et al., 2015) y/u óxido de cinc como agente fotoprotector (Schneider y Lim, 2018). Se observó que la adición de óxido de cinc disminuía la intensidad del color de las acuarelas (por el efecto de mezcla entre el óxido, de color blanco, y el extracto liofilizado, de color violáceo), mientras que la incorporación de BHT mejoró su estabilidad en el tiempo. Según lo reportado en la literatura, el BHT es un antioxidante sintético empleado como conservante en alimentos, productos farmacéuticos y materiales poliméricos, debido a que puede activar distintos mecanismos antirradicalarios, entre los que destacan la transferencia de átomos de hidrógeno, la formación de aductos radicalarios y la transferencia electrónica simple (Boulebd, 2021). Se especuló que la incorporación de este antioxidante podía ser eficaz para evitar la degradación de las antocianinas presentes en el extracto liofilizado ante fenómenos de generación fotoquímica de radicales libres.

Figura 2. Dibujos coloreados con acuarelas obtenidas a partir del extracto convencional (a y b, sin tratamientos ni aditivos) y diferencial (c, con BHT como aditivo). La Figura 2a muestra el dibujo inicial; la Figura 2b, el mismo dibujo al cabo de dos meses. La Figura 2c muestra el dibujo pintado con acuarelas obtenidas a partir del extracto diferencial, también dos meses después de su aplicación.

El desempeño de la formulación más adecuada —extracción convencional seguida de extracción diferencial y adición de BHT— puede apreciarse en la Figura 2, donde se compara el mismo dibujo coloreado con acuarelas obtenidas a partir del extracto. En la Figura 2a se muestra el dibujo pintado con acuarelas producidas a partir del extracto convencional liofilizado sin BHT; en la Figura 2b se observa el mismo dibujo dos meses después. Se aprecia una notable pérdida de intensidad del color en esta última imagen, en comparación con la mostrada en la Figura 2a. Por su parte, la Figura 2c presenta el mismo dibujo pintado con acuarelas obtenidas a partir del extracto diferencial liofilizado con BHT como antioxidante. Si bien los colores empleados no replican exactamente el patrón de la Figura 2a, puede observarse que la intensidad cromática original se conserva con el paso del tiempo.

Cinética de degradación de los extractos

La acción del dióxido de azufre (SO₂(g)) y del ácido sulfuroso (H₂SO₃(ac)), generados a partir de metabisulfito de sodio, decolora extractos alcohólicos o acuosos de antocianinas naturales (Jurd, 1964; Berké et al., 1998; Teng et al., 2020). Este fenómeno fue aprovechado por Keiller y colaboradores para producir una “tinta invisible” a partir de extractos de col lombarda (Keiller et al., 2023). A partir de la lectura de dicho trabajo, surgió la inquietud de aproximarse a la cinética de decoloración de cada extracto desde un enfoque cuantitativo. Para ello, se adaptaron las condiciones experimentales de acuerdo con sugerencias reportadas en estudios previos (Knutson et al., 2015; Nalliah, 2019).

Ensayos preliminares mostraron que la simple mezcla de soluciones del extracto con soluciones de metabisulfito de sodio a distintas concentraciones generaba una reacción demasiado rápida, lo que impedía registrar resultados en función del tiempo para un análisis cinético. Por esta razón, se optó por generar el agente decolorante in situ, según la serie de reacciones que se presenta en la Figura 3.

Figura 3. Secuencia de reacciones involucradas en la decoloración de extractos acuosos de antocianinas en presencia de metabisulfito de sodio.

En primer lugar, se realizaron experiencias preliminares para evaluar el comportamiento de los parámetros de color en soluciones diluidas de cada extracto. Se observó que el parámetro G era el que mostraba mayor variabilidad, mientras que los valores de los parámetros R y B presentaban diferencias menores (véase Anexo II). Además, se comprobó que los valores del parámetro G presentaban una relación lineal con la concentración del extracto en el medio, lo que permitió inferir que dicho parámetro era el más adecuado para registrar variaciones a lo largo del tiempo.

