Gerardo Omar Hernández Segura[a], José Ramsés Vargas Ramírez[a], María de los Ángeles Olvera Treviño[b], Ricardo Manuel Antonio Estrada Ramírez[a], Juan Enrique Romero Hernández[c] y Aline Villarreal[a]
Resumen
Se propone un experimento para estudiantes de licenciatura en química, basado en la reacción del producto de solubilidad del hidróxido de calcio, Ca(OH)₂, en medio acuoso:
Ca(OH)2 (s) ⇌ Ca2+ (ac) + 2 OH‒ (ac)
Se determinó experimentalmente la constante de equilibrio aparente (Kps) como función de la temperatura a fuerza iónica constante. Dado que la disolución es no ideal por la alta concentración de soluto, se empleó el modelo de Debye-Hückel extendido para obtener los coeficientes de actividad de los iones y calcular la constante de equilibrio termodinámica para cada temperatura. Posteriormente, se ajustó la ecuación de van’t Hoff al conjunto de datos para determinar Δhr0 y Δsr0, así como ΔGr0 a 298,15 K, evaluando sus incertidumbres y comparando los resultados experimentales con valores reportados en la literatura. Este experimento permite a los estudiantes comprender conceptos fundamentales de equilibrio químico, termodinámica y comportamiento de electrolitos, integrando teoría y práctica en un protocolo didáctico que refuerza habilidades analíticas y experimentales en química física.
Palabras clave:
Ca(OH)₂, solubilidad, equilibrio químico, termodinámica, coeficiente de actividad.
Experimental Determination of the Thermodynamic Properties of the Solubility Product Reaction of Calcium Hydroxide in Aqueous Solution
Abstract
An experiment is proposed for undergraduate chemistry students, based on the solubility product reaction of calcium hydroxide, Ca(OH)₂, in aqueous solution:
Ca(OH)2 (s) ⇌ Ca2+ (ac) + 2 OH‒ (ac)
The apparent equilibrium constant (Ksp) was experimentally determined as a function of temperature at constant ionic strength. Since the solution is non-ideal due to the high solute concentration, the extended Debye-Hückel model was used to obtain the ion activity coefficients and calculate the thermodynamic equilibrium constant for each temperature. Subsequently, the van’t Hoff equation was fitted to the dataset to determine Δhr0 and Δsr0, as well as Δgr0 at 298.15 K, evaluating the associated uncertainties and comparing the experimental results with values reported in the literature. This experiment enables students to understand fundamental concepts of chemical equilibrium, thermodynamics, and electrolyte behavior, integrating theory and practice in a didactic protocol that reinforces analytical and experimental skills in physical chemistry.
Keywords:
Ca(OH)₂, solubility, chemical equilibrium, thermodynamics, activity coefficient.
El hidróxido de calcio, Ca(OH)₂, es una sustancia con aplicaciones en diferentes industrias, tales como la construcción, donde se utiliza como agente aglutinante para proporcionar mayor resistencia al concreto (Mehta, P. K., et al., 2014); para ajustar el pH y eliminar impurezas como metales pesados en el agua potable (Spellman, F. R., et al., 2012); como fungicida (Agrios, G. N., 2005); como agente neutralizador de suelos ácidos y para mejorar la disposición de nutrientes provenientes del suelo en la industria agrícola (Brady, N. C., et al., 2016); en la industria alimentaria para el proceso de nixtamalización, que permite la remoción de la cáscara del maíz y aumenta la disponibilidad de nutrientes (Bresani, R., et al., 1958), y como regulador de pH en bebidas y productos lácteos (Fellows, J. P., 2016); así como en el control ambiental, como reductor de gases contaminantes como el SO₂ (Cooper, S. D., et al., 2010), entre otras aplicaciones.
Aunque la determinación de las propiedades termodinámicas de las disoluciones de electrolitos (Menéndez, M. I., et al., 2014; Willey, J. D., 2004), y en particular de Ca(OH)₂ en agua (Euler, W. B., et al., 2000), ha sido objeto de propuestas didácticas anteriormente, en este trabajo proponemos un experimento que muestra el efecto de la temperatura en la solubilidad mediante un protocolo experimental sencillo. A diferencia de trabajos previos, nuestra propuesta incorpora la determinación de coeficientes de actividad y el cálculo riguroso del error e incertidumbre de las mediciones, con el fin de ofrecer resultados más confiables a quienes utilicen nuestro protocolo.
Al decir que una sustancia se disuelve, hablamos de varios procesos que ocurren de manera simultánea. En el caso de los electrolitos, al estar compuestos por iones, es necesario que los iones que constituyen la sustancia se separen, a la vez que los enlaces intermoleculares del disolvente se rompen. Posteriormente, se establecen interacciones en las que los iones individuales quedan rodeados de moléculas de disolvente, fenómeno conocido como solvatación (Levine, I. N., 2008, pp. 284-285).
