Agua, química y formación de estudiantes: ejercicios y actividades para la concientización ambiental

Alicia Rojas López[a] y Miguel Reina1[a]


Resumen

El agua es un recurso esencial para la vida y desempeña un papel fundamental en la química y los procesos ambientales. No obstante, su disponibilidad y calidad se ven afectadas por el cambio climático, la contaminación y el uso desmedido. Este trabajo tiene como objetivo desarrollar un compendio de ejercicios conceptuales y numéricos que vinculen la química con la hidrósfera y su impacto ambiental, a fin de promover la sensibilización y la comprensión de conceptos y procesos entre estudiantes y profesores de la Facultad de Química de la UNAM. Se aplicó una encuesta a 100 estudiantes y 40 profesores para evaluar sus conocimientos sobre el agua y el medio ambiente. Los resultados evidenciaron un desconocimiento generalizado de temas básicos, como la Agenda 2030 y los métodos de purificación del agua. Con base en estos hallazgos, se diseñaron 40 ejercicios que abordan el ciclo del agua, la contaminación hídrica y la relevancia del plancton en los ecosistemas acuáticos. Los ejercicios incluyen problemas numéricos aplicados a situaciones reales, como el cálculo de la demanda biológica de oxígeno en cuerpos de agua contaminados. El trabajo subraya la importancia de la educación ambiental en la formación de estudiantes de química y propone la implementación de los ejercicios en la aplicación móvil gratuita GALIO, de carácter extracurricular, para fomentar una actitud responsable hacia el medio ambiente.

Palabras clave:

agua, química ambiental, educación ambiental, hidrósfera, contaminación hídrica.


Water, Chemistry, and Student Education: Exercises and Activities for Environmental Awareness

Abstract

Water is an essential resource for life and plays a fundamental role in chemistry and environmental processes. Nevertheless, its availability and quality are affected by climate change, pollution, and overuse. This study aims to develop a compendium of conceptual and numerical exercises that link chemistry with the hydrosphere and its environmental impact, in order to promote awareness and understanding of concepts and processes among students and faculty at the Facultad de Química of UNAM. A survey was administered to 100 students and 40 faculty members to assess their knowledge of water and the environment. The results revealed a generalized lack of knowledge of basic topics, such as the 2030 Agenda and water purification methods. Based on these findings, 40 exercises were designed addressing the water cycle, water pollution, and the relevance of plankton in aquatic ecosystems. The exercises include numerical problems applied to real-world situations, such as calculating biochemical oxygen demand in contaminated bodies of water. This work underscores the importance of environmental education in the training of chemistry students and proposes the implementation of these exercises in the free extracurricular mobile application GALIO to foster a responsible attitude toward the environment.

Keywords:

water, environmental chemistry, environmental education, hydrosphere, water pollution.




Introducción

El agua es un recurso básico para la vida y desempeña un papel decisivo en la química y en los procesos ambientales. Sin embargo, su disponibilidad y calidad se ven afectadas por el cambio climático, la contaminación y el uso desmedido. El crecimiento de la población humana y la demanda de productos y servicios han generado una sobreexplotación de los recursos naturales (Manahan, 2017), lo que ha generado un aumento significativo en la contaminación del medio ambiente, un ejemplo claro en el agua es la contaminación plástica (Seribeli, F. L., y dos Santos A. K., 2025). La contaminación está vinculada al cambio climático, provocada principalmente por la acumulación de Gases de Efecto Invernadero en la atmósfera (Zhan et al, 2023). Estos gases son principalmente el dióxido de carbono, que aunque generado de forma natural, en exceso y proveniente de fuentes antropogénicas es dañino, el metano, el óxido nitroso y los gases fluorados, principalmente (Crippa et al, 2024). En este contexto, el agua cubre el 70 % de la superficie de la Tierra y es el principal medio afectado por estos cambios (Shiklomanov, 1993). En México, la situación no es menos preocupante. Según informes de la SEMARNAT, el 44.9 % de los suelos se encontraba en algún proceso de degradación en 2002, y entre 2007 y 2011 se perdieron 214 mil hectáreas de vegetación por año (SEMARNAT, 2015). Además, el 46.5 % de la población vivía en condiciones de pobreza en 2014, lo que agrava los problemas de acceso al agua y saneamiento (Comisión Nacional de Evaluaciones de la Política y Desarrollo Social, 2015).

Ante este panorama, la educación ambiental debe convertirse en una herramienta esencial para fomentar la conciencia sobre la importancia del agua y su manejo sostenible (PNUMA & UNESCO, 1975). En 1993 la reforma educativa en México planteó una educación básica obligatoria en el eje ciencias, tecnología y sociedad (García Franco, A. et al, 2024). Este artículo presenta una serie de ejercicios y actividades diseñados a partir de una encuesta realizada al seno de la comunidad académica de la Facultad de Química (estudiantes y profesores), con el objetivo de apoyar materias como Ciencia y Sociedad, Química Ambiental, Recursos Naturales y Equilibrio de Ecosistemas (Bernal, R. J., et al, 2024). Los resultados de las encuestas revelaron un desconocimiento generalizado sobre temas básicos relacionados con el agua y el medio ambiente. Es especialmente preocupante los resultados relativos a los conocimientos fisicoquímicos del agua pues pertenecen al ámbito de estudio de cualquiera de las 6 carreras que se ofrecen en la facultad. Después de analizar los resultados, se generó un compendio de ejercicios conceptuales y numéricos que vinculan la química con la hidrósfera y su impacto ambiental (Pino, A. L., et. al, 2024). Así, el trabajo presenta un doble objetivo: mejorar el aprovechamiento académico de los estudiantes al realizar ejercicios con la temática del agua y concientizar tanto a estudiantes como a profesores sobre la relevancia del agua en la química y su impacto en el medio ambiente. Es importante señalar que los ejercicios se encuentran contextualizados, es decir que antes de abordarlos, se brinda al lector, información general sobre la hidrósfera y el impacto que tiene en la sociedad, y en particular sobre el tópico del que trata el ejercicio (Hernández del Barco, M., et. al, 2025). Tantos los resultados de las encuestas como los ejercicios se encuentran disponibles para el público en general en la información suplementaria de este manuscrito.

Como perspectiva inmediata de este trabajo será la implementación de estos ejercicios en la aplicación móvil digital gratuita llamada GALIO que a partir de agosto estará disponible para todos los estudiantes de la Facultad de Química de la UNAM. Otros trabajos que han buscado mejorar y contribuir a una educación más didáctica son Quimicocos de papel: una apuesta divertida para estudiar los principios de la química verde (Rosero, M. C., et al, 2025) y experimentación y contextualización en la enseñanza de química con la temática de la palma forrajera (Nóbrega, L. C., et al., 2025). A continuación se muestra la encuesta realizada y sus principales resultados, así como un par de ejemplos de los ejercicios elaborados.

Metodología

La creación de los ejercicios se basó en una encuesta en la Facultad de Química de la UNAM con una muestra representativa de 100 estudiantes y 40 profesores. El propósito fue explorar sus conocimientos sobre el ambiente y el agua, tomando en cuenta que, como profesionistas y futuros químicos, su formación tiene un impacto significativo en el entorno y, por lo tanto, deben tener una conciencia cabal sobre estos temas. Se diseñaron dos encuestas anónimas idénticas salvo por la sección inicial. En la Figura 1 se muestra la encuesta de 15 preguntas realizada a profesores y en la Figura 2, la sección inicial que difiere y que corresponde a la encuesta realizada a los estudiantes. Además de las preguntas, el cuestionario presenta en rojo las respuestas correctas.

El trabajo consistió en diseñar 40 ejercicios divididos en dos categorías: ejercicios conceptuales y numéricos. Los ejercicios conceptuales están diseñados para ofrecer una visión general sobre la hidrósfera, incluyendo su importancia para el medio ambiente y el impacto de las actividades humanas. Los ejercicios numéricos están enfocados en demostrar cómo los procesos químicos involucran al agua, con ejemplos aplicados a situaciones y escenarios reales. La creación de los ejercicios se basó en una investigación exhaustiva que incluyó libros, artículos y documentos oficiales relacionados con la hidrósfera y su interacción con la química y la sociedad. Cada ejercicio incluye una introducción breve que contextualiza el tema de manera general para captar el interés del público, seguida de una explicación detallada del ejercicio.

Figura 1.- Encuesta realizada a profesores de la Facultad de Química de la UNAM.

Figura 2.- Encabezado de la encuesta realizada a estudiantes de la Facultad de Química de la UNAM. La encuesta contenía las mismas 15 preguntas presentadas en la Figura 1.

Resultados de la encuesta

Los resultados de la encuesta mostraron que el 60 % de los estudiantes desconocen el significado o propósito de la Agenda 2030, un plan de acción que engloba las problemáticas ambientales, sociales y económicas. Además, el 66 % de los estudiantes no conoce la existencia de un grupo ambiental en la Facultad de Química (ConCiencia 2030), lo que resulta paradójico dado que más del 80 % considera que la Facultad podría apoyarlos en la adopción de prácticas más ecológicas. En cuanto a los conocimientos sobre el agua, el 57 % de los estudiantes desconocen el concepto de “islas de plástico”, y el 60 % desconoce algún método de purificación del agua. Sin embargo, más del 80 % conoce el término “lluvia ácida” y tiene claro los compuestos presentes en este fenómeno. Por otro lado, los profesores demostraron un mayor conocimiento en comparación con los alumnos. El 83 % de los profesores respondió correctamente que la agricultura y la ganadería son los sectores con mayor consumo de agua, y el 90 % comprende el fenómeno de la lluvia ácida y sus causas. Es de llamar la atención que ni los estudiantes (88 %) ni los profesores (67.5 %) tienen conocimiento sobre Ley General para la Prevención y Gestión Integral de Residuos (LGPGIR). En ese sentido, la Facultad de Química podría emprender acción y organizar cursos y talleres para concientizar a su planta docente. En la Figura 3 se presentan estos resultados de manera desglosada.

Figura 3.- Resultados de las preguntas 4, 7, 9, 11 y 10 de la encuesta realizada entre la comunidad de la Facultad de Química.

En la Figura 4, se presentan los resultados de la pregunta 6, que son de trascendental importancia pues son las relativas a la disciplina. En ese sentido, la pregunta 6 aborda cuestiones fisicoquímicas del agua, información que un estudiante de la Facultad de Química debe conocer y dominar. Sin embargo, los resultados muestran que hay mucho trabajo por hacer desde el punto de vista del conocimiento. Las preguntas 7 (16 %), 9 (30 %), 10 (46 %), 5 (48 %) y 4 (55 %) son, en ese orden, las peor contestadas. Los tópicos involucran la densidad del agua a cierta temperatura, su capacidad calorífica, su tensión superficial, su reactividad y su constante dieléctrica. Estos resultados son preocupantes pues el 70 % de los encuestados ya cursó el ciclo de Tronco Común en la Facultad de Química. De forma general, los profesores responden mucho mejor este apartado. El detalle de los resultados de las encuestas se puede consultar en la información suplementaria de este manuscrito.

Figura 4.- Resultados de la pregunta 6 de la encuesta realizada entre la comunidad de la Facultad de Química.

Ejercicios propuestos

A continuación, se presentan dos ejemplos, uno conceptual (ejercicio 9) y otro numérico (ejercicio 2) de los ejercicios desarrollados en este trabajo. El resto del compendio se encuentra en la información suplementaria de este manuscrito. Los ejercicios conceptuales están diseñados para ofrecer una visión general sobre la hidrósfera incluyendo su importancia para el medio ambiente y el impacto de las actividades humanas. Se presentan en formatos interactivos como completar textos con bancos de palabras, verdadero o falso, relación de columnas y llenado de tablas. A continuación se muestra un ejercicio conceptual. En rojo, las respuestas correctas.

Uso del agua

El uso del agua puede clasificarse de dos formas:

Ejercicio 9.

De acuerdo con su uso, el agua puede experimentar cambios en sus características químicas, físicas o biológicas. Relaciona las columnas con las posibles modificaciones que adquiere el agua después de ser utilizada.

Respuesta

1.- Potable

( 3 )

Posee alrededor de 35 g/L de sales minerales disueltas, principalmente sodio, cloruro, magnesio, calcio y potasio.

2.- Dura

( 9 )

Alta carga de bacterias, virus y microorganismos patógenos.

3.- Salada

( 5 )

Contiene desechos orgánicos, heces y orina.

4.- Destilada

(11)

Baja concentración de minerales.

5.- Negras

( 7 )

Contiene jabones, detergentes y grasas.

6.- Dulce

( 2 )

Alta concentración de calcio y magnesio.

7.- Grises

(10)

Bajo contenido de oxígeno disuelto.

8.- Brutas

( 8 )

No ha recibido ningún tratamiento.

9.- Residuales

( 1 )

Apta para el consumo de personas y animales, libre de patógenos.

10.- Muertas

( 6 )

Concentración de sales menores de 0.5 g/L.

11.- Blanda

( 4 )

Libre de impurezas, minerales y gases disueltos por medio de la destilación.

Para cada ejercicio numérico, primero se presenta el tema en un lenguaje sencillo, claro y de fácil acceso para el público en general, además de la bibliografía que acompaña la información. Más adelante, la actividad con la respuesta corta y desarrollada.

Oxígeno en el agua

El oxígeno disuelto en el agua se define como la cantidad de oxígeno presente en un volumen de agua a una temperatura determinada, expresada en miligramos por litro (mg/L). Su presencia proviene de diversas fuentes, entre las que destacan el intercambio atmosférico, donde el oxígeno del aire se disuelve en la superficie del agua, y la fotosíntesis, proceso mediante el cual organismos fotosintéticos, como algas y plantas acuáticas, generan oxígeno.

1.- Manahan, S. E. Environmental Chemistry; New York, 2017.