Una vez verificada la relación entre el valor de G y la concentración del extracto, se registraron los valores iniciales de G en cada extracto concentrado, así como su evolución temporal al exponerlos a una atmósfera saturada de SO₂(g), generada in situ. Los resultados experimentales se presentan en las Tablas 1 y 2, donde se reportan los valores del parámetro G correspondientes a tres réplicas del ensayo.

Tabla 1. Valores experimentales del parámetro de color G durante la decoloración del extracto isopropílico de antocianinas de col lombarda con metabisulfito de sodio. Nota: t: tiempo. Xt refiere al valor del parámetro de color G (verde) registrado al tiempo t. X̅t ± s refiere al valor promedio del parámetro de color G ± desvío estándar. El parámetro Ct se definió anteriormente en la ecuación 1.

t (s)

Xt

t ± s

Ct

In(Ct)

1/Ct

0

94; 109; 103

171

102 ± 8

0,224

- 1,49

4,46

5

110; 109; 110

110 ± 1

0,193

- 1,65

5,18

10

105; 111; 115

110 ± 5

0,190

- 1,66

5,26

15

116; 118; 121

118 ± 3

0,160

- 1,83

6,25

20

128; 126; 122

125 ± 3

0,135

- 2,00

7,41

25

138; 140; 130

136 ± 5

0,099

- 2,31

10,1

30

141; 150; 143

145 ± 5

0,073

- 2,62

13,8

35

145; 152; 136

144 ± 8

0,074

- 2,61

13,6

40

146; 154; 145

148 ± 5

0,062

- 2,79

16,2

45

150; 155; 152

152 ± 3

0,050

- 2,99

19,9

50

152; 155; 158

155 ± 3

0,043

- 3,15

23,4

55

158; 159; 166

161 ± 4

0,026

- 3,64

38,2

Tabla 2. Valores experimentales del parámetro de color G durante la decoloración del extracto acético al 4 % v/v de antocianinas de col lombarda con metabisulfito de sodio. Nota: t: tiempo. Xt refiere al valor del parámetro de color G (verde) registrado al tiempo t. X̅t ± s refiere al valor promedio del parámetro de color G ± desvío estándar. El parámetro Ct se definió anteriormente en la ecuación 1.

t (s)

Xt

t ± s

Ct

In(Ct)

1/Ct

0

93; 90; 84

157

89 ± 5

0,247

- 1,40

4,06

10

102; 95; 90

96 ± 6

0,215

- 1,54

4,65

20

106; 102; 91

100 ± 8

0,197

- 1,62

5,07

30

109; 107; 100

105 ± 5

0,173

- 1,75

5,77

40

113; 110; 114

112 ± 2

0,145

- 1,93

6,88

50

117; 115; 130

121 ± 8

0,114

- 2,17

8,75

60

124; 124; 138

129 ± 8

0,086

- 2,45

11,6

70

140; 135; 147

141 ± 6

0,048

- 3,04

21,0

80

146; 145; 153

148 ± 4

0,026

- 3,66

39,0

90

149; 149; 155

151 ± 3

0,017

- 4,08

59,1

100

155; 151; 157

154 ± 3

0,007

- 4,90

134

110

157; 154; 157

156 ± 2

0,0030

- 5,89

360

Del análisis de las curvas obtenidas para las ecuaciones cinéticas integradas se extrajeron las siguientes conclusiones: para el extracto isopropílico, la gráfica de ln(Ct) frente al tiempo (t) mostró el mejor ajuste lineal (Figura 4), mientras que para el extracto acético fue la gráfica de Ct vs. t la que presentó el ajuste más adecuado (Figura 5).

Figura 4. Resultados experimentales para una cinética de primer orden en la reacción de decoloración del extracto isopropílico de col lombarda por efecto del metabisulfito de sodio ( = 0,9728). A la izquierda se muestra el extracto original (color violeta) utilizado en el estudio.

Figura 5. Resultados experimentales para una cinética de orden cero en la reacción de decoloración del extracto acético de col lombarda por efecto del metabisulfito de sodio ( = 0,9750). A la izquierda se muestra el extracto original (color rojo) utilizado en el estudio.