La reacción del producto de solubilidad del Ca(OH)₂ se muestra en la siguiente tabla, considerando una disolución en la que existen iones Ca²⁺ y OH⁻, sin considerar la formación del par iónico, en términos de la solubilidad molar (en mol·L⁻¹):
Tabla 1. Variación de especies en la reacción del producto de solubilidad del Ca(OH)2.
|
Reacción: |
Ca(OH)2 (s) ⇌ Ca2+ (ac) + 2 OH‒ (ac) |
||
|
inicio: |
m0 |
0 |
0 |
|
equilibrio: |
m |
s |
2s |
donde m0 es la masa inicial y m es la masa precipitada después de la reacción del producto de solubilidad del Ca(OH)₂ al equilibrio. De acuerdo con la ley de acción de masas, la constante de equilibrio del producto de solubilidad aparente para esta reacción se puede expresar como (Chang, R., et al., 2009):
|
Kps = [Ca2+][OH-]2 |
Ec. (1) |
cuyo valor informado en la literatura (Speight, J. G., 2005) a 298.15 K es Kps = 5.5 x 10-6 (pKps = 5.26). Los valores anteriores consideran que la fuerza iónica (I) es constante. La fuerza iónica, que cuantifica la desviación de la idealidad en una solución, se define como un medio del producto de las concentraciones de iones por el cuadrado de sus cargas (Levine, I. N., 2008, p. 290), el cual se calcula mediante la siguiente ecuación:
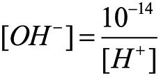
Por otro lado, la constante del producto iónico del agua a 298.15 K es (Brown, T. L., et al., 2009):
|
Kw = [H+][OH-] = 10-14 |
Ec. (2) |
en donde:
|
|
Ec. (3) |
De acuerdo con la definición de pH:
|
pH = −log[H+] |
Ec. (4) |
Por lo tanto:
|
[H+] = 10−pH |
Ec. (5) |
Sustituyendo (5) en (3) se obtiene:
|
|
Ec. (6) |
De acuerdo con la tabla de variación de especies (Tabla 1), las concentraciones al equilibrio son:
|
[OH-] = 2s |
Ec. (7) |
|
[Ca2+] = s |
Ec. (8) |
Despejando s de las Eq. (7) y (8) e igualándolas se tiene:
|
|
Ec. (9) |
Por lo tanto, al sustituir la ecuación (9) en la ecuación (1), se obtiene que:
|
|
Ec. (10) |
No obstante, de acuerdo con la ecuación (6), [OH-] = 10pH-14 y al sustituir en la ecuación (10):
|
|
Ec. (11) |
La ecuación (11), permite calcular la constante de equilibrio aparente del producto de solubilidad Kps de esta sal en términos del pH medido experimentalmente como función de la temperatura, a fuerza iónica I constante y presión P constante.
Este experimento se realizó empleando una disolución acuosa sobresaturada de Ca(OH)2, lo que ocasiona una alta concentración de iones Ca2+ y OH-, de modo que la disolución tendrá un comportamiento no ideal. Por lo tanto, es necesario calcular la constante de equilibrio químico termodinámica K, en términos de las actividades de los iones (ai), es decir (Medeiros, M., 2017):
|
K = Πiaiνi |
Ec. (12) |
Las actividades de cada especie química i se pueden expresar como:
|
ai = γi[i] |
Ec. (13) |
Por lo tanto, la constante de equilibrio para el sistema en estudio es:
|
K = [Ca2+] γCa2+[OH-]2γ2OH- |
Ec. (14) |
Al sustituir la ecuación (1) en la (14), se genera la siguiente ecuación:
|
K = KpsγCa2+ · γ2OH- |
Ec. (15) |
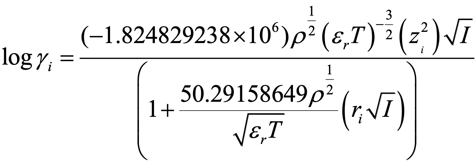
Los coeficientes de actividad γi de los iones, se pueden calcular como función de la temperatura a través de la ecuación extendida de Debye-Hückel, la cual es (Gagliardi, L. G. et al., 2007; Clark, D. M. et al., 1986):
|
|
Ec. (16) |
En donde T es la temperatura absoluta (K), ρ es la densidad de la disolución (g·cm-3), zi es la carga de los iones, ri es el radio iónico de solvatación de los iones (Å), I es la fuerza iónica de todos los iones presentes en la disolución (mol·L-1) y εr es la permeabilidad eléctrica relativa del medio acuoso. La ecuación (16) es válida para valores de fuerza iónica moderada, es decir I ≤ 0.1 mol·L-1 (Clark, D. M. et al., 1986; Aranguri-Llerena G. et al., 2024).
Donde Ci es la concentración molar de cada ion (en mol·L-1) y zi es la carga de los iones. La densidad de la disolución saturada se determinó utilizando un picnómetro, obteniéndose un valor de ρ=(0.9996±0.0002) g·cm-3, mientras que la permitividad eléctrica relativa del medio acuoso como función de la temperatura, se calculó para cada temperatura con la ecuación (Catenaccio, A. et al., 2003):
|
εr (T) = 5321T−1 + 233.76 − 0.9297T + 0.1417 × 10−2T−2 − 0.8292 × 10−6T3 |
Ec. (17) |
Por su parte, los radios iónicos de solvatación del Ca2+ y OH− fueron tomados de (Kielland, J., 1937; Harvey, D., 2023; Aranguri-Llerena G. et al., 2024), los cuales son: rCa2+ = 6.0 Å y rOH- = 3.5 Å.
La constante de equilibrio es sólo función de la temperatura, considerando que la ecuación que relaciona la energía de Gibbs de reacción (Δgr0) con la constante de equilibrio termodinámica K, es (Atkins, et al., 2010; Chang, R., 2008):
|
Δgr0 = RT In K |
Ec. (18) |
Al diferenciar la ecuación anterior con respecto a la temperatura se obtiene:
|
Ec. (19) |
Considerando que Δgr0 es la suma de los potenciales químicos de la sustancia pura (μi0) multiplicados por su coeficiente estequiométrico (νi), Δgr0 = Σiνi μi0, y que en donde si0 es la entropía molar de la sustancia pura,
se convierte en −Δsr0 (entropía de reacción) y como Δgr0 = Δgr0 − TΔsr0, al final se obtiene:
|
|
Ec. (20) |
Conocida como la ecuación de van’t Hoff.