2.- Eger, A.M., Marzinelli, E.M., Beas-Luna, R. et al. The value of ecosystem services in global marine kelp forests. Nat Commun 14, 1894 (2023).

3.- Mevi-schutz, J.; Grosse, W. The Importance of Water Vapour for the Circulating Air Flow through Nelumbo Nucifera. J Exp Bot 1988, 39 (9).

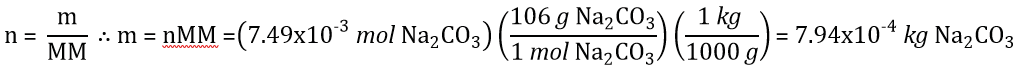
Ejercicio 2.

Las plantas acuáticas, también conocidas como hidrófitos, son aquellas que viven parcial o totalmente sumergidas en el agua y están adaptadas a diversos entornos acuáticos. Su crecimiento y desarrollo depende de la humedad. Una de las plantas acuáticas más conocidas por su belleza y su contribución a la oxigenación del agua es el nenúfar rosa o flor de loto. En promedio, esta planta puede producir 10 gramos de oxígeno molecular por metro cuadrado, g O2/m2, de superficie foliar al día. Si las hojas de la flor de loto tienen un radio promedio de 30 centímetros, cm ¿Cuál es la masa de oxígeno molecular, en kilogramos, que produce una planta en un año?

Respuesta corta

Respuesta larga

A partir de la ecuación que relaciona el área de un círculo con su radio, se puede obtener el área de un nenúfar.

A = πr2 = π (30 cm)2 = 2.83x103 cm2

A partir del área de un nenúfar promedio y conociendo que se pueden producir 10 gramos de oxígeno molecular por metro cuadrado al día, se puede obtener la masa de oxígeno molecular que se produce en un día.

Conclusiones

Este trabajo destaca la importancia de la educación ambiental en la formación de los estudiantes de química y en la concientización de la sociedad sobre el cuidado del agua. Los ejercicios desarrollados buscan reforzar los conocimientos químicos y fomentar una actitud responsable hacia el medio ambiente. Los resultados de las encuestas muestran que aún hay un largo camino por recorrer en términos de educación ambiental, pero también indican que existe un interés genuino por parte de los estudiantes y profesores de la Facultad de Química de la UNAM en adoptar prácticas más sostenibles. La implementación de estos ejercicios como actividades extracurriculares podría ser un primer paso hacia la formación de profesionales más conscientes de su impacto en el medio ambiente y más comprometidos con la sostenibilidad. Además, dada la importancia crítica de estos temas, cabría plantear un enfoque transversal que permita abordarlos de manera recurrente a lo largo de la carrera, articulándolos entre las distintas asignaturas y cursos.

Agradecimientos

Los autores agradecen la valiosa discusión científica con Dra. Karla Salas (FQ, UNAM), M. en C. Adrián Espinoza-Guillén (Laboratorio de Química Inorgánica Medicinal, FQ, UNAM), y M. en C. Mario Rodríguez Varela (Laboratorio Universitario de Nanotecnología Ambiental, ICAT, UNAM). Igualmente agradecen al Dr. Héctor García-Ortega, Dr. Rolando Bernal Pérez, Dr. Erik Beristaín Montiel y al IQ. Fernando Santiago Gómez Martínez por la lectura y opinión de los ejercicios conceptuales y numéricos.

Referencias

Arroyo, A. B. y Ramírez, J. M. (2019). Química ambiental: fundamentos y aplicaciones. Editorial Universitaria.

Baird, C., y Cann, M. (2012). Environmental chemistry (5th ed.). W. H. Freeman and Company.

Bernal Pérez, R. J., Orrantia Cavazos, J.-R., Trejo Candelas, L.-M., y Sánchez Graillet, L. A. (2024). Ciencia y sociedad: una ventana a la visión CTS en la formación sociohumanística de las carreras de la Facultad de Química, UNAM. Educación Química, 35(Especial). https://doi.org/10.22201/fq.18708404e.2024.4.89408e

Comisión Nacional de Evaluaciones de la Política y Desarrollo Social. (2015). Medición de la pobreza 2014. https://blog.coneval.org.mx/wpcontent/uploads/2015/07/Comunicado005_Medicion_pobreza_2014.pdf

Connors, K. A. (1990). Chemical kinetics: The study of reaction rates in solution. Wiley-VCH.

Crippa, M., Guizzardi, D., Pagani, F., Banja, M., Muntean, M., Schaaf, E., Monforti-Ferrario, F., Becker, W. E., Quadrelli, R., Risquez Martin, A., Taghavi-Moharamli, P., Köykkä, J., Grassi, G., Rossi, S., Melo, J., Oom, D., Branco, A., San-Miguel, J., Manca, G., Pisoni, E., Vignati, E., y Pekar, F. (2024). GHG emissions of all world countries. Publications Office of the European Union. https://doi.org/10.2760/4002897

Dix, B., y Maric, D. (2019). Atmospheric chemistry and physics: From air pollution to climate change (3rd ed.). John Wiley y Sons.

Eger, A. M., Marzinelli, E. M., BeasLuna, R., et al. (2023). The value of ecosystem services in global marine kelp forests. Nature Communications, 14, 1894. https://doi.org/10.1038/s41467-023-37507-7

García Franco, A. Chamizo, J. A. Catalá Rodes, R. M. (2024). Ciencias, Tecnologías y Sociedades. La Nueva Escuela Mexicana, Educación Química, 35(ed. especial). https://doi.org/10.22201/fq.18708404e.2024.4.88942e

Hernández del Barco M., Sánchez J., Corbacho I., Cañada, F. (2025). Filtro Lento en Arena: una experiencia de educación científica en el contexto de la sostenibilidad integral. Educación Química, 36(2), https://doi.org/10.22201/fq.18708404e.2025.2.87037

International Decade for Action, Water for Life 2005–2015. (2014). Organización de las Naciones Unidas. https://www.un.org/waterforlifedecade/scarcity.shtml

Langat, F. K., Kibet, J., y Okanga, F. (2024). Furan and phenol-based contaminants in the borehole water quality of the Kerio Valley Water Basin, Kenya. Progress in Chemical and Biochemical Research, 7(2), 143–153. https://doi.org/10.48309/pcbr.2024.427199.1322

Loer, S. A., Scheeren, T. W. L., y Tarnow, J. (1997). How much oxygen does the human lung consume? Anesthesiology, 86(3), 532–537. https://doi.org/10.1097/00000542-199703000-00020

López, R. (2019). El fitoplancton, básico para la vida en la Tierra. Gaceta UNAM. https://www.gaceta.unam.mx/el-fitoplancton-basico-para-la-vida-en-la-tierra/

Manahan, S. E. (2017). Environmental chemistry (10th ed.). CRC Press.

Massuti, M. M. R. (1950). Introducción al estudio del plancton marino (Vol. 1). Barcelona.

Masters, G. M., y Ela, W. P. (2007). Introduction to environmental engineering and science (3rd ed.). Pearson.

Metcalf y Eddy, Inc. (2013). Wastewater engineering: Treatment and resource recovery (5th ed.). McGraw-Hill Education.

MeviSchutz, J., y Grosse, W. (1988). The importance of water vapour for the circulating air flow through Nelumbo nucifera. Journal of Experimental Botany, 39(9), 1285–1291. https://doi.org/10.1093/jxb/39.9.1285

Morrison, R. T., y Boyd, R. N. (1992). Organic chemistry (6th ed.). Prentice Hall.

Nóbrega, L. C., Santana, A. M., de Lima, G. B., Ribeiro, Q. R., Dantas F. F., y de Filgueiras, M. J. (2025). Experimentación y contextualización en la enseñanza de química con la temática de la palma forrajera. Educación Química, 36(2). https://doi.org/10.22201/fq.18708404e.2025.2.88145

Orozco Barrenetxea, C. (2007). Problemas resueltos de contaminación ambiental: Cuestiones y problemas resueltos (Vol. 1). Thomson.

PNUMA y UNESCO. (1975). Carta de Belgrado: Marco global para la educación ambiental. Seminario Internacional de Educación Ambiental, Belgrado, Yugoslavia.

Pino, A. L. (2024). Evaluación de una metodología de enseñanzaaprendizaje en Química verde. Educación Química, 35(3). https://doi.org/10.22201/fq.18708404e.2024.3.87434

Programa Mundial de la UNESCO de Evaluación de los Recursos Hídricos. (2015). The United Nations world water development report 2015: Water for a sustainable world. UNESCO. https://unesdoc.unesco.org/ark:/48223/pf0000378890/PDF/378890spa.pdf.multi

Rosero, M. C., Peña, A. C., y Arteaga, D. (2025). Quimicocos de papel: una apuesta divertida para estudiar los principios de la química verde. Educación Química, 36(2). https://doi.org/10.22201/fq.18708404e.2025.2.87006

Sawyer, C. N., McCarty, P. L., y Parkin, G. F. (2003). Chemistry for environmental engineering and science (5th ed.). McGraw-Hill.

Schwarzenbach, R. P., Gschwend, P. M., e Imboden, D. M. (2016). Environmental organic chemistry (3rd ed.). Wiley.

Secretaría del Medio Ambiente y Recursos Naturales. (2009). Manual de agua potable, alcantarillado y saneamiento. México. https://www.conagua.gob.mx/CONAGUA07/Publicaciones/Publicaciones/Libros/02AlcantarilladoSanitario.pdf

SEMARNAT. (2016). Informe de la situación del medio ambiente en México: Compendio de estadísticas ambientales, indicadores clave, de desempeño ambiental y de crecimiento verde (Edición 2015). SEMARNAT.

Seribeli, F. L., y dos Santos, A. K. (2025). Microplásticos: aproximación al tema en la escuela secundaria. Educación Química, 36(1). https://doi.org/10.22201/fq.18708404e.2025.1.87748

Shiklomanov, I. (1993). In P. H. Gleick (Ed.), Water in crisis: A guide to the world’s fresh water resources (pp. 7–14). Oxford University Press.

Stumm, W., y Morgan, J. J. (1996). Aquatic chemistry: Chemical equilibria and rates in natural waters (3rd ed.). Wiley-Interscience.

Xenia, S.-C., Rene, V.-L., Francisco, C.-P., y Rigoberto, M. (2014). Resistencia al clima tropical de aceros galvanizados con y sin recubrimiento. Ingeniería, Investigación y Tecnología, 15(4), 437–447.

Zhang, Y., Liu, Y., Xu, Z., y Sun, S. (2023). Air quality, climate and public health. Frontiers Media SA.

Ejercicios conceptuales

Depósitos de agua

Los depósitos de agua comprenden todos los cuerpos de agua. El agua salina marina, es decir océanos y mares, corresponde al 97.5 % del agua total de la superficie terrestre. El 2.5 % del agua restante corresponde al agua dulce; en este porcentaje se incluye el agua congelada (68.7 %), el agua subterránea (30.1 %) y el agua de ríos, lagos y estanques (1.2 %).

1.- Igor Shiklomanov’s. World Fresh Water Resources. In Water in Crisis: A Guide to the World’s Fresh Water Resources; Oxford University Press: New York, 1993; pp 7–14.

2.- ¡Características distintivas de ríos, lagos, lagunas, golfos, mares y océanos!, Gobierno de México (2022), https://nuevaescuelamexicana.sep.gob.mx/detalle-ficha/2531/

Ejercicio 1.

Relaciona los términos con sus definiciones.

1. Acuífero

( )

Cuerpos de agua cercanos a las costas que se encuentran relativamente a baja profundidad, desde 50 hasta 1,500 metros.

2. Lago

( )

Cuerpos de agua salados o dulces situados junto al mar; muchas veces contienen agua marina aislada parcial o totalmente.

3. Río

( )

Cuerpos de agua que rodean a las masas continentales. Su profundidad varía entre 200 y 12,000 metros de profundidad.

4. Mares

( )

Cualquier formación geológica o conjunto de formaciones geológicas hidráulicamente conectadas entre sí, por las que circulan o se almacenan aguas del subsuelo que pueden ser extraídas para su explotación, uso o aprovechamiento.

5. Océanos

( )

Son mares que se encuentran casi rodeados por tierras emergidas, es decir que se encuentran entre dos puntas de tierra.

6. Golfos

( )

Son cuerpos de agua de tamaño considerable rodeados de tierra y alejados del mar.

7. Lagunas

( )

Son corrientes de agua sobre la superficie terrestre que nacen en las partes altas de las montañas, la inclinación del terreno provoca que corran rápidamente terreno abajo hasta desembocan en cuerpos de agua salados o dulces.

Respuesta

1. Acuífero

( 4 )

Cuerpos de agua cercanos a las costas que se encuentran relativamente a baja profundidad, desde 50 hasta 1,500 metros.

2. Lago

( 7 )

Cuerpos de agua salados o dulces situados junto al mar; muchas veces contienen agua marina aislada parcial o totalmente.

3. Río

( 5 )

Cuerpos de agua que rodean a las masas continentales. Su profundidad varía entre 200 y 12,000 metros de profundidad.

4. Mares

( 1 )

Cualquier formación geológica o conjunto de formaciones geológicas hidráulicamente conectadas entre sí, por las que circulan o se almacenan aguas del subsuelo que pueden ser extraídas para su explotación, uso o aprovechamiento.

5. Océanos

( 6 )

Son mares que se encuentran casi rodeados por tierras emergidas, es decir que se encuentran entre dos puntas de tierra.

6. Golfos

( 2 )

Son cuerpos de agua de tamaño considerable rodeados de tierra y alejados del mar.

7. Lagunas

( 3 )

Son corrientes de agua sobre la superficie terrestre que nacen en las partes altas de las montañas, la inclinación del terreno provoca que corran rápidamente terreno abajo hasta desembocan en cuerpos de agua salados o dulces.