Se observó que, para los tiempos de reacción estudiados, la decoloración era rápida en ambos extractos. Hasta los 80 s, la gráfica Ct vs. t del extracto acético mostraba un comportamiento lineal, alejándose ligeramente de la tendencia en los últimos puntos. En cambio, la gráfica ln(Ct) vs. t del extracto isopropílico evidenció una tendencia lineal más persistente.

Los valores de kobs obtenidos fueron de –2,4 × 10⁻³ mol/(L·s) para el extracto acético y –3,74 × 10⁻² s⁻¹ para el extracto isopropílico. Las curvas derivadas de los datos experimentales del parámetro G para los distintos órdenes de reacción pueden consultarse en el Anexo III. A pesar de los altos valores del coeficiente de determinación () en las curvas que mejor ajustan el comportamiento de cada extracto, los resultados sugieren mecanismos de reacción complejos y distintos entre sí.

En primer lugar, la diferencia en los órdenes de reacción podría explicarse considerando que una mayor acidez del medio favorece la formación de H₂SO₃(ac) a partir del SO₂(g) generado in situ. Es razonable suponer que, en el extracto acético al 4 % v/v, la concentración de H₂SO₃(ac) permanece prácticamente constante desde el inicio de la reacción, lo que explicaría el comportamiento de orden cero observado. Otros factores también pueden influir en el comportamiento cinético de cada extracto, como la naturaleza heterogénea de la reacción (debido al gas liberado que debe difundirse e hidrolizarse en solución), la posibilidad de mecanismos multietapa, o la dependencia de variables como la temperatura o la agitación.

No obstante, la similitud entre los valores registrados en las réplicas (Tablas 1 y 2; análisis ANOVA de un factor, p > α = 0.05) permite concluir que la experiencia constituye una aproximación válida para estudiar la cinética de decoloración de extractos vegetales de antocianinas en los solventes evaluados, sin necesidad de dispositivos experimentales complejos ni de instrumentos de registro sofisticados.

El impacto visual, la simplicidad y el empleo de herramientas familiares (como un dispositivo móvil) respaldan el potencial pedagógico de esta propuesta. El Anexo I incluye una secuencia didáctica orientativa para replicar estas experiencias en un contexto educativo.

Conclusiones

Se obtuvieron acuarelas medioambientalmente amigables empleando goma arábiga, glicerina, agua y extracto liofilizado de col lombarda como colorante. La incorporación de BHT en la formulación permitió obtener acuarelas con un desempeño aceptable y estabilidad en el tiempo. Paralelamente, se llevaron a cabo experiencias de decoloración de extractos acuosos y alcohólicos de antocianinas en presencia de dióxido de azufre generado por la reacción entre ácido clorhídrico concentrado y metabisulfito de sodio. Para registrar las variaciones de los parámetros de color R (rojo), G (verde) y B (azul) de los extractos analizados, se utilizó un dispositivo de telefonía móvil junto con la aplicación Carolina® RGB Colorimeter.

Las experiencias realizadas mostraron una buena reproducibilidad en tiempos razonables, una variación significativa del parámetro G a lo largo del tiempo, y una cinética de primer orden para el extracto alcohólico. En cambio, para el extracto acuoso, la cinética observada fue de orden cero. Las actividades presentadas constituyen propuestas simples y efectivas para introducir conceptos fisicoquímicos relativamente complejos —como la extracción de principios activos, el color y su decoloración, los solventes selectivos y la cinética de reacción— mediante el uso de materiales y dispositivos de uso cotidiano.

Agradecimientos

Los autores agradecen a la Universidad Nacional del Sur (UNS) y al Departamento de Ingeniería Química (DIQ) por el apoyo recibido —tanto económico como humano—, así como por la provisión de reactivos, materiales y espacios de trabajo adecuados para llevar a cabo las actividades descritas. También se agradece la colaboración brindada por el personal de laboratorio, en particular a la Sra. Gabriela Martínez Ipucha y al Lic. Miguel Nievas.