Integrando la Eq. 20 entre T1 y T2, y considerando que la entalpía y la entropía de reacción Δhr0 y Δsr0 son independientes de la temperatura, se obtiene:
|
|
Ec. (21) |
Rearreglando la ecuación anterior, recordando que −RT In K = Δhr0 − TΔs, la Eq. 23 se convierte en:
|
|
Ec. (22) |
Para los lectores interesados la obtención de la Eq. 22 se puede consultar en I. N. Levine (2008).
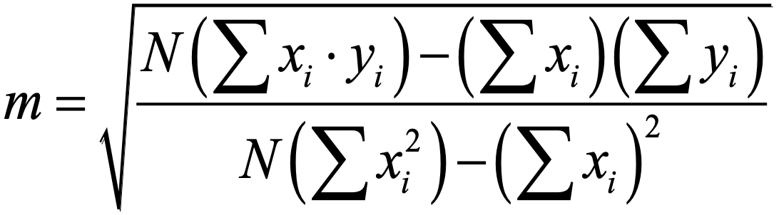
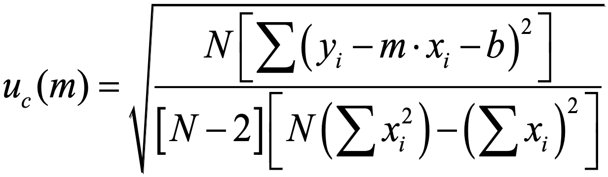
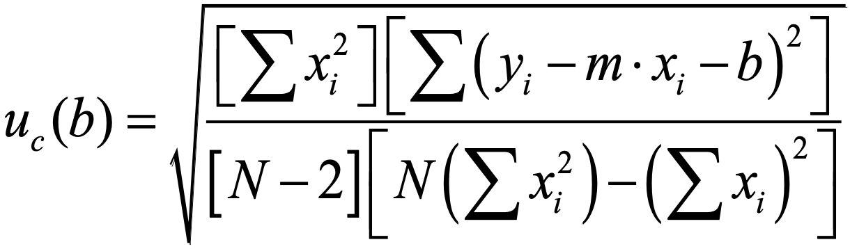
Con ayuda de la Eq. 22 es posible realizar un ajuste lineal aplicado al conjunto de los N pares de datos experimentales (xi, yi) de ln K vs 1/T, a través el método de los cuadrados mínimos (Miller, J. N. et al., 2005; GUM JCGM 100, 2008; VIM JCGM 200, 2012). Las ordenadas yi corresponden a ln K, en tanto que las abscisas xi a , de tal manera que la pendiente m será −Δhr0/R, mientras que la ordenada al origen b, será igual a Δsr0/R. Estos valores pueden calcularse respectivamente como (Miller, J. N. et al., 2005; Williams A., 1995):
|
|
Ec. (23) |
|
|
Ec. (24) |
Por lo tanto, Δhr0 = −mR, mientras que Δsr0 = bR, considerando el valor de la Constante Universal de los gases como R = 8.31462618 J·mol-1·K-1 (NIST, 2024).
Asimismo, se puede evaluar la precisión de las mediciones, estimando las incertidumbres de la pendiente m y la ordenada al origen b, junto con el coeficiente de correlación r, respectivamente, de tal manera que se puedan determinar los valores de las incertidumbres para Δhr0 y Δsr0 a 298.15 K, para un conjunto de N = 18 pares de datos xi, yi (Miller, J. N. et al., 2005; GUM JCGM 100, 2008; VIM JCGM 200, 2012; Williams A. et al., 1995):
|
|
Ec. (25) |
|
|
Ec. (26) |
|
|
Ec. (27) |
Para evaluar la calidad de las mediciones realizadas en este trabajo, se determinó la exactitud, calculando el % error, comparando el valor teórico yteo (Chang, 2008) y el valor experimental obtenido yexp de las propiedades termodinámicas Δhr0 y Δsr0, empleando la siguiente ecuación (GUM, 2008; VIM, 2012; Williams A., 1995):
|
|
Ec. (28) |
Finalmente, se calcula la incertidumbre expandida Up(y) de las propiedades termodinámicas Δhr0 (en J·mol-1), así como Δsr0 (en J·mol-1·K-1), con un factor de cobertura kp = 2, a un nivel de confianza p = 95.45%, empleando la ecuación (GUM JCGM 100, 2008; VIM JCGM 200, 2012):
|
Up(y) = Kpμc(y) |
Ec. (29) |
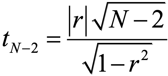
Para validar metrológicamente los resultados obtenidos, se realizaron dos pruebas de hipótesis. La primera de ellas fue de linealidad para la gráfica de ln K vs 1/T, con base en una hipótesis nula H0: r = 0, comparando el parámetro t de Student obtenido con ν = N − 2 grados de libertad para N = 18 pares de datos (xi, yi), con un nivel de confianza p al 95.45%, leído de las tablas y comparándolo con el calculado a través de la ecuación (Miller, J. N. et al., 2005; GUM JCGM 100, 2008; VIM JCGM 200, 2012):
|
|
Ec. (30) |
Donde: ν = N − 2 grados de libertad, N es el número de pares de datos (N = 18), H0: r = 0.
Si tcalculada > ttablas, se rechaza la hipótesis nula.