Ciclo del agua

El ciclo del agua corresponde al movimiento constante del agua en la Tierra y la atmósfera. Se trata de un sistema complejo que incluye diferentes procesos. En este ciclo, el agua presenta tres estados de la materia: sólido, líquido y gaseoso.

1.- Ibañez J.; Hernandez M.; Mohan M.; Doria M.C.; Fregoso, A. Química ambiental; México, 2013

Ejercicio 2.

En las siguientes oraciones, se describe de manera incompleta el ciclo del agua. Con las palabras que se te presentan a continuación, complétalo.

evaporación

organismos

condensa

filtra

raíces

sol

superficial

precipitación

hielo

El ciclo del agua comienza con la energía suministrada por el , que calienta el agua de la superficie de los océanos, ríos y lagos. Este calor provoca la del agua y la transpiración de las plantas y animales. Este proceso permite que el agua pase del estado líquido al gaseoso, ascendiendo hacia la atmósfera en forma de vapor. Al elevarse, el vapor se enfría y se , formando nubes cargadas de gotas de agua. Este fenómeno da lugar a la , y es cuando el agua regresa a la superficie terrestre en forma de lluvia, nieve o granizo.

Una vez en la superficie, el agua sigue diferentes caminos: El agua fluye por la superficie terrestre hacia lagos, ríos y océanos, a este proceso se le conoce como escorrentía . En la escorrentía hipodérmica, parte del agua se en el suelo alimentando acuíferos y aguas subterráneas. En regiones frías, el agua queda congelada y atrapada en forma de nieve o , acumulándose en glaciares, casquetes polares y otras formas congeladas.

Los vivos también participan activamente en el ciclo del agua. Las plantas absorben agua del suelo a través de sus y la liberan, en la transpiración, como vapor a través de los poros (estomas) de sus hojas.

Respuesta

El ciclo del agua comienza con la energía suministrada por el sol, que calienta el agua de la superficie de los océanos, ríos y lagos. Este calor provoca la evaporación del agua y la transpiración de las plantas y animales. Este proceso permite que el agua pase del estado líquido al gaseoso, ascendiendo hacia la atmósfera en forma de vapor. Al elevarse, el vapor se enfría y se condensa, formando nubes cargadas de gotas de agua. Este fenómeno da lugar a la precipitación, y es cuando el agua regresa a la superficie terrestre en forma de lluvia, nieve o granizo.

Una vez en la superficie, el agua sigue diferentes caminos: El agua fluye por la superficie terrestre hacia lagos, ríos y océanos, a este proceso se le conoce como escorrentía superficial. En la escorrentía hipodérmica, parte del agua se filtra en el suelo alimentando acuíferos y aguas subterráneas. En regiones frías, el agua queda congelada y atrapada en forma de nieve o hielo, acumulándose en glaciares, casquetes polares y otras formas congeladas.

Los organismos vivos también participan activamente en el ciclo del agua. Las plantas absorben agua del suelo a través de sus raíces y la liberan, en la transpiración, como vapor a través de los poros (estomas) en sus hojas.

Aguas salinas

Las aguas salinas se caracterizan por contener una concentración elevada de sales disueltas, como el cloruro de sodio, NaCl. La concentración varía de 0.5 a 30 gramos de sal por litro de agua. La composición iónica de agua salina depende de su origen y el índice de evaporación que presente.

1.- Ibañez J.; Hernandez M.; Mohan M.; Doria M.C.; Fregoso, A. Química ambiental; México, 2013.

Ejercicio 3.

La presencia de sales en los cuerpos de agua puede deberse a procesos naturales o antropogénicos. La siguiente tabla muestra algunos ejemplos de ambas categorías. Marca el que corresponde a cada uno.

Proceso

Natural

Antropogénico

Depósitos marinos antiguos

Intrusión marina por amplitud de marea

Creación de presas

Uso de sal para el deshielo en zonas urbanas

Evaporación de lagos cerrados

Plantas de tratamiento de aguas residuales

Explotación del cuerpo de agua

Deforestación y urbanización

Respuesta

Proceso

Natural

Antropogénico

Depósitos marinos antiguos

×

Intrusión marina por amplitud de marea

×

Creación de presas

×

Uso de sal para el deshielo en zonas urbanas

×

Evaporación de lagos cerrados

×

Plantas de tratamiento de aguas residuales

×

Explotación del cuerpo de agua

×

Deforestación y urbanización

×

Disolución de gases en cuerpos de agua superficiales

La disolución de gases es un proceso en el que los gases presentes en el aire, entran en contacto con el agua de cuerpos superficiales como lagos, ríos y océanos, y se disuelven hasta alcanzar un estado de equilibrio. Este fenómeno depende de varios factores, como las interacciones intermoleculares entre las moléculas de gas y las de agua, la temperatura y la presión atmosférica.

1.- Valencia, I. (2019). Ley de solubilidad de Henry. Unidades de Apoyo para el Aprendizajeem. CUAED/FES Iztacala-UNAM

https://repositoriouapa.cuaieed.unam.mx/repositorio/moodle/pluginfile.php/2886/mod_resource/content/1/UAPA-Ley-Solubilidad-Henry/index.html

2.- Ibañez J.; Hernandez M.; Mohan M.; Doria M.C.; Fregoso, A. Química ambiental; México, 2013.

Ejercicio 4.

La siguiente tabla presenta las principales fuentes naturales de emisión de gases, junto con los compuestos liberados en cada una. Analiza las opciones y selecciona el o los gases que corresponden a cada fuente.

Gas/ fuente

Descomposición biológica (aerobia y anaerobia) de materia orgánica

Producción de gases a partir de reacciones en la corteza de la Tierra.

Reacciones fotosintéticas

Dióxido de carbono, CO2

Oxígeno O2

Amoniaco NH3

Óxido nitroso, N2O / Óxido nítrico, NO

Nitrógeno N2

Ácido sulfhídrico, H2S

Metano, CH4

Respuesta

Gas/ fuente

Descomposición biológica (aerobia y anaerobia) de materia orgánica

Producción de gases a partir de reacciones en la corteza de la Tierra.

Reacciones fotosintéticas

Dióxido de carbono, CO2

×

×

×

Oxígeno O2

×

Amoniaco NH3

×

Óxido nitroso, N2O / Óxido nítrico, NO

×

Nitrógeno N2

×

Ácido sulfhídrico, H2S

×

×

Metano, CH4

×

El pH de sistemas acuáticos

El pH es un parámetro fisicoquímico fundamental para evaluar la calidad del agua, ya que refleja la influencia de diversos procesos químicos. En cuerpos de agua naturales, el pH suele variar en un rango de 4 a 9, y está regulado por el equilibrio de dióxido de carbono, bicarbonato y carbonato.

Este parámetro afecta las reacciones químicas en el agua, tiene un impacto directo en la vida acuática e influye en la supervivencia de bacterias, flora y fauna.

1.-Ibañez J.; Hernandez M.; Mohan M.; Doria M.C.; Fregoso, A. Química ambiental; México, 2013.

2.-Saalidong, B. M., Aram, S. A., Otu, S., & Lartey, P. O. (2022). Examining the dynamics of the relationship between water pH and other water quality parameters in ground and surface water systems. PloS One, 17(1), e0262117. DOI: 10.1371/journal.pone.0262117

Ejercicio 5.

En la siguiente tabla se presentan algunos de los principales procesos que afectan el pH y la alcalinidad de las aguas naturales. Clasifica cada proceso según corresponda, como un proceso fisicoquímico generado por el ser humano o un proceso biológico que ocurre de manera natural.

Proceso

Fisicoquímico generado por el ser humano

Biológico que ocurre de manera natural

Fotosíntesis y respiración (liberación de CO2).

Acidificación por aerosoles de bisulfato de amonio, NH4HSO4.

Producción de sulfuros mediado por microbios.

Reacciones de fotosíntesis.

Oxidación e hidrólisis de metales polivalentes hidratados.

Acidificación por exceso de disolución de CO2 atmosférico.

Acidificación por biodescomposición de materia orgánica.

Nitrificación.

Deposición atmosférica ácida.

Respuesta

Proceso

Fisicoquímico generado por el ser humano

Biológico que ocurre de manera natural

Fotosíntesis y respiración (liberación de CO2).

×

Acidificación por aerosoles de bisulfato de amonio, NH4HSO4.

×

Producción de sulfuros mediado por microbios.

×

Reacciones de fotosíntesis.

×

Oxidación e hidrólisis de metales polivalentes hidratados.

×

×

Acidificación por exceso de disolución de CO2 atmosférico.

×

Acidificación por biodescomposición de materia orgánica.

×

Nitrificación.

×

Deposición atmosférica ácida.

×

Propiedades físicas del agua

Las propiedades físicas son aquellas características que se pueden observar y medir sin modificar la composición interna de un material. La densidad, el punto de fusión y ebullición, y la tensión superficial entre otras, son distintivas del agua y fundamentales para múltiples funciones en los sistemas naturales y en la vida cotidiana.

1.- Manahan, S. E. Environmental Chemistry; New York, 2017 2.- K.M. Stewart, J.F. Atkinson, Physical Properties of Water,Thomas Mehner, Klement Tockner, Encyclopedia of Inland Waters (Second Edition), Elsevier, 2022,Pages 45-52 https://doi.org/10.1016/B978-0-12-819166-8.00136-5.

Ejercicio 6.

A continuación, se presentan las propiedades fisicoquímicas del agua y los efectos que produce cada una. Relaciona las propiedades con su correspondiente efecto.

1.- Alta capacidad calorífica

( )

Permite que insectos pequeños se desplacen sobre la superficie del agua sin hundirse.

2.- Elevada capacidad de disolución

( )

Permite regular las temperaturas de los organismos, ya que, al evaporarse las moléculas del agua, la superficie se enfría.

3.- Alta tensión superficial

( )

En temporadas de invierno, al alcanzar su máximo permite que el agua se expanda y que flote creando una capa protectora para los ecosistemas acuáticos.

4.- Constante dieléctrica elevada

( )

Evita cambios rápidos de temperatura, permitiendo regularla en los cuerpos de agua.

5.- Densidad máxima a 4 ºC

( )

Alta solubilidad de sustancias iónicas.

6.- Elevado calor de vaporización

( )

Actúa como medio de transporte para nutrientes, minerales y desechos.

Respuesta

1.- Alta capacidad calorífica

(3)

Permite que insectos pequeños se desplacen sobre la superficie del agua sin hundirse.

2.- Elevada capacidad de disolución

(6)

Permite regular las temperaturas de los organismos, ya que, al evaporarse las moléculas del agua, la superficie se enfría.

3.- Alta tensión superficial

(5)

En temporadas de invierno, al alcanzar su máximo permite que el agua se expanda y que flote creando una capa protectora para los ecosistemas acuáticos.

4.- Constante dieléctrica elevada

(1)

Evita cambios rápidos de temperatura, permitiendo regularla en los cuerpos de agua.

5.- Densidad máxima a 4 ºC

(4)

Alta solubilidad de sustancias iónicas.

6.- Elevado calor de vaporización

(2)

Actúa como medio de transporte para nutrientes, minerales y desechos.

Camino del agua

En la Ciudad de México, el 64 % del agua proviene de fuentes superficiales y el 36 % de fuentes subterráneas. Su proceso de abastecimiento generalmente incluye etapas como extracción, potabilización, conducción y suministro.

1.- SEMARNAT, El agua en México, Edición 2015, México https://biblioteca.semarnat.gob.mx/janium/Documentos/Ciga/Libros2013/CD002245.pdf

2.- Secretaria del Medio Ambiente y Recursos Naturales, El agua en México, México 2015 https://biblioteca.semarnat.gob.mx/janium/Documentos/Ciga/Libros2013/CD002245.pdf

Ejercicio 7

A continuación, se describen de manera general cada una de las fases por las que pasa el agua para llegar a los hogares en la Ciudad de México. Relaciona el proceso con su definición.

1.- Captación-Extracción

( )

Se eliminan sustancias que resultan tóxicas para las personas, como cromo, plomo o zinc, arenas, bacterias o virus.

2.- Potabilización

( )

El agua se entrega por medio de una red de distribución.

3.- Conducción

( )

Se obtiene el agua de un río, lago o acuífero. Si la fuente es subterránea, se realizan excavaciones profundas, y si es superficial se construyen presas.

4.- Suministro

( )

El agua se bombea a una zona alta para posteriormente dejarla fluir con ayuda de la gravedad por medio de tubos (acueductos).

Respuesta

1.- Captación-Extracción

( 2 )

Se eliminan sustancias que resultan tóxicas para las personas, como cromo, plomo o zinc, arenas, bacterias o virus.

2.- Potabilización

( 4 )

El agua se entrega por medio de una red de distribución.

3.- Conducción

( 1 )

Se obtiene el agua de un río, lago o acuífero. Si la fuente es subterránea, se realizan excavaciones profundas, y si es superficial se construyen presas.

4.- Suministro

( 3 )

El agua se bombea a una zona alta para posteriormente dejarla fluir con ayuda de la gravedad por medio de tubos (acueductos).

Sistemas de alcantarillado

Los sistemas de alcantarillados son sistemas de tuberías de grandes diámetros que permiten una gran flexibilidad en la operación de la red de saneamiento de una ciudad. Existen dos tipos de alcantarillados:

  • Alcantarillados no convencionales, diseñados para proporcionar saneamiento básico de comunidades de bajos recursos.
  • Alcantarillados convencionales, satisfacen demandas más altas y manejan operaciones más especializadas.

El objetivo principal de cualquiera sistema de alcantarillado es evitar que las aguas residuales sean vertidas de manera descontrolada o en lugares inapropiados. Esto permite minimizar su impacto ambiental y proteger la salud pública.