Referencias

Abedi-Firoozjah, R., Yousefi, S., Heydari, M., Seyedfatehi, F., Jafarzadeh, S., Mohammadi, R., Rouhi, M., y Garavand, F. (2022). Application of red cabbage anthocyanins as pH-sensitive pigments in smart food packaging and sensors. Polymers, 14(8), 1629. https://doi.org/10.3390/polym14081629

Berké, B., Chèze, C., Vercauteren, J., y Deffieux, G. (1998). Bisulfite addition to anthocyanins: Revisited structures of colourless adducts. Tetrahedron Letters, 39(6), 5771–5774. https://doi.org/10.1016/S0040-4039(98)01205-2

Boulebd, H. (2021). Radical scavenging behavior of butylated hydroxytoluene against oxygenated free radicals in physiological environments: Insights from DFT calculations. International Journal of Chemical Kinetics, 54(1), 50–57. https://onlinelibrary.wiley.com/doi/epdf/10.1002/kin.21540

Campas-Baypoli, O., Bueno-Solano, C., Martínez-Ibarra, D., Camacho-Gil, F., Villa-Lerma, A., Rodríguez-Núñez, J., López-Cervantes, J., y Sánchez-Machado, D. (2009). Contenido de sulforafano (1-isotiocianato-4-(metilsulfinil)-butano) en vegetales crucíferos. Archivos Latinoamericanos de Nutrición, 59(1), 95–100. http://www.alanrevista.org/ediciones/2009/1/art-15/ (consultado el 8 de julio de 2024)

Castañeda-Ovando, A., Pacheco-Hernández, M. L., Páez-Hernández, M. E., Rodríguez, J., y Galán-Vidal, C. (2009). Chemical studies of anthocyanins: A review. Food Chemistry, 113(4), 859–887. https://doi.org/10.1016/j.foodchem.2008.09.001

Corinaldesi, S., Intrieri, M., Abadala, F., González, L., Salvai Destain, A., Constenla, D., y Ciolino, A. (2024). Colores y números: Extractos vegetales como indicadores de pH. Educación Química, 35(3), 125–139. https://doi.org/10.22201/fq.18708404e.2024.3.87494

Enaru, B., Dreţcanu, G., Pop, T. D., Stănilă, A., y Diaconeasa, Z. (2021). Anthocyanins: Factors affecting their stability and degradation. Antioxidants, 10(12), 1967. https://doi.org/10.3390/antiox10121967

Hernández Valdepeña, M., Sandoval Guillén, B., y Bermúdez García, E. (2024). Implementación de una secuencia didáctica a distancia para cuantificación de almidón en alimentos por espectrofotometría. Educación Química, 35(2), 3–17. https://doi.org/10.22201/fq.18708404e.2024.2.86394

Ibraheem, N., Mokhtar, H., Khan, R., y Mishra, P. (2012). Understanding color models: A review. ARPN Journal of Science and Technology, 2(3), 265–275. https://haralick.org/DV/understanding_color_models.pdf (consultado el 17 de julio de 2024)

James, H., y Honeychurch, K. (2024). Digital image colorimetry smartphone determination of acetaminophen. Journal of Chemical Education, 101(1), 187–196. https://doi.org/10.1021/acs.jchemed.3c00659

Jurd, L. (1964). Reactions involved in sulfite bleaching of anthocyanins. Journal of Food Science, 29(1), 16–19. https://doi.org/10.1111/j.1365-2621.1964.tb01685.x

Kajiya, D. (2024). Dyeing cloth green using red onion skin: A pH-responsive dye and aluminum-ion complex. Journal of Chemical Education, 101(3), 1241–1247. https://doi.org/10.1021/acs.jchemed.3c01223

Keiller, L., Patterson, L., Stewart, D., y Smellie, I. (2023). A simple and inexpensive invisible ink system based on red cabbage extracts. Journal of Chemical Education, 100(3), 1398–1403. https://doi.org/10.1021/acs.jchemed.2c01032

Knutson, T., Knutson, C., Mozzetti, A., Campos, A., Haynes, C., y Penn, R. (2015). A fresh look at the crystal violet lab with handheld camera colorimetry. Journal of Chemical Education, 92(10), 1692–1695. https://doi.org/10.1021/ed500876y