La segunda prueba consistió en la comparación de las medias, con el fin de realizar un comparativo de los valores experimentales () junto con los valores teóricos (μ), obtenido con ν = n −1 grados de libertad a un nivel de confianza p al 95.45%, y con n = 3 repeticiones, utilizando la siguiente ecuación (Miller, J. N. et al., 2005; GUM JCGM 100, 2008; JCGM 200, 2012):
|
|
Ec. (31) |
Donde: ν = n−1 grados de libertad, n es el número de repeticiones (n = 3), s es la desviación estándar de las repeticiones, μ es el valor teórico de los mensurandos Δhr0, Δsr0 y Δgr0, es el valor promedio de todas las repeticiones y H0 = μ. Si tcalculada < ttablas se acepta H0.
Este experimento puede resultar muy valioso, ya que permite abordar en el laboratorio múltiples conceptos relacionados con el equilibrio químico y el cambio en las propiedades fisicoquímicas de las disoluciones (Berrio, A. T., 2009).
Los materiales y equipos necesarios se muestran en la Figura 1 y en la Tabla 2.
Figura 1. Equipos, material y reactivos para la medición de la reacción del producto de solubilidad del Ca(OH)2.
Tabla 2. Material, equipo y reactivos necesarios para el experimento.
|
Reactivos: |
Equipo: |
|
Hidróxido de calcio FAGA (98.5%). |
1 balanza analítica ± 0.001 g. |
|
Agua desionizada INFRAmédica (0 μS/cm). |
1 medidor de pH ± 0.01. |
|
Disolución amortiguadora de fosfatos a un pH = 6.90. |
1 controlador de temperatura sumergible ± 0.1°C. |
|
Disolución amortiguadora de fosfatos a un pH = 9.18. |
1 termómetro digital ± 0.1°C. |
|
Material: |
|
|
1 espátula. |
1 vaso de precipitados de 100 mL. |
|
1 nave de vidrio para pesar. |
2 vasos de precipitados de 250 mL. |
|
1 soporte universal. |
1 picnómetro de 25 mL. |
|
2 pinzas de tres dedos con nuez. |
1 jeringa desechable de 10 mL. |
|
1 probeta de vidrio de 100 mL. |
1 rollo de servitoallas. |
|
1 piseta con agua desionizada. |
1 vaso de precipitados de 100 mL. |
El procedimiento experimental es el siguiente: se mide una masa de 0.189 g de Ca(OH)2 en la balanza analítica, esta masa se coloca dentro de un vaso de precipitados de 100 mL y se le agregan 20 mL de agua desionizada.
Se monta un baño de agua y empleando el controlador de temperatura sumergible se alcanza una temperatura inicial de 30°C. Al alcanzar la temperatura deseada, se sumerge en este la disolución sobresaturada de Ca(OH)2.
Una vez que la disolución haya alcanzado el equilibrio térmico, se introduce la sonda del medidor de pH previamente calibrado. El pH se debe medir en intervalos de 5°C, comenzando en 30 °C y disminuyendo la temperatura añadiendo hielo en escarcha, hasta una temperatura final de 5°C. El experimento se repite 3 veces siguiendo la misma metodología, de acuerdo con lo informado en la Guía Eurachem Citac (Williams, A. et al., 1995). A manera de ejemplo, se observa en la Figura 2 la medición del pH de la disolución sobresaturada de Ca(OH)2 a la temperatura de 25.0°C, el cual es muy cercano al informado por R. G. Bates (1956).
Terminadas las mediciones anteriores, se lleva el sistema a la temperatura ambiente y se determina su densidad. Este procedimiento se repite 3 veces, obteniendo el valor promedio de la densidad y su desviación estándar correspondiente.
Figura 2. Montaje experimental del estudio de la reacción del producto de solubilidad del Ca(OH)2.
Los datos experimentales de las mediciones del pH como función de la temperatura obtenidos con n = 3 repeticiones de la reacción del producto de solubilidad del Ca(OH)2 en disolución acuosa, se muestran en la Tabla 3.
Tabla 3. Datos experimentales de las mediciones del pH como función de la temperatura para n = 3 repeticiones de la reacción del producto de solubilidad del Ca(OH)2 en medio acuoso.
|
Primera repetición: |
Segunda repetición: |
Tercera repetición: |
|||
|
T / (°C) |
pH |
T / (°C) |
pH |
T / (°C) |
pH |
|
30.1 |
12.40 |
30.0 |
12.40 |
30.0 |
12.41 |
|
25.0 |
12.41 |
25.0 |
12.42 |
25.0 |
12.42 |
|
20.0 |
12.44 |
20.1 |
12.44 |
20.1 |
12.44 |
|
15.1 |
12.46 |
15.0 |
12.47 |
15.0 |
12.46 |
|
10.0 |
12.49 |
9.9 |
12.48 |
10.0 |
12.48 |
|
5.0 |
12.50 |
5.0 |
12.50 |
4.9 |
12.51 |
En la Tabla 3, se observa que, al disminuir la temperatura, el pH aumenta, lo que implica que las concentraciones molares de los iones OH− y Ca2+ presentes en la disolución acuosa sobresaturada también aumentan, siguiendo una tendencia creciente.
A partir de estos valores de pH obtenidos como función de la temperatura, se calcularon los de la constante de equilibrio del producto de solubilidad aparente Kps, empleando la ecuación (13).
En la Tabla 4, se muestran los datos, medidos y calculados, para cada temperatura T / (K), de la primera repetición realizada a manera de ejemplo; mientras que en la Figura 3, se presenta la gráfica de ln K vs 1/T / (K-1) de las n = 3 repeticiones realizadas, con N = 18 pares de datos, incluyendo la ecuación de la recta ajustada a la ecuación de van’t Hoff (véase ecuación (25)), a partir de la regresión lineal mediante el método de los cuadrados mínimos, obteniendo su pendiente m, su ordenada al origen b y su coeficiente de correlación r, a partir de las ecuaciones (26), (27) y (30). Las incertidumbres de la pendiente uc(m) y de la ordenada al origen uc(b) fueron calculadas con las ecuaciones (28) y (29), respectivamente, las cuales corresponden con sus desviaciones estándar (Williams, A. et al., 1995).