1.- Secretaria del Medio Ambiente y Recursos Naturales, Manual de agua potable, alcantarillado y saneamiento, México 2009 https://www.conagua.gob.mx/CONAGUA07/Publicaciones/Publicaciones/Libros/02AlcantarilladoSanitario.pdf

2.- Ibañez J.; Hernandez M.; Mohan M.; Doria M.C.; Fregoso, A. Química ambiental; México, 2013.

Ejercicio 8.

Los sistemas de alcantarillado reciben constantemente una variedad de residuos provenientes de diferentes fuentes, que tienen distintos efectos sobre el agua. Completa el siguiente cuadro utilizando las opciones del banco de palabras.

Consumen el oxígeno disuelto

Fertilizantes

Detergentes domésticos

Industria minera

Perjudica y compromete la vida acuática

Grasas y aceite

Constituyente

Fuentes potenciales

Efectos en el agua

Sustancias demandantes de oxígeno

Heces fecales

Detergentes

Generación de grandes cantidades de espuma

Fosfatos

Crecimiento desmedido de algas

Cocina, procesamiento de alimentos y desechos industriales

Problemas en las redes de saneamiento, obstrucciones

Metales pesados

Aumenta la toxicidad

Sólidos

Cualquier fuente

Respuesta

Constituyente

Fuentes potenciales

Efectos en el agua

Sustancias demandantes de oxígeno

Heces fecales

Consumen el oxígeno disuelto

Detergentes

Detergentes domésticos

Generación de grandes cantidades de espuma

Fosfatos

Fertilizantes

Crecimiento desmedido de algas

Grasas y aceite

Cocina, procesamiento de alimentos y desechos industriales

Problemas en las redes de saneamiento, obstrucciones

Metales pesados

Industria minera

Aumenta la toxicidad

Solidos

Cualquier fuente

Perjudica y compromete la vida acuática

Uso del agua

El uso del agua puede clasificarse de dos formas:

Ejercicio 9.

De acuerdo con su uso, el agua puede experimentar cambios en sus características químicas, físicas o biológicas. Relaciona las columnas con las posibles modificaciones que adquiere el agua después de ser utilizada.

1.- Potable

( )

Posee alrededor de 35 g/L de sales minerales disueltas, principalmente sodio, cloruro, magnesio, calcio y potasio.

2.- Dura

( )

Alta carga de bacterias, virus y microorganismos patógenos.

3.- Salada

( )

Contiene desechos orgánicos, heces y orina.

4.- Destilada

( )

Baja concentración de minerales.

5.- Negras

( )

Contiene jabones, detergentes y grasas.

6.- Dulce

( )

Alta concentración de calcio y magnesio.

7.- Grises

( )

Bajo contenido de oxígeno disuelto.

8.- Brutas

( )

No ha recibido ningún tratamiento.

9.- Residuales

( )

Apta para el consumo de personas y animales, libre de patógenos

10.- Muertas

( )

Concentración de sales menores de 0.5 g/L.

11.- Blanda

( )

Libre de impurezas, minerales y gases disueltos por medio de la destilación.

Respuesta

1.- Potable

( 3 )

Posee alrededor de 35 g/L de sales minerales disueltas, principalmente sodio, cloruro, magnesio, calcio y potasio.

2.- Dura

( 9 )

Alta carga de bacterias, virus y microorganismos patógenos.

3.- Salada

( 5 )

Contiene desechos orgánicos, heces y orina.

4.- Destilada

(11)

Baja concentración de minerales.

5.- Negras

( 7 )

Contiene jabones, detergentes y grasas.

6.- Dulce

( 2 )

Alta concentración de calcio y magnesio.

7.- Grises

(10)

Bajo contenido de oxígeno disuelto.

8.- Brutas

( 8 )

No ha recibido ningún tratamiento.

9.- Residuales

( 1 )

Apta para el consumo de personas y animales, libre de patógenos.

10.- Muertas

( 6 )

Concentración de sales menores de 0.5 g/L.

11.- Blanda

( 4 )

Libre de impurezas, minerales y gases disueltos por medio de la destilación.

Procesos que afectan la composición del agua

La composición del agua está influenciada por su entorno geológico. Un factor clave es su estado de agregación, ya que esto puede afectar su reactividad con diversas sustancias presentes en el medio.

1.- Ibañez J.; Hernandez M.; Mohan M.; Doria M.C.; Fregoso, A. Química ambiental; México, 2013

Ejercicio 10.

A continuación, se presentan una serie de aseveraciones relacionadas con procesos naturales que afectan la composición del agua. Lee cada una detenidamente y determina si es falso o verdadera.

( )

Lluvia y deposición seca por contribuciones atmosféricas.

( )

Procesos de meteorización.

( )

Absorción de detergentes y fertilizantes.

( )

Formación de cavernas de piedra caliza, formación de salmueras y aguas de alta salinidad.

( )

Desalinización de cuerpos de agua.

( )

Excreciones, secreciones y productos metabólicos naturales.

( )

Procesos de evaporación-precipitación, drenaje y lixiviación debido a la lluvia y el escurrimiento.

( )

Intercambio iónico con sedimentos y coloides.

( )

La solubilización y suspensión de minerales y sales en las aguas superficiales por las actividades de la industria minera.

( )

El intercambio de gases y las reacciones de disolución provocado por el exceso de gases de efecto invernadero.

Respuesta

( V )

Lluvia y la deposición seca debido a aportaciones atmosféricas.

( V )

Procesos de meteorización.

( F )

Absorción de detergentes y fertilizantes.

( V )

Formación de cavernas de piedra caliza, formación de salmueras y aguas de alta salinidad.

( F )

Desalinización de cuerpos de agua.

( V )

Excreciones, secreciones y productos metabólicos naturales.

( V )

Procesos de evaporación-precipitación, drenaje y lixiviación debido a la lluvia y el escurrimiento.

( V )

Intercambio iónico con sedimentos y coloides.

( F )

La solubilización y suspensión de minerales y sales en las aguas superficiales por las actividades de la industria minera.

(F )

El intercambio de gases y las reacciones de disolución provocado por el exceso de gases de efecto invernadero.

Importancia de la fabricación de sustancias químicas

La percepción de la química en la sociedad suele ser ambigua. Muchas veces se asocia únicamente con la producción de sustancias artificiales peligrosas, lo que provoca que se deje de lado su rol fundamental en el desarrollo de productos esenciales para el bienestar humano.

La producción de sustancias y productos químicos constituye la base para la fabricación de artículos que utilizamos en nuestra vida diaria, como plásticos, resinas, productos agrícolas, de limpieza y artículos de cuidado personal. Estos compuestos químicos, tanto orgánicos como inorgánicos, son esenciales en la mejora de nuestra calidad de vida y en el progreso tecnológico.

1.- Ibañez J.; Hernandez M.; Mohan M.; Doria M.C.; Fregoso, A. Química ambiental; México, 2013

2.- Garritz A., La celebración del Año Internacional de la Química Las contribuciones de la química al bienestar de la humanidad Educ. quím., 22(1), 2-7, 2011. UNAM, ISSN 0187-893-X

Ejercicio 11.

En la siguiente tabla se listan los principales productos químicos orgánicos e inorgánicos. Completa la información faltante apoyándote del banco de palabras, escribiendo el nombre del producto químico o su fórmula condensada, según corresponda.

sulfato de aluminio

(NH4)2SO4

C6H6

C6H5NH2

C8H8

clorato de sodio

óxido de titanio(IV)

óxido de etileno

C4H6O2

C3H3N

C2H4Cl2

HNO3

ácido sulfúrico

hidróxido de sodio

urea

C2H4

NH3

Na2SO4

C3H6

etilbenceno

nitrato de amonio

ácido clorhídrico

Orgánicos

Inorgánicos

Nombre

Fórmula condensada

Nombre

Fórmula condensada

etileno

H2SO4

1-propileno

sulfato de sodio

dicloruro de etileno

amoniaco

CH4N2O

NaOH

etilbenceno

ácido nítrico

estireno

NH4NO3

C2H4O

HCl

acetato de vinilo

sulfato de amonio

anilina

TiO2

benceno

Al2(SO4)3

acrilonitrilo

NaClO3

Respuesta

Orgánicos

Inorgánicos

Nombre

Fórmula condensada

Nombre

Fórmula condensada

etileno

C2H4

ácido sulfúrico

H2SO4

1-propileno

C3H6

sulfato de sodio

Na2SO4

dicloruro de etileno

C2H4Cl2

amoniaco

NH3

urea

CH4N2O

hidróxido de sodio

NaOH

etilbenceno

C8H10

ácido nítrico

HNO3

estireno

C8H8

nitrato de amonio

NH4NO3

óxido de etileno

C2H4O

ácido clorhídrico

HCl

acetato de vinilo

C4H6O2

sulfato de amonio

(NH4)2SO4

anilina

C6H5NH2

óxido de titanio(IV)

TiO2

benceno

C6H6

sulfato de aluminio

Al2(SO4)3

acrilonitrilo

C3H3N

clorato de sodio

NaClO3

Clasificación de los contaminantes del agua

El agua está contaminada cuando su composición o estado natural se ve alterado, lo que impide su uso para fines humanos. Los compuestos que generan esta contaminación pueden tener un origen natural o antropogénico (generados por actividades humanas) y este último es cada vez más significativo. Los contaminantes del agua pueden clasificarse según su naturaleza en químicos, biológicos, físicos y radiactivos.

1.- Armijo. R., Basegio N., Cofrade B., Ramos T. Contaminantes Químicos del Agua: Contaminación Antropogénica, Centro de Estudios de Postgrado, Universidad Pablo de Olavide. Nº. 35, 2019, ISSN-e 2173-0903

Ejercicio 12.

A continuación, se presentan ejemplos de contaminantes del agua. Clasifícalos según su naturaleza.

1.- Físico

( )

Bacterias, virus, parásitos y protozoo.

2.- Químico

( )

Radón, 222Rn, uranio,238U,234U y radio 226Ra.

3.- Biológico

( )

Toxinas, sales, pesticidas, metales y nitrógeno.

4.- Radioactivo

( )

Sedimentos y materia orgánica suspendida

Respuesta

1.- Físico

( 3 )

Bacterias, virus, parásitos y protozoo.

2.- Químico

( 4 )

Radón, 222Rn, uranio,238U,234U y radio 226Ra.

3.- Biológico

( 2 )

Toxinas, sales, pesticidas, metales y nitrógeno.

4.- Radioactivo

( 1 )

Sedimentos y materia orgánica suspendida

Las industrias

El sector industrial utiliza cerca del 20 % del agua extraída a nivel mundial y esta cifra va en aumento. Este porcentaje incluye el agua empleada para la generación de energía hidráulica, nuclear, termoeléctrica y para diversos procesos industriales. Sin embargo, las industrias se encuentran entre las principales fuentes de contaminación del agua, ya que liberan sustancias perjudiciales que alteran su calidad, lo que provoca que el agua deje de ser accesible para los seres vivos.

1.- Agua e industria en la economía verde, Programa de Organización de las Naciones Unidas. https://www.un.org/spanish/waterforlifedecade/green_economy_2011/pdf/info_brief_water_and_industry_spa.pdf

2.- Ibañez J.; Hernandez M.; Mohan M.; Doria M.C.; Fregoso, A. Química ambiental; México, 2013.

Ejercicio 13.

A continuación, se presentan las principales industrias que contaminan el agua, junto con los contaminantes que generan durante sus procesos de producción. Relaciona cada contaminante con su industria correspondiente.

1.- Industria minera

( )

Metales pesados como mercurio y plomo, hidrocarburos y compuestos orgánicos volátiles, COV´s, lodos con hidrocarburos.

2.- Industria química

( )

Ácido nítrico, HNO3 y ácido sulfúrico, H2SO4, escombros, rocas estériles, aceites y combustibles.

3.- Industria automotriz

( )

Metales pesados como cromo, plomo y cobre, colorantes azoicos y formaldehido.

4.- Industria alimentaria

( )

Metales pesados, residuos peligrosos, compuestos orgánicos persistentes, COP´s y catalizadores agotados.

5.- Industria de energía y petroquímica

( )

Residuos orgánicos no peligrosos, restos de alimentos, nitratos y metales pesados como plomo y cadmio, diversos tipos de empaques.

6.- Industria textil

( )

Residuos de aceites y lubricantes, baterías y residuos eléctricos.

Respuesta

1.- Industria minera

( 5 )

Metales pesados como mercurio y plomo, hidrocarburos y compuestos orgánicos volátiles, COV´s, lodos con hidrocarburos.

2.- Industria química

( 1 )

Ácido nítrico, HNO3 y ácido sulfúrico, H2SO4, escombros, rocas estériles, aceites y combustibles.

3.- Industria automotriz

( 6 )

Metales pesados como cromo, plomo y cobre, colorantes azoicos y formaldehido.

4.- Industria alimentaria

( 2 )

Metales pesados, residuos peligrosos, compuestos orgánicos persistentes, COP´s y catalizadores agotados.

5.- Industria de energía y petroquímica

( 4 )

Residuos orgánicos no peligrosos, restos de alimentos, nitratos y metales pesados como plomo y cadmio, diversos tipos de empaques.

6.- Industria textil

( 3 )

Residuos de aceites y lubricantes, baterías y residuos eléctricos.

Ciclo biogeoquímico

A las moléculas esenciales para la estructura básica de la vida se les conoce como nutrientes. Los ciclos biogeoquímicos son los caminos que siguen estos nutrientes. En estos ciclos se realiza un intercambio entre los seres vivos y el ambiente que los rodea. Se pueden dividir en:

Ejercicio 14.