Larkin, E., Ahn, D., Ahn, N., Alzarooni, F., Busaibe, Y., Yeong Cho, S., Lee, S., Madani, B., Mun, J., Quirós-Canales, K., Rabeh, N., Raef, Z., Shen, Y., Shupac, M., Villanueva, A., y Pergantis, S. (2024). Modernizing titrations in the undergraduate laboratory: No more burets and end point confusion, just a top-loading balance and a smartphone. Journal of Chemical Education, 101(2), 438–447. https://doi.org/10.1021/acs.jchemed.3c00799

Lech, J., y Dounin, V. (2011). JCE Classroom Activity #110: Artistic anthocyanins and acid-base chemistry. Journal of Chemical Education, 88(12), 1684–1686. https://doi.org/10.1021/ed1011647

Liang, H., y Yuang, Q. (2012). Natural sulforaphane as a functional chemopreventive agent: Including a review of isolation, purification and analysis methods. Critical Reviews in Biotechnology, 32(3), 218–223. https://doi.org/10.3109/07388551.2011.604838

Li, Z., Liu, Y., Fang, Z., Yang, L., Zhuang, M., Zhang, Y., y Sun, P. (2012). Development and verification of sulforaphane extraction method in cabbage (Brassica oleracea L. var. capitata) and broccoli (Brassica oleracea L. var. italica Planch.). Journal of Medicinal Plants Research, 6(33), 4796–4803. https://doi.org/10.5897/JMPR12.229

Logan, S. (1999). Fundamentos de cinética química. Addison-Wesley Iberoamericana España.

Manivel Chávez, R., Ramos Rendón, M., y Sánchez Vázquez, R. (2021). Apps como herramientas digitales en la enseñanza de nomenclatura inorgánica. Educación Química, 32(4), 180–190. https://doi.org/10.22201/fq.18708404e.2021.5.80005

Nalliah, R. (2019). Reaction of FD&C Blue 1 with sodium percarbonate: Multiple kinetics methods using an inexpensive light meter. Journal of Chemical Education, 96(7), 1453–1457. https://doi.org/10.1021/acs.jchemed.8b00589

Paul, A., Dutta, A., Kundu, A., y Saha, S. (2023). Resin assisted purification of anthocyanins and their encapsulation. Journal of Chemical Education, 100(2), 885–892. https://doi.org/10.1021/acs.jchemed.2c00918

Rathod, B., Murthy, S., y Bandyopadhyay, S. (2019). Is this solution pink enough? A smartphone tutor to resolve the eternal question in phenolphthalein-based titration. Journal of Chemical Education, 96(3), 486–494. https://doi.org/10.1021/acs.jchemed.8b00708

Schneider, S., y Lim, H. (2018). A review of inorganic UV filters zinc oxide and titanium dioxide. Photodermatology, Photoimmunology & Photomedicine, 35(6), 442–446. https://doi.org/10.1111/phpp.12439

Sun, B., Zhou, A., Li, X., y Yu, H.-Z. (2021). Development and application of mobile apps for molecular sensing: A review. ACS Sensors, 6(5), 1731–1744. https://doi.org/10.1021/acssensors.1c00512

Teng, Z., Jiang, X., He, F., y Bai, W. (2020). Qualitative and quantitative methods to evaluate anthocyanins. eFood, 1(5), 339–346. https://doi.org/10.2991/efood.k.200909.001

Uribe-Guerrero, E., y Acosta-Mesa, D. (2023). Evaluación de apps educativas relacionadas con el tema de balanceo de reacciones químicas. Educación Química, 34(2), 181–194. https://doi.org/10.22201/fq.18708404e.2023.2.82606

Wieczorek, M., Majcher, M., y Jeleń, H. (2020). Comparison of three extraction techniques for the determination of volatile flavor components in broccoli. Foods, 9, 398. https://doi.org/10.3390/foods9040398

Wieczorek, M., Majcher, M., y Jeleń, H. (2020). Identification of aroma compounds in raw and cooked broccoli. Flavour and Fragrance Journal, 36(5), 576–583. https://doi.org/10.1002/ffj.3669