Tabla 4. Datos de propiedades termodinámicas de la disolución sobresaturada, constante de equilibrio aparente Kps y constante de equilibrio termodinámica K como función de la temperatura para la primera repetición de la reacción del producto de solubilidad del Ca(OH)2 en medio acuoso.
|
T/(K) |
pH |
[OH‒]/(M) |
[Ca2+]/(M) |
Kps |
I/(M) |
γOH‒ |
γ Ca2+ |
K |
|
303.25 |
12.40 |
0.0251 |
0.0126 |
7.92 x 10-6 |
0.0377 |
0.8284 |
0.5137 |
2.18 x 10-6 |
|
298.15 |
12.41 |
0.0257 |
0.0129 |
8.49 x 10-6 |
0.0386 |
0.8284 |
0.5141 |
2.33 x 10-6 |
|
293.15 |
12.44 |
0.0275 |
0.0138 |
1.04 x 10-5 |
0.0413 |
0.8254 |
0.5086 |
2.78 x 10-6 |
|
288.25 |
12.46 |
0.0288 |
0.0144 |
1.20 x 10-5 |
0.0433 |
0.8238 |
0.5057 |
3.14 x 10-6 |
|
283.15 |
12.49 |
0.0309 |
0.0155 |
1.48 x 10-5 |
0.0464 |
0.8207 |
0.5001 |
3.75 x 10-6 |
|
278.15 |
12.50 |
0.0316 |
0.0158 |
1.58 x 10-5 |
0.0474 |
0.8204 |
0.4999 |
4.00 x 10-6 |
Para calcular Δhr0 y Δsr0, el conjunto de los N = 18 pares de datos experimentales de ln K vs 1/T, fueron ajustados a la ecuación de van’t Hoff mediante la regresión lineal, empleando el método de los cuadrados mínimos (Miller et al., 2005) (véase la Figura 3). Con los valores reportados en la Tabla 4, al realizar el cambio de variable correspondiente, y empleando las ecuaciones (26) y (28), se obtuvo una pendiente m = (2234.3 ± 70.4) K, mientras que utilizando las ecuaciones (27) y (29), el valor de la ordenada al origen es b = (−20.2 ± 0.2), con un coeficiente de correlación r = 0.9921 obtenido con la ecuación (30) (véase Figura 3).
Figura 3. Gráfica de ln K vs 1/T / (K-1) para el conjunto de N = 18 pares de datos con n = 3 repeticiones. Se muestra la ecuación de la recta ajustada a dichos datos a través de la regresión lineal, empleando el método de los cuadrados mínimos.
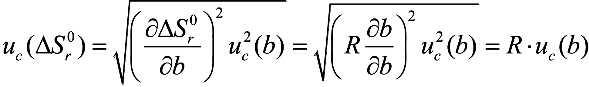
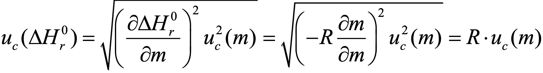
A partir de la pendiente, Δhr0 = −mR, se calcula su incertidumbre empleando la ley de propagación de incertidumbres, es decir (GUM JCGM 100, 2008; VIM JCGM 200, 2012):
|
|
Ec. (32) |
de donde se obtuvo que Δhr0 = (−18575.7 ± 585.4) J·mol-1. Por otra parte, a partir de la ordenada al origen, Δsr0 = bR, su incertidumbre se calcula empleando la ley de propagación de incertidumbres, esto es (GUM JCGM 100, 2008; VIM JCGM 200, 2012):
|
|
Ec. (33) |
de donde se determinó que Δsr0 = (−167.5 ± 2.0) J·mol-1·K-1.
La incertidumbre expandida Up(y) se calcula a partir de las incertidumbres combinadas uc(y), utilizando la ecuación (32), empleando un factor de cobertura de kp = 2, con un nivel de confianza p = 95.45 %.
Los valores calculados de las propiedades termodinámicas son:
Δhr0 = (−18575.7 ± 1170.9) J·mol-1 y Δsr0 = (−167.5 ± 4.0) J·mol-1·K-1.
Se observa que Δhr0 < 0, lo que indica que este proceso es exotérmico ya que al formarse la interacción ion-dipolo permanente entre los iones Ca2+ y OH− y el disolvente (H2O) se libera calor hacia los alrededores, mientras que Δsr0 < 0, lo que indica que existe una disminución de entropía en la reacción, ya que el número de microestados decrece, debido al reacomodo que experimentan las moléculas de agua al solvatar a los iones Ca2+ y OH− presentes en la disolución, formando la interacción ion-dipolo permanente establecida entre ellos y el disolvente (H2O). Esto quiere decir que este proceso químico es termodinámicamente favorable entálpicamente, desfavorable entrópicamente, y favorable a bajas temperaturas (Chang, R., 2008).
Los valores experimentales de Δhr0 y Δsr0 fueron comparados con los informados en la referencia de Speight, J. G. (2005), a partir de las entalpías y entropías de formación a 1 bar y 298.15 K, los cuáles se calcularon con las siguientes ecuaciones (Chang, R., 2008):
|
Δhr0 = ΣiνiΔhƒ0,iproductos − ΣiνiΔhƒ0,ireactivos |
Ec. (34) |
|
Δsr0 = Σiνisi0,iproductos − Σiνisi0,ireactivos |
Ec. (35) |
Los errores obtenidos son del 4.1% para Δhr0 y 3.8% para Δsr0, lo que indica que la metodología experimental permite obtener resultados satisfactorios (véase Tabla 5).