En las siguientes oraciones, se describe de manera incompleta el proceso de bomba de ballena. Con las palabras que se te presentan a continuación, complétalo.

krill

nutrientes

fertilizantes

biológicos

heces

fitoplancton

nitrógeno

77 %

En los océanos, dos grupos de organismos desempeñan un papel fundamental en el equilibrio ecológico. El , organismo encargado de la producción de oxígeno en los ecosistemas marinos y el , una fuente de alimento esencial para muchas especias incluidas la ballena. Ambos organismos requieren dos nutrientes claves para su desarrollo: y hierro. Sin embargo, estas sustancias no se generan de manera natural en grandes cantidades en los océanos, por lo que su disponibilidad depende de procesos .

Las ballenas desempeñan un papel crucial en este ciclo a través de un fenómeno conocido como la bomba de ballena. Este proceso ocurre cuando las ballenas se sumergen a grandes profundidades para alimentarse y luego ascienden a la superficie para respirar, liberando ricas en hierro y nitrógeno. Estos desechos actúan como para el fitoplancton y promoviendo su crecimiento.

Loa cetáceos contribuyen con hasta el de los nutrientes liberados en el Golfo de Maine, ubicado a la costa noreste de Norteamérica. Al hundirse a las profundidades, los ________ transportados por las corrientes marinas benefician a diversas especies acuáticas, cerrando un ciclo esencial para la productividad de los océanos.

Respuesta

En los océanos, dos grupos de organismos desempeñan un papel fundamental en el equilibrio ecológico. El fitoplancton, organismo encargado de la producción de oxígeno en los ecosistemas marinos y el krill, una fuente de alimento esencial para muchas especias incluidas la ballena. Ambos organismos requieren dos nutrientes claves para su desarrollo: nitrógeno y hierro. Sin embargo, estas sustancias no se generan de manera natural en grandes cantidades en los océanos, por lo que su disponibilidad depende de procesos biológicos.

Las ballenas desempeñan un papel crucial en este ciclo a través de un fenómeno conocido como la bomba de ballena. Este proceso ocurre cuando las ballenas se sumergen a grandes profundidades para alimentarse y luego ascienden a la superficie para respirar, liberando heces ricas en hierro y nitrógeno. Estos desechos actúan como fertilizantes para el fitoplancton y promoviendo su crecimiento.

Loa cetáceos contribuyen con hasta el 77 % de los nutrientes liberados en el Golfo de Maine, ubicado a la costa noreste de Norteamérica. Al hundirse a las profundidades, los nutrientes transportados por las corrientes marinas benefician a diversas especies acuáticas, cerrando un ciclo esencial para la productividad de los océanos.

Organismos patógenos

Las aguas sin tratamiento representan un riesgo significativo para la salud pública, ya que pueden proliferar agentes patógenos, que son microorganismos causantes de enfermedades de origen hídrico. Estos patógenos generan altos índices de morbilidad y mortalidad en la población. Su presencia se debe principalmente a la descarga de desechos doméstico e industrial en cuerpos de agua, particularmente aquellos que contienen materia orgánica y fecal.

1.- CONAGUA, Desinfección para sistemas de agua potable y saneamiento, Manual de agua potable, alcantarillado y saneamiento, México ISBN: 978-607-626-023-

2.- Montaño Icedo, Mónica Lizeth. (2023). ¿Virus o bacteria? esa es la cuestión. Epistemus (Sonora), 17(34), 92-98. Epub 08 de diciembre de 2023. https://doi.org/10.36790/epistemus.v17i34.270

Ejercicio 15.

A continuación, se describen distintos organismos patógenos que pueden estar presentes en aguas contaminadas. Relaciona cada patógeno con su descripción correspondiente.

1.- Bacterias

( )

Son mucho más pequeños que las bacterias y no se consideran células. Su replicación y transferencia se deben a la presencia de información genética.

2- Helmintos

( )

Son organismos eucariotas con un tamaño oscila entre los 10 y 50 micrómetros.

3.- Protozoarios

( )

Su nombre significa “gusano”, lo que en parasitología se refiere a especies animales de cuerpo largo y blanco, que infestan el organismo de otras especies.

4.- Virus

( )

Organismos unicelulares pertenecientes a los procariontes, con un tamaño de 0.5 a 5 de micras de longitud. Presentan diversas formas, como filamentos, cocos, bacilos, vibrios y espirilos.

Respuesta

1.- Bacterias

( 4 )

Son mucho más pequeños que las bacterias y no se consideran células. Su replicación y transferencia se deben a la presencia de información genética.

2- Helmintos

( 3 )

Son organismos eucariotas con un tamaño oscila entre los 10 y 50 micrómetros.

3- Protozoarios

( 2 )

Su nombre significa “gusano”, lo que en parasitología se refiere a especies animales de cuerpo largo y blanco, que infestan el organismo de otras especies.

4.- Virus

( 1 )

Organismos unicelulares pertenecientes a los procariontes, con un tamaño de 0.5 a 5 de micras de longitud. Presentan diversas formas, como filamentos, cocos, bacilos, vibrios y espirilos.

Métodos de desinfección

La desinfección que corresponde a los sistemas de potabilización y tratamiento de aguas residuales son medidas primordiales para reducir la incidencia de tifoidea y cólera. La desinfección se debe seleccionar de acuerdo con que se satisfagan todos los factores y condiciones específicas para la aplicación a la que se destine el agua. Los principales métodos de desinfección son físicos y químicos.

1.- Webb J. Taller técnico sobre compilación de Cuentas de Agua en América Latina, División de estadísticas de Naciones Unidas, 2009.

2.- CONAGUA, Desinfección para sistemas de agua potable y saneamiento, Manual de agua potable, alcantarillado y saneamiento, México ISBN: 978-607-626-023

3.- Bhalchandra P. (2013). Drinking Water Disinfection Techniques

Ejercicio 16.

A continuación, se presentan los métodos de desinfección físicos junto con una breve descripción de cada uno. Relaciona cada método con su correspondiente descripción.

1.- Filtración

( )

Método efectivo para desinfectar pequeñas cantidades de agua, incluso si presentan materia orgánica. Se recomienda mantenerla en ebullición durante 1 a 3 minutos en ebullición.

2.- Temperatura

( )

Su penetración es más profunda, por lo que es útil en tratamiento de aguas residuales. La fuente más adecuada es el cobalto-60.

3.- Radiación solar y luz UV

( )

Consiste en hacer pasar una mezcla sólido-líquida a través de un medio poroso (filtro), que retiene los sólidos y permite el paso del líquido. Este método remueve las partículas y materia coloidal no sedimentables. La eficiencia depende sólo del tamaño de los poros del medio filtrante.*

4.- Radiación gamma

( )

Consisten en hacer pasar el agua a través de cámaras equipadas con electrodos, donde se les aplica una corriente eléctrica. Bajo ciertas condiciones permite reducir simultáneamente sólidos suspendidos y microorganismos presentes, incluyendo virus.**

5.- Procesos electrolíticos

( )

Método eficiente para la desinfección de aguas claras. Los efectos germicidas de la luz dañan el ácido ribonucleico (ARN) y al ácido desoxirribonucleico (ADN) de los microorganismos. Sin embargo se debe considerar el riesgo de fotoreactivación.
* La filtración no es un desinfectante, pero se considera de esa manera, ya que el filtro lento de arena, si se diseña y opera convenientemente puede ser considerado como un sistema de desinfección del agua.
** Los procesos electroquímicos se consideran físicos, ya que la oxidación electroquímica no implica la adición directa de los productos químicos en el agua a tratar, a pesar de que los electrodos introducidos en el sistema generan especies químicas que son generalmente las responsables de la desinfección.

Respuesta

1.- Filtración

( 2 )

Método efectivo para desinfectar pequeñas cantidades de agua, incluso si presentan materia orgánica. Se recomienda mantenerla en ebullición durante 1 a 3 minutos en ebullición.

2.- Temperatura

( 4 )

Su penetración es más profunda, por lo que es útil en tratamiento de aguas residuales. La fuente más adecuada es el cobalto-60.

3.- Radiación solar y luz UV

( 1 )

Consiste en hacer pasar una mezcla sólido-líquida a través de un medio poroso (filtro), que retiene los sólidos y permite el paso del líquido. Este método remueve las partículas y materia coloidal no sedimentables. La eficiencia depende sólo del tamaño de los poros del medio filtrante.

4.- Radiación gamma

( 5 )

Consisten en hacer pasar el agua a través de cámaras equipadas con electrodos, donde se les aplica una corriente eléctrica. Bajo ciertas condiciones permite reducir simultáneamente sólidos suspendidos y microorganismos presentes, incluyendo virus.

5.- Procesos electrolíticos

( 3 )

Método eficiente para la desinfección de aguas claras. Los efectos germicidas de la luz dañan el ácido ribonucleico (ARN) y al ácido desoxirribonucleico (ADN) de los microorganismos. Sin embargo se debe considerar el riesgo de fotoreactivación.

Contaminantes antropogénicos

La contaminación antropogénica abarca todos los efectos, procesos o materiales que son resultado de las actividades humanas. Desde la Segunda Guerra Mundial ha habido un notable un aumento en los productos químicos sintéticos, lo que ha causado efectos graves en la salud humana y el medio ambiente.

1.- Ibañez J.; Hernandez M.; Mohan M.; Doria M.C.; Fregoso, A. Química ambiental; México, 2013

Ejercicio 17.

A continuación, se presentan los principales contaminantes antropogénicos, enfocados en productos químicos sintetizados. Relaciona cada contaminante con su correspondiente descripción o uso.

1.- Pesticidas

( )

Sustancias derivadas de los hidrocarburos saturados mediante la sustitución de átomos de hidrógeno por cloro y flúor.

2.- Disolventes orgánicos e hidrocarburos (HC)

( )

Mezclas de bifenilos, entre uno a diez átomos de cloro por molécula. Son aceitosos, tienen altos puntos de ebullición y baja conductividad, lo que los hace útiles como plastificantes.

3.- Bifenilos policlorados (PCB)

( )

Sustancias orgánicas halogenadas que se generan como subproductos del uso de cloro en el tratamiento de aguas.

4.- Clorofluorocarburos

( )

Sustancias químicas con propiedades de superficie activas, utilizadas en productos detergente para uso doméstico e industrial, así como productos de cuidado personal.

5.- Trihalometanos

( )

Sustancias diseñadas para eliminar plagas y proteger las plantas contra moho, hongos, roedores o maleza nociva.

6.- Surfactantes

( )

Compuestos derivados principalmente del petróleo, empleados en la industria para disolver sustancias no polares o poco polares. Se incluyen a los miembros de la familia BTEX (benceno, tolueno, etilbenceno y xileno).

Respuesta

1.- Pesticidas

( 4 )

Sustancias derivadas de los hidrocarburos saturados mediante la sustitución de átomos de hidrógeno por cloro y flúor.

2.- Disolventes orgánicos e hidrocarburos (HC)

( 3 )

Mezclas de bifenilos, entre uno a diez átomos de cloro por molécula. Son aceitosos, tienen altos puntos de ebullición y baja conductividad, lo que los hace útiles como plastificantes.

3.- Bifenilos policlorados (PCB)

( 5 )

Sustancias orgánicas halogenadas que se generan como subproductos del uso de cloro en el tratamiento de aguas.

4.- Clorofluorocarburos

( 6 )

Sustancias químicas con propiedades de superficie activas, utilizadas en productos detergente para uso doméstico e industrial, así como productos de cuidado personal.

5.- Trihalometanos

( 1 )

Sustancias diseñadas para eliminar plagas y proteger las plantas contra moho, hongos, roedores o maleza nociva.

6.- Surfactantes

( 2 )

Compuestos derivados principalmente del petróleo, empleados en la industria para disolver sustancias no polares o poco polares. Se incluyen a los miembros de la familia BTEX (benceno, tolueno, etilbenceno y xileno).

Vida acuática

La vida acuática engloba a todos los organismos que habitan en los ecosistemas acuáticos, sean salados o dulces; y sin importar el tamaño que posean: desde microscópicos hasta mamíferos marinos de gran tamaño.

1.- Ibañez J.; Hernandez M.; Mohan M.; Doria M.C.; Fregoso, A. Química ambiental; México, 2013

Ejercicio 18.

En las siguientes oraciones, se explica de manera incompleta los dos tipos de organismos que viven en los ecosistemas acuáticos. Con las palabras que se presentan a continuación complétalo.

química

fotosíntesis

bacterias

Descomponedores

CO2

heterótrofos

productores primarios

producir

Los organismos vivos en un ecosistema acuático pueden clasificarse como autótrofos y heterótrofos. Cada uno con roles específicos en la cadena trófica.

Respuesta

Los organismos vivos en un ecosistema acuático pueden clasificarse como autótrofos y heterótrofo. Cada uno con roles específicos en la cadena trófica.

Lluvia ácida

La lluvia ácida se debe a óxidos de nitrógeno, NOx y óxidos de azufre SOx. Estos gases provienen de fuentes antropogénicas y naturales de la atmósfera, que al interactuar con los rayos UV del sol y con moléculas del agua presentes en el aire, forman vapores ácidos como ácido sulfúrico, H2SO4, y vapores de ácido nítrico, HNO3, lo que acidifica el pH de la lluvia (de pH = 5.5 a pH = 4).

1.- Ibañez J.; Hernandez M.; Mohan M.; Doria M.C.; Fregoso, A. Química ambiental; México, 2013

Ejercicio 19

La combustión del carbono y derivados del petróleo producen dióxido de azufre, SO2. Debido a su densidad, este gas se acumula en las capas bajas de la atmósfera, y reacciona con el oxígeno elemental O2, formando trióxido de azufre, SO3. Posteriormente, este compuesto es arrastrado por las moléculas de agua de la lluvia, lo que provoca la formación de ácido sulfúrico, H2SO4. Cuando este ácido entra en contacto con los suelos y cuerpos de aguas, se acidifican.

Escribe las ecuaciones del proceso de formación de ácido sulfúrico a partir del texto. Recuerda que las ecuaciones deben estar balanceadas.