Yehye, W., Rahman, N., Ariffin, A., Abd Hamid, S., Alhadi, A., Kadir, F., y Yaeghoobi, M. (2015). Understanding the chemistry behind the antioxidant activities of butylated hydroxytoluene (BHT): A review. European Journal of Medicinal Chemistry, 101, 295–312. https://doi.org/10.1016/j.ejmech.2015.06.026

Anexo I

En el presente anexo se propone un cronograma de actividades para implementar en un curso de Química Analítica General, de nivel universitario. Las clases descritas son diarias y tienen una carga horaria de entre 3 y 4 horas. Se parte del supuesto de que el grupo destinatario posee conocimientos elementales de química, manejo de instrumental básico y experiencia en el trabajo de laboratorio.

Materiales necesarios y aspectos de seguridad

El equipo indispensable para llevar a cabo la obtención de acuarelas es un liofilizador. Los extractos se procesan en una licuadora de uso doméstico. El resto de los materiales se detalla a continuación:

Medidas de seguridad: campana extractora, guantes de nitrilo, bata o guardapolvo de laboratorio, gafas de seguridad, ropa cómoda, calzado cerrado y cabello recogido. El cloruro de metileno empleado para la extracción diferencial puede ser reemplazado por acetato de etilo, según sugerencias de la literatura.

Objetivos del aprendizaje

Las actividades propuestas parten del enfoque de aprendizaje basado en experiencias, el cual favorece el desarrollo de habilidades y la comprensión por parte de los estudiantes. Los principales objetivos pedagógicos se relacionan con la interpretación de datos experimentales y la formulación de conclusiones respaldadas por el análisis de dichos datos. Una de las principales ventajas de esta propuesta es su simplicidad, ya que los materiales son de fácil acceso y los experimentos no requieren equipos ni instrumentación sofisticada.

Se espera que, al finalizar esta actividad, los estudiantes sean capaces de:

Asimismo, como resultados principales, se espera que los estudiantes logren:

Principales consideraciones antes de llevar a cabo la actividad

Se recomienda realizar las actividades en grupos de 3 o 4 estudiantes. Algunas recomendaciones generales son:

Cronograma tentativo de actividades

Primera clase

Los estudiantes obtienen los extractos acuosos convencional y diferencial de col lombarda, que se dividen en cantidades adecuadas para ser sometidas a liofilización. Se procede a liofilizarlos con el fin de obtener extractos de antocianinas.

Segunda clase

Se recuperan los extractos liofilizados de antocianinas, que se trituran con mortero y se mezclan con la cantidad adecuada de BHT. Paralelamente, se prepara la pasta base para las acuarelas, la cual se deja reposar hasta la siguiente clase. El tiempo restante puede utilizarse para reforzar conceptos teóricos e introducir las actividades de las clases siguientes.

Tercera clase

Se elaboran las acuarelas. La mezcla base se divide y se adicionan cantidades adecuadas de extracto liofilizado para obtener el color base y sus derivados mediante la adición de reactivos químicos específicos. Se obtienen los distintos colores que luego se utilizarán para realizar dibujos coloreados. Esta clase resulta propicia para repasar conceptos relacionados con la química ácido-base de las antocianinas y con las propiedades ácidas o básicas de diversos compuestos inorgánicos y orgánicos.

Cuarta clase

Se prepara el dispositivo experimental para llevar a cabo las mediciones de la cinética de decoloración de las antocianinas de col lombarda. Para ello, se obtienen los extractos alcohólico y acético correspondientes. Una vez listos, se realizan las experiencias cinéticas propuestas, registrando los datos experimentales y realizando un análisis preliminar de los resultados.

Quinta clase

Los datos recopilados se analizan y discuten con el grupo. Se realiza el análisis estadístico de los resultados obtenidos en las determinaciones cinéticas y se evalúa la existencia de diferencias significativas entre los valores obtenidos para cada extracto. En esta clase —o en sesiones adicionales— se pueden abordar distintos aspectos relacionados con las actividades realizadas, como la estructura química de los pigmentos vegetales, métodos de extracción líquido/sólido, el pH y su escala, cinética química, reacciones de decoloración, entre otros. Finalmente, se establecen las pautas generales para la elaboración del informe escrito, conforme a las recomendaciones y alcances definidos por la cátedra.