Por otro lado, se calculó el valor de Δgr0 a la temperatura T = 298.15 K, a partir de los valores de Δhr0 = (−18575.7 ± 1170.9) J·mol-1 y Δsr0 = (−167.5 ± 4.0) J·mol-1·K-1. A través de la ley de propagación de incertidumbres (GUM JCGM 100, 2008; VIM JCGM 200, 2012), y considerando la resolución del termómetro digital (± 0.1°C) con un factor de cobertura kp = 2 con un nivel de confianza p = 95.45 %, es decir, Up(T) = kp·uc(T) = ± 0.2°C (± 0.2 K) para la temperatura, se estimó la incertidumbre de Δgr0, basándose en la ecuación (25), es decir: Δgr0 = Δhr0 −TΔsr0. Por lo tanto:
|
|
Ec. (36) |
De donde los coeficientes de sensibilidad son:
|
|
Ec. (39) |
La incertidumbre expandida de la energía de Gibbs de la reacción Up(Δgr0) se estima empleando la ecuación (36), con un factor de cobertura kp = 2, con un nivel de confianza p = 95.45 %. En este caso, se obtuvo que Δgr0 = (31369.8 ± 3357.5) J·mol-1, lo que indica que, a presión y temperatura constantes, este proceso es no espontáneo, considerando que este equilibrio químico se encuentra desplazado hacia reactivos, puesto que a 298.15 K, la constante de equilibrio termodinámica se encuentra en el intervalo de 0 < K < 1. Esto quiere decir que la solvatación de los iones Ca2+ (ac) y OH− (ac) en medio acuoso es termodinámicamente menos favorable que la formación de Ca(OH)2 (s) como sólido precipitado. El valor teórico para Δgr0, se calculó a partir de los valores de Δhr0 y Δsr0 obtenidos a partir de las ecuaciones (37) y (38), junto con la ecuación (24), a una temperatura T = 298.15 K (véase la Tabla 5).
Tabla 5. Propiedades termodinámicas asociadas con este proceso químico a 298.15 K.
|
Propiedad: |
Valor experimental: |
Valor teórico: |
% error: |
|
Δhr0 / (kJ·mol-1) |
−18.56 ± 1.17 |
−17.83 |
4.1 |
|
Δsr0 / (J·mol-1·K-1) |
−167.5 ± 4.0 |
−161.4 |
3.8 |
|
Δgr0 / (kJ·mol-1) |
31.37 ± 3.36 |
30.29 |
3.6 |
Por último, se realizaron las pruebas de hipótesis de linealidad y de medias, tal y como se reportan en las Tablas 6 y 7 respectivamente. Para el primer caso, se rechaza H0: r = 0, debido a que la tcalculada > ttablas, lo que indicaría que los datos de ln K vs 1/T, siguen una tendencia lineal. En el segundo caso, se aprueba H0 = μ, ya que la tcalculada < ttablas, lo que indica que no hay una diferencia significativa entre los valores experimentales y teóricos de las propiedades termodinámicas Δhr0, Δsr0 y Δgr0 (véase Tabla 5).
Tabla 6. Prueba de hipótesis de linealidad.
|
H0: r = 0 |
|
|
N |
18 |
|
v = N − 2 |
16 |
|
t tablas p = 95.45% |
2.17 |
|
r |
0.9921 |
|
t calculada p = 95.45% |
31.73 |
|
t calculada > t tablas |
rechazada |
Tabla 7. Prueba de hipótesis de medias.
|
H0 = μ |
Δhr0 / (kJ·mol-1) |
Δsr0 / (J·mol-1·K-1) |
Δgr0 / (kJ·mol-1) |
|
n |
3 |
3 |
3 |
|
Valor teórico (μ): |
−17.83 |
−161.4 |
30.29 |
|
Valor experimental (): |
−18.56 |
−167.5 |
31.37 |
|
Desviación estándar (s): |
0.07 |
0.2 |
1.7 |
|
t calculada p = 95.45% |
−17.96 |
−52.83 |
1.11 |
|
t tablas p = 95.45% |
4.53 |
4.53 |
4.53 |
|
t calculada < t tablas |
aceptada |
aceptada |
aceptada |
En conjunto con el protocolo experimental propuesto y el análisis de los resultados, se propone un instrumento de evaluación basado en quince preguntas abiertas, el cual se muestra en la Tabla 8.
Tabla 8. Propuesta de evaluación de aprendizajes.