Respuesta

Obtención de ácido sulfúrico

2SO2(g) + O2(g) ⇋ 2SO3(g)

SO3(g) + H2O(l) ⇋ H2SO4(ac)

Huella hídrica y agua virtual

La huella hídrica es el volumen total de agua que una persona, país o región utiliza directa e indirectamente en sus actividades diarias. Solo un 4 % de este uso corresponde al agua que empleamos de manera directa, mientras que el 96 % restante proviene del uso indirecto del recurso como por ejemplo el consumo de agua del ganado vacuno para producir carne.

El concepto de agua virtual se refiere a la cantidad de agua necesaria para producir un bien o servicio, que desde la extracción de materias primas hasta la entrega del producto final en los hogares.

1.- Secretaria del Medio Ambiente y Recursos Naturales, El agua en México, México 2015 https://biblioteca.semarnat.gob.mx/janium/Documentos/Ciga/Libros2013/CD002245.pdf

Ejercicio 20

A continuación, se presentan una serie de oraciones sobre la huella hídrica y al agua virtual. Determina si son falsas o verdaderas.

( )

La huella hídrica comprende la cantidad de agua verde, azul, gris y negra.

( )

El agua azul comprende solamente las aguas contenidas en la superficie.

( )

El agua verde es el agua de lluvia almacenada en las plantas y liberada por la evapotranspiración.

( )

El agua gris es el agua que se encuentra contamina por factores naturales como ceniza volcánica.

( )

Factores que permiten determinar la huella hídrica de un país

  • El tipo de consumo.
  • El nivel de consumo.
  • El clima.
  • La eficiencia con la que se utiliza el agua.

Respuesta

( F )

La huella hídrica comprende la cantidad de agua verde, azul, gris y negra.

( F )

El agua azul comprende solamente las aguas contenidas en la superficie.

( V )

El agua verde: es el agua de lluvia almacenada en las plantas y liberada por la evapotranspiración.

( F )

El agua gris: Es el agua que se encuentra contamina por factores naturales como ceniza volcánica.

( V )

Son factores que permiten determinar la huella hídrica de un país

  • El tipo de consumo.
  • El nivel de consumo.
  • El clima.
  • La eficiencia con la que se utiliza el agua.

Ejercicios numéricos

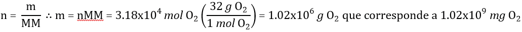
Oxígeno en el agua

El oxígeno disuelto en el agua se define como la cantidad de oxígeno presente en un volumen de agua a una temperatura determinada, expresada en miligramos por litro (mg/L). Su presencia proviene de diversas fuentes, entre las que destacan el intercambio atmosférico, donde el oxígeno del aire se disuelve en la superficie del agua, y la fotosíntesis, proceso mediante el cual organismos fotosintéticos, como algas y plantas acuáticas, generan oxígeno.

1.- Manahan, S. E. Environmental Chemistry; New York, 2017.

2.- Eger, A.M., Marzinelli, E.M., Beas-Luna, R. et al. The value of ecosystem services in global marine kelp forests. Nat Commun 14, 1894 (2023).

3.- Mevi-schutz, J.; Grosse, W. The Importance of Water Vapour for the Circulating Air Flow through Nelumbo Nucifera. J Exp Bot 1988, 39 (9).

Ejercicio 1.

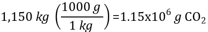
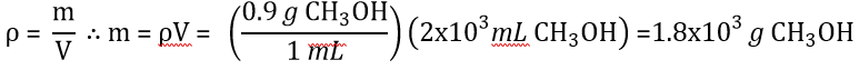
Los bosques de algas están conformados por seis géneros principales: Ecklonia, Laminaria, Lessonia, Macrocystis, Nereocystis y Saccharina. En particular, Nereocystis, una especie que habita en el noreste del océano Pacífico, puede absorber en promedio 82 gramos de dióxido de carbono, CO2, por metro cuadrado de agua (m2). Si una persona consume anualmente 500 litros de gasolina, lo que genera aproximadamente 1,150 kilogramos de dióxido de carbono, ¿qué área de Nereocystis, en metros cuadrados, sería necesaria para capturar dicha cantidad de CO2 en un año?

Respuesta corta

Respuesta larga

Se realiza la correspondiente conversión:

Se determina la masa, en gramos, de dióxido de carbono, CO2, retenido por el alga Nereocystis:

Ejercicio 2.

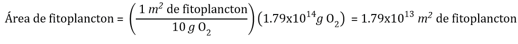
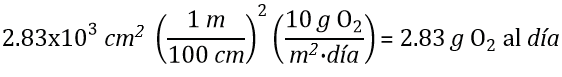
Las plantas acuáticas, también conocidas como hidrófitos, son aquellas que viven parcial o totalmente sumergidas en el agua y están adaptas a diversos entornos acuáticos. Su crecimiento y desarrollo depende de la humedad.

Una de las plantas acuáticas más conocidas por su belleza y su contribución a la oxigenación del agua es el nenúfar rosa o flor de loto. En promedio, esta planta puede producir 10 gramos de oxígeno molecular por metro cuadrado, g O2/m2, de superficie foliar al día. Si las hojas de la flor de loto tienen un radio promedio de 30 centímetros, cm ¿Cuál es la masa de oxígeno molecular, en kilogramos, que produce una planta en un año?

Respuesta corta

Respuesta larga

A partir de la ecuación que relaciona el área de un círculo con su radio, se puede obtener el área de un nenúfar.

A = πr2 = π (30 cm)2 = 2.83x103 cm2

A partir del área de un nenúfar promedio y conociendo que se pueden producir 10 gramos de oxígeno molecular por metro cuadrado al día, se puede obtener la masa de oxígeno molecular que se produce en un día.

Dado que un año tiene 365 días, se puede determinar lo que una planta de nenúfar produce de oxígeno molecular por año.

La Demanda Biológica de Oxígeno (DBO)

La Demanda Biológica de Oxígeno, DBO, mide la cantidad de oxígeno molecular, O2, que los microorganismos aerobios, como bacterias, hongos y plancton, requieren para descomponer la materia orgánica biodegradable presente en el agua. Este parámetro se utiliza comúnmente como un indicador de contaminación y se expresa en miligramos de oxígeno por litro, mg O2/L o partes por millón, ppm O2.

1.- CONAGUA, Comisión Nacional del Agua (CONAGUA). (2015). Manual de Agua Potable, Alcantarillado y Saneamiento: Introducción al Tratamiento de Aguas Residuales Municipales (Libro 25). México: Secretaría de Medio Ambiente y Recursos Naturales. https://www.geografica.com.mx/img/normatividad/CONAGUA/SGAPDS-1-15-Libro25_INTRO_TRATAMIENTO_DE_AGUAS_RES_MUN.pdf

2.- Orozco Barrenetxea, C. Problemas Resueltos de Contaminación Ambiental:Cuestiones y Problemas Resueltos, 1a.; Madrid:Thomson, Ed.; 2007; Vol. 1.

3.- CSID:171, https://www.chemspider.com/Chemical-Structure.171.html, (accessed 14:54, Sep 18, 2024)

4.- Secretaría de Comunicaciones y Transportes (SCT). (2010) NOM-002-SCT/2011: Listado de las substancias y materiales peligrosos más usualmente transportados, Estados Unidos Mexicanos. Ciudad de México.

5.- CSID:864, https://www.chemspider.com/Chemical-Structure.864.html, (accessed 14:56, Sep 18, 2024)

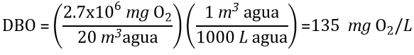
Ejercicio 3

El ácido acético, CH3COOH, es un compuesto químico ampliamente utilizado en la industria para la fabricación de productos de cuidado personal, como champús y acondicionadores, así como en la producción de fármacos y otros productos químicos.

Se han reportado incidentes de derrames industriales de ácido acético. En una ocasión, una empresa reconocida vertió accidentalmente 40 kilogramos de ácido acético, CH3COOH, en un depósito que contenía 1,000 metros cúbicos de agua, m3. Se requiere calcular el aumento de la Demanda Biológica de Oxígeno en el depósito, considerando que el ácido acético puede biodegradarse totalmente a dióxido de carbono, CO2 según la siguiente ecuación química.

CH3COOH(ac) + 2O2(ac) ⇋ 2CO2(ac) + 2H2O(l)

Considera la masa molar del oxígeno molecular, O2, y del ácido acético, CH3COOH, como 32 g/mol y 60 g/mol, respectivamente.

Respuesta corta

Respuesta larga

Verificamos que efectivamente la ecuación química se encuentra balanceada.

Se calcula la masa de oxígeno consumido en el agua. Para ello, se necesita obtener la cantidad de sustancia de ácido acético vertido, que se transforma totalmente a dióxido de carbono. Además, de la relación estequiométrica entre el ácido acético y el oxígeno molecular.

Se construye el cuadro de reacción como se muestra a continuación.

mol

CH3COOH(ac)

+

2O2(ac)

CO2(ac)

+

2H2O(l)

Inicio

666.67

X

Reacciona

x

-2x

Se forma

x

2x

Al final

0

0

En la fila Al final, se igual a cero en ambas columnas (CH3COOH y O2) porque se considera que la reacción es total; esto es que el ácido acético se agota al reaccionar con el oxígeno molecular. De esta forma, se puede obtener X, que corresponde a la cantidad de sustancia de oxígeno molecular que se requiere en un Inicio para reaccionar estequiométricamente con el ácido acético vertido.

Se genera en vertical, en la columna del CH3COOH, la siguiente ecuación:

666.67 - x = 0

x = 666.67 mol CH3COOH

Una vez obtenido el valor de x, se puede obtener el valor de X que es la cantidad de sustancia de oxígeno molecular.

X - 2x = 0

X = 2x = 2(666.67) = 1,333.34 mol O2

Se obtiene la masa de oxígeno molecular a partir de la ecuación de la cantidad de sustancia que relaciona la masa y la masa molar:

Por último, se obtiene la Demanda Biológica de Oxígeno, DBO, considerando que el volumen donde se vertió el ácido acético es de 1,000 m3 y sabiendo que 1 m3 = 1000 L y que 1 g = 1000 mg.

Ejercicio 4.

El metanol, CH3OH, es un disolvente volátil e inflamable, utilizado en la producción de biocombustibles. Su transporte debe realizarse en tanques especializados. En una ocasión, se transportaron 20 metros cúbicos de metanol y al llegar a su destino no se vació ni limpió el tanque correctamente. Se llenó con agua sin saberse que 2 litros de metanol permanecían en el depósito. ¿Cómo aumenta la DBO en el tanque? Considera la degradación de metanol, CH3OH, a dióxido de carbono, CO2.

2CH3OH(ac) + 3O2(ac) ⇋ 2CO2(ac) + 4H2O(l)

Considera la masa molar del oxígeno molecular, O2, y del metanol, CH3OH, como 32 g/mol y 32.04 g/mol, respectivamente; y que la densidad del metanol, CH3OH, es de 0.9 g/mL a 25 °C.

Respuesta corta

Respuesta larga

Se verifica que la ecuación química se encuentre balanceada. A partir de esto, se debe calcular el volumen, en mililitros, de metanol sobrante es decir 2 L, se considera que 1 L = 1000 mL.

Se obtiene la masa de metanol a partir de la ecuación de la densidad que relaciona la masa y el volumen:

Se calcula la cantidad de sustancia de metanol a partir de la ecuación de cantidad de sustancia que relaciona la masa con la masa molar.

Se construye el cuadro de avance de reacción como se muestra a continuación.

mol

2CH3OH(ac)

+

3O2(ac)

2CO2(ac)

+

4H2O (l)

Inicio

56.18

X

Reacciona

-2x

-3x

Se forma

x

2x

Al final

0

0

x

2x

En la fila Al final, se iguala a cero en ambas columnas (CH3OH y O2) porque se considera que la reacción es total; esto es que el metanol se agota al reaccionar con el oxígeno molecular. De esta forma, se puede obtener X, que corresponde a la cantidad de sustancia de oxígeno molecular que se requiere en un Inicio para reaccionar estequiométricamente con el metanol del tanque.

Se genera en vertical, en la columna del metanol, la siguiente ecuación:

56.18 - 2x = 0

x = 28.09 mol CH3OH

Una vez obtenido el valor de x, se puede obtener el valor de X que es la cantidad de sustancia de oxígeno molecular.

X - 3x = 0

X = 3x = 3(28.09) = 84.27 mol O2

A partir de este resultado se determina la masa de oxígeno molecular. Se emplea la ecuación de cantidad de sustancia que relaciona la masa con la masa molar.

Por último, se obtiene la Demanda Biológica de Oxígeno, DBO, considerando que el volumen del tanque es de 20 m3 y que el volumen de metanol (2 L) es despreciable con respecto al volumen del tanque. Además, se sabe que 1 m3 = 1000 L.

La Demanda Química de Oxígeno (DQO)

La Demanda Química de Oxígeno (DQO) determina la cantidad de oxígeno requerido para oxidar la materia orgánica en dióxido de carbono, CO2, y agua, H2O, bajo condiciones específicas de agente oxidante, temperatura, pH y tiempo. Este parámetro se relaciona con la contaminación del agua y se mide en ppm O2.

1.- CONAGUA, Comisión Nacional del Agua (CONAGUA). (2015). Manual de Agua Potable, Alcantarillado y Saneamiento: Introducción al Tratamiento de Aguas Residuales Municipales (Libro 25). México: Secretaría de Medio Ambiente y Recursos Naturales. https://www.geografica.com.mx/img/normatividad/CONAGUA/SGAPDS-1-15-Libro25_INTRO_TRATAMIENTO_DE_AGUAS_RES_MUN.pdf

2.- Orozco Barrenetxea, C. Problemas Resueltos de Contaminación Ambiental: Cuestiones y Problemas Resueltos, 1a.; Madrid:Thomson, Ed.; 2007; Vol. 1.