Anexo II

A continuación, en las Figuras A II-1 y A II-2, se presentan los diagramas de cajas y bigotes que muestran la variación de los parámetros de color R, G y B en función de las diluciones de los extractos isopropílico y acético al 4 % v/v en sus respectivos disolventes.

Figura A II-1. Variación de los parámetros de color R (rojo), G (verde) y B (azul) en función de la concentración, medidos con la aplicación Carolina® RGB Colorimeter, para el extracto alcohólico.

Figura A II-2. Variación de los parámetros de color R (rojo), G (verde) y B (azul) en función de la concentración, medidos con la aplicación Carolina® RGB Colorimeter, para el extracto acético al 4 % v/v.

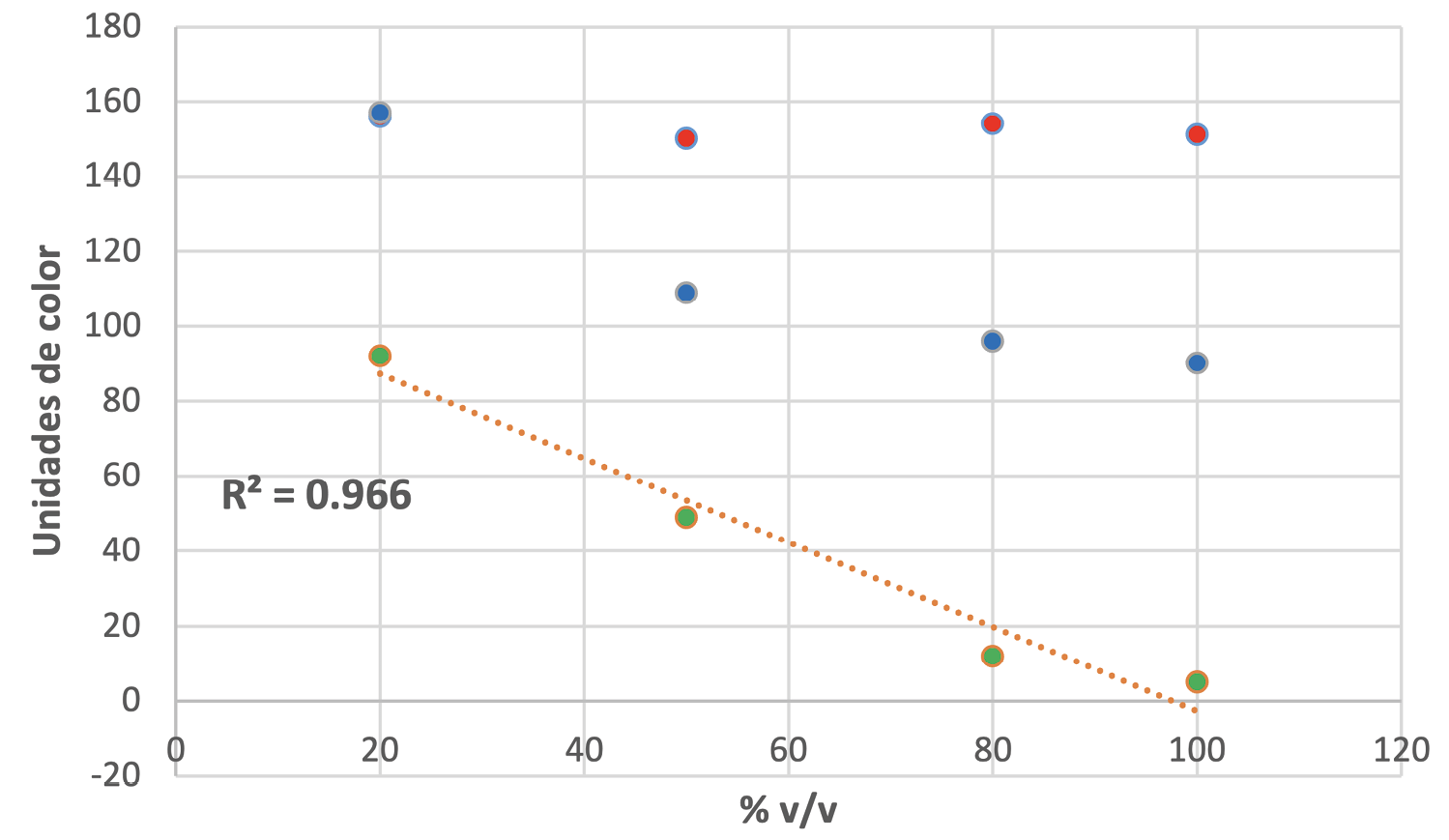
En las Figuras A II-3 y A II-4 se grafican los valores de los parámetros R, G y B según las diluciones estudiadas, evidenciando una dependencia lineal decreciente del parámetro G a medida que aumenta la concentración del extracto en los disolventes analizados.