|
Concepto: |
Equilibrio químico: |
|
Preguntas modelo |
¿Cuál es el sistema que se estudia? ¿Cuáles son sus componentes y fases presentes? ¿Cuál es la ecuación estequiométrica que describe el proceso que se está estudiando? |
|
Aprendizaje esperado |
El estudiante puede relacionar el proceso del producto de solubilidad de Ca(OH)2 con la ecuación estequiométrica. Es capaz de identificar a los reactivos y productos dentro de esta ecuación para representar dicho proceso químico. Puede indicar el significado de la doble flecha dentro de la ecuación estequiométrica. |
|
Concepto: |
Constante de equilibrio: |
|
Preguntas modelo |
¿Cuál es la expresión general de la constante de equilibrio? Escribe la expresión de la constante de equilibrio aparente del producto de solubilidad para el sistema que se está estudiando, en términos de las concentraciones de los iones. Escribe la expresión de la constante de equilibrio termodinámica del proceso químico en estudio, en términos de las actividades de los iones. ¿Qué es la actividad de los iones? ¿Qué relación tiene la constante de equilibrio termodinámica con Δgr0? ¿Qué relación tiene la constante de equilibrio termodinámica con Δhr0 y Δsr0? ¿Qué sucede con la energía de Gibbs cuando cambia la temperatura? ¿Qué consecuencias tiene la variación de temperatura sobre el equilibrio químico? |
|
Aprendizaje esperado |
El estudiante es capaz de escribir la definición de la constante de equilibrio termodinámica a través de la ley de acción de masas e identificando la expresión correspondiente. Reconoce el significado físico del valor de la constante de equilibrio termodinámica en relación con las concentraciones de reactivos y productos. |
|
Concepto: |
Fuerza iónica, coeficiente de actividad y modelo de Debye-Hückel extendido |
|
Preguntas modelo |
¿Qué es el coeficiente de actividad de los iones? ¿De qué factores depende el coeficiente de actividad? ¿Qué es la fuerza iónica de una disolución? ¿En qué consiste el modelo de Debye-Hückel extendido? |
|
Aprendizaje esperado |
El estudiante comprende los conceptos de fuerza iónica, coeficientes de actividad. Es capaz de aplicar el modelo de Debye-Hückel extendido, a identificar las variables de las que depende y los límites de aplicación de dicha ecuación relacionados con el sistema en estudio. |
|
Concepto: |
Modelo lineal, método de los cuadrados mínimos, regresión lineal, incertidumbre, ley de propagación de incertidumbres |
|
Preguntas modelo |
¿Cuál es el modelo lineal y su ecuación? ¿En qué consiste el método de los cuadrados mínimos y cómo se aplica a un conjunto de datos experimentales x, y? ¿Qué es la regresión lineal y cuál es su importancia? ¿Qué es la incertidumbre, cuáles son los tipos de incertidumbre y sus ecuaciones? ¿Cuál es la ley de propagación de incertidumbres? |
|
Aprendizaje esperado |
El estudiante es capaz de describir el modelo lineal y su ecuación correspondiente. Comprende en qué consiste el método de los cuadrados mínimos, su importancia y su aplicación a datos experimentales. El estudiante entiende en qué consiste la regresión lineal y su importancia. El estudiante comprende el concepto de incertidumbre, su importancia, la clasificación de los tipos de incertidumbre, así como su estimación a través de la ley de propagación. |
El experimento propuesto resulta propicio para aquellos estudiantes universitarios que se encuentran estudiando temas relacionados con el equilibrio químico ya que pueden relacionar las mediciones experimentales del pH como función de la temperatura para una disolución no ideal (debido a la alta concentración de los iones Ca2+ y OH−); además, explicar termodinámicamente el efecto de la disminución de la temperatura en el aumento de la solubilidad del Ca(OH)2 en medio acuoso.
Uno de los temas más importantes para los estudiantes universitarios de ciencias químicas desde el punto de vista de la fisicoquímica es el estudio del equilibrio químico. En el presente trabajo, se presenta una propuesta experimental que relaciona la constante de equilibrio termodinámica del producto de solubilidad de una disolución sobresaturada de comportamiento no ideal de Ca(OH)2 en medio acuoso con los potenciales termodinámicos de la reacción, a través de las mediciones del pH como función de la temperatura y el cálculo de los coeficientes de actividad a través del modelo de Debye-Hückel.
En el intervalo de temperatura de estudio (278.15 a 303.15 K), el equilibrio químico del producto de solubilidad de esta sal inorgánica se encuentra desplazado hacia reactivos, puesto que todos los valores obtenidos experimentalmente se ubican entre 0 < K < 1. Este proceso químico tiende a ser no espontáneo, a 298.15 K y presión constante, puesto que Δgr0 > 0, con un error del 3.6 %. Dicho en otras palabras, el Ca(OH)2 será más soluble en el agua líquida a bajas temperaturas.
La gráfica de ln K vs 1/T muestra una tendencia lineal, continua, monotónica y creciente en el intervalo de 278.15 a 303.15 K, con un coeficiente de correlación de r = 0.9921, lo cual se confirma con el rechazo de la hipótesis nula H0: r = 0, en la prueba de linealidad.
Esta reacción es favorable termodinámicamente a bajas temperaturas, ya que es exotérmica (Δhr0 < 0) y presenta una disminución del número de microestados (Δsr0 < 0), lo que implica que este proceso es favorable entálpicamente y desfavorable entrópicamente.
El presente trabajo es útil para los profesores, porque proporciona certeza respecto de lo que se debe de esperar en relación con los valores de las mediciones realizadas, ya que los errores experimentales obtenidos son bajos (4.1, 3.8 y 3.6 % para Δhr0, Δsr0 y Δgr0, respectivamente), lo cual se confirma con la aceptación de la prueba de hipótesis de medias de los potenciales termodinámicos: H0 = μ.
Agrios, G. N. (2005). Plant pathology (5th ed.). Elsevier.
Aranguri-Llerena, G., y Huarcaya-Mendoza, N. J. (2024). Validación de la ecuación de Nernst y una ecuación que estima la masa de hidróxido de calcio para un determinado pH. Educación Química, 35(2), 89–99. https://doi.org/10.22201/fq.18708404e.2024.2.86430
Atkins, P., y de Paula, J. (2010). Physical chemistry (9th ed., pp. 213, 220). H. Freeman and Company.