3.- Xenia Isbel, S.-C.; René Valentino, V.-L.; Francisco Eduardo, C.-P.; Rigoberto, M. Resistencia al Clima Tropical de Aceros Galvanizados Con y Sin Recubrimiento. Ingeniería, Investigación y Tecnología 2014, 15

4.- Langat, F. Kipkemoi , Kibet, J. and Okanga, F. (2024). Furan and Phenol-Based Contaminants in the Borehole Water Quality of the Kerio Valley Water Basin, Kenya. Progress in Chemical and Biochemical Research, 7(2), 143-153. doi: 10.48309/pcbr.2024.427199.1322

Ejercicio 5.

El proceso de galvanizado del hierro es un proceso industrial en el que se recubren las piezas en baños de cianuro de zinc fundido, Zn(CN)2, para protegerlos de la corrosión. En una operación industrial, se realizó un baño en un volumen de 5 metros cúbicos que contenía una concentración de 0.7 mol/L de cianuro, CN-. Posteriormente, esta disolución se diluyó con agua en un tanque hasta alcanzar un volumen de un millón de litros. Se requiere calcular el aumento en la Demanda Química de Oxígeno. Para ello considera que la relación estequiométrica entre cianuro y oxígeno es 2 a 5, respectivamente.

Respuesta corta

Respuesta larga

Se calcula la cantidad de sustancia del cianuro, CN-, a partir de la ecuación de molaridad que relaciona la cantidad de sustancia con el volumen.

Conociendo la relación estequiométrica, CN-:O2 = 2:5, se puede calcular la cantidad de sustancia del oxígeno molecular como:

Se obtiene la masa de oxígeno molecular a partir de la ecuación de cantidad de sustancia que relaciona la masa con la masa molar:

Por último, se obtiene la Demanda Biológica de Oxígeno, DBO, considerando que el volumen del tanque es de 1 millón de litros, 1,000,000 L.

Ejercicio 6

Los fenoles se utilizan principalmente en la producción de resinas y tienen numerosas aplicaciones industriales pues sirven como potentes fungicidas, bactericidas, antisépticos y desinfectantes. Al desecharse, incluso en bajas concentraciones, pueden resultar en una amenaza para la vida acuática.

Se desecharon indebidamente 400 L de fenol, C6H5OH, en un cuerpo de agua cercano a una planta industrial. El cuerpo de agua tiene un volumen aproximado de 80 millones litros, por lo que es necesario calcular el aumento de la Demanda Química de Oxígeno. Considera la degradación de fenol, C6H5OH, a dióxido de carbono, CO2, según la siguiente ecuación química que representa la transformación.

C6H5OH(ac) + 7O2(ac) ⇋ 6CO2(ac) + 3H2O(l)

Considera que las masas molares de fenol, C6H5OH y del oxígeno molecular O2, son 94.11 g/mol y de 32 g/mol, respectivamente; y que la densidad del fenol es de 1.07 g/mL a 25 °C.

Respuesta corta

Respuesta larga

La ecuación química se encuentra correctamente balanceada. A partir de esto, se debe calcular el volumen, en mililitros, de fenol derramado.

Se obtiene la masa de fenol a partir de la ecuación de la densidad, que relaciona la masa y el volumen:

Se calcula ahora la cantidad de sustancia de fenol a partir de la ecuación de cantidad de sustancia que relaciona la masa con la masa molar.

Se construye el cuadro de avance de reacción como se muestra a continuación.

Mol

C6H5OH (ac)

+

7O2(ac)

6CO2(ac)

+

3H2O (l)

Inicio

4.55x103

X

Reacciona

-x

-7x

Se forma

6x

3x

Al final

0

0

6x

3x

En la fila Al final, se iguala a cero en ambas columnas (C6H5OH y O2) porque se considera que la reacción es total; esto es que el fenol se agota al reaccionar con el oxígeno molecular del cuerpo de agua. De esta forma, se puede obtener X, que corresponde a la cantidad de sustancia de oxígeno molecular que se requiere en un Inicio para reaccionar estequiométricamente con el fenol derramado.

Se genera en vertical, en la columna del fenol, la siguiente ecuación:

4.55x103 - x = 0

x = 4.55x103 mol C6H5OH

Una vez obtenido el valor de x, se puede obtener el valor de X que es la cantidad de sustancia de oxígeno molecular.

X - 7x = 0

X = 7x = 7(4.55x103) = 3.18x104 mol O2

A partir de este resultado se determina la masa de oxígeno molecular. Se emplea la ecuación de cantidad de sustancia que relaciona la masa con la masa molar.

Por último, se obtiene la Demanda Biológica de Oxígeno, DBO, considerando que el volumen donde ocurrió el derrame es de 80 millones de litros y que el volumen de fenol (400 L) es despreciable con respecto al volumen del cuerpo de agua.

Importancia del plancton

El plancton es un conjunto de organismos microscópicos con una gran diversidad de especies. Dependiendo de la especie, pueden encontrarse a profundidades no mayores a 500 metros. Su papel en los ecosistemas acuáticos es fundamental, ya que participa activamente en la fotosíntesis.

Gracias a su capacidad de absorber dióxido de carbono, CO2 y liberarlo en forma de oxígeno molecular, O2, el plancton actúa como un sumidero natural de carbono y un regulador térmico del planeta.

1.- López, R. (2019, 7 de enero). El fitoplancton, básico para la vida en la Tierra. Gaceta UNAM. Recuperado de https://www.gaceta.unam.mx/el-fitoplancton-basico-para-la-vida-en-la-tierra/

2.- Massuti, M. M. R. Introducción al Estudio Del Plancton Marino; Barcelona, 1950; Vol. 1.

3.- Loer, S. A.; Scheeren, T. W. L.; Tarnow, J. How Much Oxygen Does the Human Lung Consume? Anesthesiology 1997, 86 (3), 532–537.

Ejercicio 7.

El fitoplancton es responsable de aproximadamente el 50 % de la fotosíntesis en la Tierra. En condiciones óptimas, si se encuentra en una zona de agua transparente, cada metro cuadrado de fitoplancton puede producir hasta de 10 gramos de oxígeno molecular por día. Considerando que una persona promedio consume aproximadamente 5,700 litros de oxígeno para sobrevivir al día. ¿Qué área, en metros cuadrados, m2, de fitoplancton es necesaria para cubrir las necesidades de oxígeno de la población de la Ciudad de México, que cuenta con 22 millones de habitantes? Considera que la densidad del oxígeno molecular es 1.43 g/mL.

Respuesta corta

Respuesta larga

Se calcula el total de oxígeno molecular consumido por 22 millones de habitantes en un día.

A partir de la ecuación de densidad, se obtiene la masa de oxígeno molecular que se consume.

Por último, se debe calcular el área, en metros cuadrados, de fitoplancton para producir esa masa de oxígeno molecular.

Hielo marino.

El hielo marino o banquisa es agua de mar congelada que desempeña un papel crucial en el equilibrio térmico del planeta. Funciona como una barrera que limita el intercambio de calor y humedad entre el océano y la atmósfera. Además, su superficie reflectante contribuye a la regulación de la radiación solar que incide sobre los océanos.

En el año 2022, la extensión de la banquisa se redujo a menos de 21.3 millones de kilómetros cuadrados, lo que representó una disminución del 9.6 % en comparación con 1980.

1.- Manahan, S. E. Environmental Chemistry; New York, 2017.

2.- NASA. (2022, 24 de marzo). La NASA encuentra que el hielo marino del invierno ártico de 2022 es el décimo más bajo registrado. NASA Ciencia de la Tierra. https://ciencia.nasa.gov/ciencias-terrestres/hielo-marino-del-invierno-artico-de-2022-es-el-decimo-mas-bajo-registrado/

Ejercicio 8.

El agua de mar es una disolución salina que contiene un 3.1 % en masa de cloruro de sodio, NaCl, con una concentración molal de 0.55 mol/kg. Con la información que se da a continuación es posible determinar la constante crioscópica, kc, del agua. Utiliza la siguiente ecuación. Considera que la temperatura de congelación del agua ocurre a 0 °C.

Donde:

Respuesta corta

Respuesta larga

A partir de la ecuación de constante crioscópica se obtiene su valor.

Dureza del agua

Las aguas naturales están compuestas por diversas sales disueltas. Las más comunes son las de calcio y magnesio. La presencia de estas sales en el agua se debe a minerales como carbonatos, bicarbonatos y sulfatos de calcio y magnesio.

La dureza del agua puede clasificarse de dos maneras.

  • Dureza temporal, causada por la presencia de bicarbonato de sodio, NaHCO3, bicarbonato de magnesio Mg(HCO3)2, y puede eliminarse mediante ebullición, filtración o sedimentación.
  • Dureza permanente, provocada por la presencia de cloruros Cl- y sulfatos SO42- , que no pueden eliminarse por ebullición y requieren tratamientos químicos para su remoción.

1.- Manahan, S. E. Environmental Chemistry; New York, 2017.

2.- Julián-Soto, F. (2010). La dureza del agua como indicador básico de la presencia de incrustaciones en instalaciones domésticas sanitarias. Ingeniería, investigación y tecnología, 11(2), 167-177. http://www.scielo.org.mx/scielo.php?script=sci_arttext&pid=S1405-77432010000200004&lng=es&tlng=es

3.- Orozco Barrenetxea, C. Problemas Resueltos de Contaminación Ambiental: Cuestiones y Problemas Resueltos, 1a.; Madrid:Thomson, Ed.; 2007; Vol. 1.

4.- Comisión Nacional del Agua (CONAGUA). (2022), Estadísticas del Agua en México 2021, Secretaría de Medio Ambiente y Recursos Naturales(SEMARNAT)

5.- National Geographic. (2023, 11 de noviembre). ¿Qué son los cenotes? National Geographic en español. https://www.nationalgeographicla.com/medio-ambiente/2023/11/que-son-los-cenotes

6.- Rodríguez, Sergio; Rodríguez, R. La Dureza Del Agua, 1st ed.; Editorial de la Universidad Tecnológica Nacional: Buenos aires, 2010; Vol. 1.

Ejercicio 9

Se estima que entre el 5 % al 15 % del agua dulce extraída de los depósitos naturales se utiliza en el sector industrial. Para evaluar su calidad, se realizó un análisis de una muestra de 1 litro de agua con una concentración molar de iones de calcio de 2.8x10-4 mol/L. Calcula la dureza del agua (ppm de CaCO3) en la muestra considerando la ecuación química del proceso:

Ca2+(ac) + 2HCO3(ac) ⇋ CaCO3(s) + CO2(g) + H2O(l)

Considera que las masas molares del calcio y del carbonato de calcio, CaCO3, son 40.08 g/mol y 100.09 g/mol, respectivamente.

Respuesta corta

Respuesta larga

Se verifica que efectivamente la ecuación química se encuentre balanceada y se construye el cuadro de reacción como se muestra a continuación.

mol/L

Ca2+(ac)

+

2HCO3(ac)

CaCO3(s)

+

CO2(g)

+

H2O(l)

Inicio

2.8x10-4

Reacciona

-x

-2x

Se forma

X

x

x

Al final

0

0

En la fila Al final, se iguala a cero en ambas columnas (Ca2+ y HCO3) porque se considera que la reacción es total; esto es que el calcio y el bicarbonato se agotan al reaccionar. De esta forma, se puede obtener X, que corresponde a la concentración de carbonato de calcio que se obtiene en Se forma al reaccionar completamente el calcio.

Se genera en vertical, en la columna del Ca2+, la siguiente ecuación:

2.8x10-4 x = 0

x = 2.8x10-4 mol/L Ca2+

Una vez obtenido el valor de x se puede obtener el valor de X que será la concentración de carbonato de calcio.

X - x = 0

X = x = 2.8x10-4 mol/L CaCO3

Por último, se obtiene la dureza, considerando que 1 g = 1000 mg.

Ejercicio 10

Los cenotes son formaciones naturales en superficies de piedra caliza, ricas en calcita y en algunos casos magnesita. Estas estructuras se forman por la disolución de los minerales debido a la acción de las aguas subterráneas. Cuando el techo de una cuenca colapsa, deja al descubierto un depósito natural de agua. En un análisis de un litro de agua tomada de un cenote en Yucatán, se determinó que la concentración de magnesio fue de 60 ppm. Calcula la dureza del agua (ppm de MgCO3) considerando la siguiente ecuación que representa la transformación:

Mg2+(ac) + 2HCO3-(ac) ⇋ MgCO3(s) + CO2(g) + H2O(l)

Considera que la masa molar de magnesio, Mg2+, y del carbonato de magnesio, MgCO3, es 24.30 g/mol y 84.31 g/mol, respectivamente.

Respuesta corta

Respuesta larga

Se obtiene la masa, en gramos, de Mg2+, considerando que la expresión partes por millon, ppm, relaciona la masa, en miligramos, con el volumen de la disolución expresado en litros.

Ahora, se obtiene la cantidad de sustancia de magnesio a partir de la ecuación de cantidad de sustancia que relaciona la masa con la masa molar:

Se construye el cuadro de avance de reacción como se muestra a continuación.

mol

Mg2+(ac)

+

2HCO32(ac)

MgCO3(s)

+

CO2(g)

+

2H2O(l)

Inicio

2.47x10-3

Reacciona

-x

-2x

Se forma

X

x

x

Al final

0

0

x

x

x

En la fila Al final, se igual a cero la columna Mg2+ porque se considera que todo el magnesio reacciona para formar su correspondiente carbonato. De esta forma, se puede obtener X, que corresponde a la cantidad de sustancia de carbonato de magnesio que se obtiene en la fila Se forma.

2.47x10-3 - x = 0

x = 2.47x10-3 mol Mg2+

Una vez obtenido el valor de x, se puede obtener el valor de X que es la cantidad de sustancia del carbonato de magnesio.