Figura A II-3. Variación de los parámetros de color R (rojo), G (verde) y B (azul) en función de la concentración, medidos con la aplicación Carolina® RGB Colorimeter, para el extracto alcohólico. Se observa un ajuste lineal para el parámetro G.

Figura A II-4. Variación de los parámetros de color R (rojo), G (verde) y B (azul) en función de la concentración, medidos con la aplicación Carolina® RGB Colorimeter, para el extracto acético al 4 % v/v. Se observa un ajuste lineal para el parámetro G.

Anexo III

A continuación, en las Figuras A III-1 a A III-6, se presentan los gráficos obtenidos para el análisis de diferentes órdenes de reacción, a partir de los valores registrados del parámetro de color G para cada uno de los extractos estudiados.

Figura A III-1. Ajuste cinético de orden cero para la reacción de decoloración del extracto isopropílico concentrado de antocianinas de col lombarda, obtenido a partir de los datos experimentales del parámetro G, medido con la aplicación Carolina® RGB Colorimeter.

Figura A III-2. Ajuste cinético de primer orden para la reacción de decoloración del extracto isopropílico concentrado de antocianinas de col lombarda, obtenido a partir de los datos experimentales del parámetro G, medido con la aplicación Carolina® RGB Colorimeter.

Figura A III-3. Ajuste cinético de segundo orden para la reacción de decoloración del extracto isopropílico concentrado de antocianinas de col lombarda, obtenido a partir de los datos experimentales del parámetro G, medido con la aplicación Carolina® RGB Colorimeter.

Figura A III-4. Ajuste cinético de orden cero para la reacción de decoloración del extracto acético al 4 % v/v concentrado de antocianinas de col lombarda, obtenido a partir de los datos experimentales del parámetro G, medido con la aplicación Carolina® RGB Colorimeter.

Figura A III-5. Ajuste cinético de primer orden para la reacción de decoloración del extracto acético al 4 % v/v concentrado de antocianinas de col lombarda, obtenido a partir de los datos experimentales del parámetro G, medido con la aplicación Carolina® RGB Colorimeter.

Figura A III-6. Ajuste cinético de segundo orden para la reacción de decoloración del extracto acético al 4 % v/v concentrado de antocianinas de col lombarda, obtenido a partir de los datos experimentales del parámetro G, medido con la aplicación Carolina® RGB Colorimeter.



Recepción: 2024-08-21. ▪ Aceptación: 2025-04-22.

Cómo citar:

Cutrín, M. A., Carro, V., Rocha, B., Bayona Solano, J. E., y Ciolino, A. E. (2025, julio-septiembre). Pigmentos vegetales: análisis cualitativo y cuantitativo de propiedades fisicoquímicas empleando Brassica oleracea y dispositivos de telefonía móvil. Educación Química, 36(3). https://doi.org/10.22201/fq.18708404e.2025.3.89394


[a] Departamento de Ingeniería Química, Universidad Nacional del Sur, Bahía Blanca, Argentina.