Bates, R. G., Bower, V. E., y Smith, E. R. (1956). Calcium hydroxide as a highly alkaline pH standard. Journal of Research of the National Bureau of Standards, 56(6), 305–312. https://nvlpubs.nist.gov/nistpubs/jres/56/jresv56n6p305_A1b.pdf
Berrio, A. T. (2009). La experimentación dirigida como método eficaz de la investigación y del aprendizaje significativo [Proyecto aplicado, Universidad Nacional Abierta y a Distancia UNAD]. Repositorio Institucional UNAD.
Brady, N. C., y Weil, R. R. (2016). The nature and properties of soils (15th ed.). Pearson.
Brown, T. L., LeMay, H. E., Jr., y Murphy, C. J. (2009). Química: La ciencia central (13th ed., pp. 674–678). Pearson Educación.
Catenaccio, A., Daruich, Y., y Magallanes, C. (2003). Temperature dependence of permittivity of water. Chemical Physics Letters, 367, 669–671. https://doi.org/10.1016/S0009-2614(02)01735-9
Clark, D. M., Zemaitis, J. F., Jr., Rafal, M., y Scrivner, N. C. (1986). Handbook of aqueous electrolyte thermodynamics: Theory & applications (pp. 55–59). Wiley-Interscience.
Chang, R. (2008). Fisicoquímica (3rd ed., pp. 271–272). McGraw Hill.
Chang, R., y Goldsby, K. A. (2009). Química (12th ed., pp. 745–753). McGraw Hill.
Cooper, C. D., y Alley, F. C. (2010). Air pollution control: A design approach (4th ed.). Waveland Press.
Joint Committee for Guides in Metrology. (2008). Evaluation of measurement data—Guide to the expression of uncertainty in measurement (GUM) (JCGM 100:2008, pp. 2–12, 23–27, 34–36, 47, 70–78). Bureau des Poids et Mesures.
Euler, W. B., Kirschenbaum, L. J., y Ruekberg, B. (2000). Determination of Ksp, ΔG°, ΔH°, and ΔS° for the dissolution of calcium hydroxide in water. Journal of Chemical Education, 77(8), 1039–1040. https://doi.org/10.1021/ed077p1039
Fellows, P. J. (2016). Food processing technology: Principles and practice (4th ed.). Woodhead Publishing.
Gagliardi, L. G., Castells, C. B., Ràfols, C., Rosés, M., y Bosch, E. (2007). Static dielectric constants of acetonitrile/water mixtures at different temperatures and Debye–Hückel A and a₀B parameters for activity coefficients. Journal of Chemical & Engineering Data, 52, 1103–1107. https://doi.org/10.1021/je700055p
Harvey, D. (2023). Coeficientes de actividad. LibreTexts. Consultado en diciembre de 2024, de https://espanol.libretexts.org/Quimica/Qu%C3%ADmica_Anal%C3%ADtica/An%C3%A1lisis_Instrumental_(LibreTextos)/35%3A_Apendicias/35.07%3A_Coeficientes_de_actividad
Joint Committee for Guides in Metrology. (2012). International vocabulary of metrology—Basic and general concepts and associated terms (VIM) (JCGM 200:2012, pp. 16–28).
Kielland, J. (1937). Individual activity coefficients of ions in aqueous solution. Journal of the American Chemical Society, 59(9), 1675–1678. https://doi.org/10.1021/ja01288a032
Levine, I. N., y de Paula, J. (2008). Physical chemistry (1st ed., pp. 212–215, 284–285, 290). W. H. Freeman & Co.
Medeiros, M. (2017). Equilibrio de fases y químico (1.ª ed., pp. 280–281). UNAM.
Mehta, P. K., y Monteiro, P. J. M. (2014). Concrete: Microstructure, properties, and materials (4th ed.). McGraw Hill.
Menéndez, M. I., y Borge, J. (2014). Ion association versus ion interaction models in examining electrolyte solutions: Application to calcium hydroxide solubility equilibrium. Journal of Chemical Education, 91(1), 91–95. https://doi.org/10.1021/ed4004589
Miller, J. N., y Miller, J. C. (2005). Statistics and chemometrics for analytical chemistry (5th ed., pp. 107–118). Pearson Prentice Hall.
NIST CODATA. (2024). Universal gas constant. Consultado en diciembre de 2024, de https://physics.nist.gov/cgi-bin/cuu/Value?r
Serway, R. A., y Faughn, J. S. (2003). College physics (6th ed., pp. 262–263). Thompson.
Speight, J. G. (2005). Lange’s handbook of chemistry (16th ed., pp. 1243–1251). McGraw Hill.
Spellman, F. R., y Drinan, J. (2012). The drinking water handbook (2nd ed.). CRC Press.
Williams, A., De Halleux, B., Diamondstone, B., y Ellison, S. (1995). Cuantificación de la incertidumbre en mediciones analíticas (pp. 18–21, 77, 82–84). Eurachem Citac.
Recepción: 2025-01-16. Aceptación: 2025-04-24.
Cómo citar:
Hernández Segura, G. O., Vargas Ramírez, J. R., Olvera Treviño, M. de los Á., Estrada Ramírez, R. M. A., Romero Hernández, J. E., y Villarreal, A. (2025, octubre-diciembre). Determinación experimental de las propiedades termodinámicas de la reacción del producto de solubilidad del hidróxido de calcio en medio acuoso. Educación Química, 36(4). https://doi.org/10.22201/fq.18708404e.2025.4.90708.
[a] Departamento de Fisicoquímica, Facultad de Química, Universidad Nacional Autónoma de México, México.
[b] Departamento de Física y Química Teórica, Facultad de Química, Nacional Autónoma de México, México.
[c] Departamento de Matemáticas, Facultad de Química, Universidad Nacional Autónoma de México, México.