X = x

X = 2.47x10-3 mol MgCO3

Por último, se obtiene la dureza, considerando que 1 g = 1000 mg.

Dado que el volumen de la disolución es de un litro, y en ella se forma una masa de 208 miligramos de MgCO3, la concentración, en partes por millón es de 208 ppm.

Ejercicio 11

La dureza permanente no puede eliminarse por ebullición, siendo necesarios procesos químicos. Uno de los métodos utilizados es adicionando carbonato de sodio, Na2CO3 al agua. El carbonato de sodio reacciona con los iones de calcio y magnesio para formar carbonatos insolubles.

En México, la extracción de agua para consumo humano proviene de fuentes superficiales como ríos, arroyos, lagos y presas. En un experimento, se realizó un análisis a un litro de una muestra de río, mostrando una concentración de 900 ppm de cloruro de calcio, CaCl2. Se desea tratar la dureza del agua en un volumen de 250 mil litros. ¿Qué masa en kilogramos de carbonato de sodio, se necesita para reducir la dureza permanente a la tercera parte? Si la ecuación representativa es la siguiente:

CaCl2(ac) + Na2CO3(s) ⇋ CaCO3(s) + 2NaCl(ac)

Considera que las masas molares de calcio, Ca2+, y carbonato de sodio, Na2CO3, son 40.08 g/mol y 106 g/mol, respectivamente.

Respuesta corta

Respuesta larga

Se debe a reducir la dureza del agua a 300 ppm. De esta manera, se debe obtener la masa, en gramos, de calcio, considerando que la muestra tomada es de un litro, y que la disociación de cloruro de calcio, CaCl2, es completa:

CaCl2(ac) ⇋ Ca2+(ac) + 2Cl-(ac)

De esta forma:

Ahora, se obtiene la cantidad de sustancia de calcio a partir de la ecuación de cantidad de sustancia que relaciona la masa con la masa molar:

Se construye el cuadro de avance de reacción como se muestra a continuación.

mol

Ca2+(ac)

+

Na2CO3(s)

CaCO3(s)

+

2Na+(ac)

Inicio

7.49x10-3

X

Reacciona

-x

-x

Se forma

x

2x

Al final

0

0

x

2x

En la fila Al final, se igual a cero las columnas (Ca2+ y Na2CO3) porque se considera que todo el calcio reaccionó con el carbonato de sodio. De esta forma, se puede obtener X, que corresponde a la cantidad de sustancia de carbonato de sodio que se tiene en la fila Inicio para reducir la dureza del agua.

7.49x10-3 - x = 0

x = 7.49x10-3 mol Ca2+

Una vez obtenido el valor de x, se puede obtener el valor de X que es la cantidad de sustancia del carbonato de sodio

X = x

X = 7.49x10-3 mol Na2CO3

Se calcula ahora la masa en gramos de carbonato de sodio a partir de la ecuación de cantidad de sustancia que relaciona la masa con la masa molar.

Por último, se determina la masa en kilogramos para tratar los 250 mil litros de agua.

Solubilidad y Precipitación.

La solubilidad es la máxima cantidad de soluto que puede disolverse en un disolvente dado a una temperatura específica. La solubilidad de las sustancias influye en la composición química y física de los cuerpos de agua de la Tierra, así como en el equilibrio de los ecosistemas acuáticos.

Por otro lado, la precipitación es un proceso mediante el que se eliminan sustancias disueltas al formar compuestos insolubles. Si bien se emplea para la remoción de contaminantes peligrosos, también puede contribuir al trasporte de contaminantes atmosférico hacia los cuerpos de cuerpos de agua, afectando su calidad.

1.- Chang, R. & Goldsby, K. A. (2013). Química. 11ª ed. McGraw-Hill

2.- Orozco Barrenetxea, C. Problemas Resueltos de Contaminación Ambiental:Cuestiones y Problemas Resueltos, 1a.; Madrid:Thomson, Ed.; 2007; Vol. 1.

3.- CSID:4511436, https://www.chemspider.com/Chemical-Structure.4511436.html, (accessed 13:37, Sep 21, 2024)

4.- CSID:4514248, https://www.chemspider.com/Chemical-Structure.4514248.html, (accessed 14:01, Sep 21, 2024)

5.- Botté, A.; Zaidi, M.; Guery, J.; Fichet, D.; Leignel, V. Aluminium in Aquatic Environments: Abundance and Ecotoxicological Impacts. Aquatic Ecology. 2022.

Ejercicio 12

El bario es un metal utilizado en la fabricación de pinturas, plásticos y cauchos. En la industria petrolera se emplea en lodos de perforación que son descargados en cuerpos de agua. Si estas descargas no se gestionan adecuadamente pueden resultar tóxicas para la vida marina. Una forma efectiva de eliminar el bario de las aguas residuales es precipitarlo como fosfato de bario, Ba3(PO4)2, mediante el uso de fosfato de sodio, Na3PO4.

Si una industria genera 500 litros por hora de agua residual, con un contenido de 60 miligramos de bario por litro. Calcula la masa, en gramos, de fosfato de sodio necesaria al día para precipitar el bario presente. La ecuación que representa el proceso es:

3Ba2+(ac) + 2Na3PO4(ac) ⇋ Ba3(PO4)2(s) + 6Na+(ac)

Considera que las masas molares del bario y fosfato de sodio son 137.3 g/mol y 163.94 g/mol, respectivamente.

Respuesta corta

Respuesta larga

Se determina la masa, en gramos, de bario en un litro de agua, sabiendo que se tienen 60 mg.

Con esta información, se determina la cantidad de sustancia de Ba2+ presente en un litro de agua residual.

A continuación, se determina la cantidad de sustancia diaria de bario que se necesita a eliminar al día.

Se construye el cuadro de reacción como se muestra a continuación.

mol

3Ba2+ (ac)

+

2 Na3PO4 (s)

Ba3(PO4)2 (s)

+

6Na+ (ac)

Inicio

5.24

X

Reacciona

-3x

-2x

Se forma

x

6x

Al final

0

0

x

6x

En la fila Al final, se iguala a cero en ambas columnas (Ba2+ y Na3PO4) porque se considera que la reacción es total; y que el fosfato de sodio empleado elimina completamente el bario disuelto. De esta forma, se puede obtener X, que corresponde a la cantidad de sustancia de fosfato de sodio que debe emplearse al Inicio para reaccionar completamente con el bario disuelto.

Se genera en vertical, en la columna del Ba2+, la siguiente ecuación:

5.24 - 3x = 0

x = 1.75 mol Ba2+ al día

Una vez obtenido el valor de x, se puede obtener el valor de X, que corresponde a la concentración de fosfato de sodio:

X - 2x = 0

X = 2x = 2(1.75) = 3.5 mol de Na3PO4 al día

Por último, se determina la masa en gramos de fosfato de sodio a partir de la ecuación de cantidad de sustancia que relaciona la masa con la masa molar.

Ejercicio 13.

El aluminio es uno de los metales más utilizados en construcción, electrónica y embalajes. Sin embargo, su liberación sin tratamiento adecuado en cuerpos de agua genera la acidificación y disminución de pH afectando el ecosistema acuático.

Para su eliminación, se trata al aluminio con una base fuerte, de tal forma que precipite en forma de hidróxido de aluminio, Al(OH)3. Se analizó un litro del agua residual de una industria refresquera y se encontró una concentración de 120 ppb de aluminio, mismo que se trató con hidróxido de NaOH. ¿Cuál es el pH mínimo para que pueda precipitar?

Considera que la constante de solubilidad del hidróxido de aluminio, Al(OH)3, es Ks = 1.9x10-33, que 1 ppm corresponde a 1000 ppb y que la ecuación que representa la transformación es:

Al(OH)3(s) ⇋ Al3+(ac) + 3 OH-(ac)

Respuesta corta

Respuesta larga

Se obtiene la masa, en gramos, a partir de la concentración en partes por billón de aluminio.

Ahora, se obtiene la cantidad de sustancia de aluminio a partir de la ecuación de cantidad de sustancia que relaciona la masa con la masa molar:

Se determina la concentración de ion hidróxido a partir de la constante de solubilidad

A partir de la constante de ionización del agua se determina la concentración de protones.

Por último, obtenemos el pH a partir de la concentración de protones:

pH = -log[H+] = -log[1.33 x10-5] = 4.88

Reacciones de oxidación-reducción

Las reacciones redox son reacciones de transferencia de electrones, y presentan cambios en los estados de oxidación de los reactivos y productos. La reacción de oxidación es la que implica una pérdida de electrones, mientras que la reacción de reducción es aquella en la que se da una ganancia de electrones.

1.- Chang, R. & Goldsby, K. A. (2013). Química. 11ª ed. McGraw-Hill

2.- Altamirano,R.(s.f.). Ejercicios de dureza del agua. Universidad Nacional de Ingeniería https://www.udocz.com/apuntes/561896/ejercicios-de-dureza-del-agua-1

3.- Ibañez J.; Hernandez M.; Mohan M.; Doria M.C.; Fregoso, A. Química ambiental; Mexico, 2013

4.- Orozco Barrenetxea, C. Problemas Resueltos de Contaminación Ambiental: Cuestiones y Problemas Resueltos, 1a.; Madrid:Thomson, Ed.; 2007; Vol. 1.

5.- Cuervo-Usán, Yazmín, Tornos-Mauri, Pablo, Hernández-Domínguez, Juan C., Orihuela-Calvo, Diego, Domínguez-Hernández, Martha E., & Moreno-Martínez, Ernesto. (2014). Eficacia de peróxidos en la desinfección de suelos aptos para el cultivo de fresa en el Mediterráneo. Revista fitotecnia mexicana, 37(4), 393-398. http://www.scielo.org.mx/scielo.php?script=sci_arttext&pid=S0187-73802014000400012&lng=es&tlng=es.

6.- Autor desconocido. (2012). Prácticas de equilibrio químico. Laboralfq’s Blog. Recuperado de https://laboralfq.wordpress.com/wp-content/uploads/2012/03/prc3a1cticas-de-equilibrio-quc3admico.pdf

Ejercicio 14.

La agricultura es una de las actividades con mayor impacto ecológico, especialmente en la contaminación del suelo y el agua debido al uso de plaguicidas y fertilizantes sintéticos. Por ello, se buscan alternativas más sostenibles y amigables con el medio ambiente. En este contexto, el uso de productos orgánicos como los peróxidos ha sido propuesto como una opción viable reducir el impacto ambiental.

El peróxido de hidrógeno, H2O2 es un agente oxidante altamente reactivo utilizado en diversas aplicaciones, incluyendo la desinfección agrícola y el tratamiento de aguas. Sin embargo, el peróxido de hidrógeno es un compuesto inestable y tiende a descomponerse lentamente a temperatura ambiente en agua y oxígeno molecular. Explica su reactividad a partir de la escala de potencial estándar de reducción, el cálculo de la constante de equilibrio para su dismutación y la determinación de la energía libre de Gibbs asociada al proceso, ΔGº. Para ello considera que la ecuación del proceso:

2H2O2(ac) 2H2O(l) + O2(g)

Los potenciales estándar de reducción de los pares involucrados se presentan a continuación.

O2(g) + 2H+(ac) + 2e- H2O2(ac) E1 = 0.68 V

H2O2(ac) + 2H+(ac) + 2e- ⇋ 2H2O(l) E2 = 1.77 V

Además considera que la constante de equilibrio se determina como , y para el cálculo de la energía libre de Gibbs se debe emplear la ecuación ΔGº = -nFEºcelda, con F, siendo la constante de Faraday es 96,485 C/mol.

Respuesta corta

Respuesta larga

1.- Se elabora la escala de potencial estándar de reducción

Como se puede observar la pendiente es positiva, indicando que es una reacción termodinámicamente favorecida a la formación de productos (O2 y H2O).

2.- Se calcula la constante de equilibrio, que relaciona el número de electrones intercambiados en la reacción redox presente y la diferencia de potencial de celda.

3.- Se determina la energía libre de Gibbs a partir de ∆E° celda que corresponde a la diferencia entre los valores de los pares redox descritos en la escala y en el cálculo de la constante de equilibrio (1.77 V – 0.68 V), por lo que el potencial de celda ∆E° es igual a 1.09 V. De acuerdo con el enunciado, se sabe que se intercambian dos electrones en cada semi-reacción por lo que también en la reacción completa. De esta forma:

Por último, se puede interpretar la energía libre de Gibbs. El valor negativo indica que la ecuación es exergónica en condiciones estándar, es decir que la reacción se favorece a la formación de productos.

Ejercicio 15.

El manganeso en el agua potable puede presentar un riesgo para la salud, ya que su exposición prolongada se ha relacionado con trastornos neurológicos, daño hepático y renal. Además, su presencia en altas concentraciones puede provocar incrustaciones en las tuberías, afectando la distribución del agua.

Para reducir su concentración, se utiliza permanganato de potasio, KMnO4, como agente oxidante, que oxida Mn2+ a Mn4+, una especie menos soluble que precipita en el tratamiento de aguas.

Se suministra diariamente 1800 m3/h de agua potable con una concentración de 86 μg de manganeso por litro de agua, ¿qué volumen diario de una disolución de permanganato de potasio de concentración 1 mol/L es necesario para oxidar y precipitar el manganeso, Mn2+, disuelto en el agua? La ecuación que representa el proceso es la siguiente:

3Mn2++ 2MnO4- + 4OH- 5MnO2 + 2H2O

Considera que las masas molares de manganeso y permanganato de potasio son 54.94 g/mol y 158.03 g/mol, respectivamente.

Respuesta corta

Respuesta larga

Se determina la masa, en gramos, de manganeso en un litro de agua sabiendo que se tienen 86 μg.

Con esta información, se determina la cantidad de sustancia de Mn2+ presente en un litro de disolución.

Se determina la cantidad de sustancia de manganeso que se necesita eliminar diariamente, considerando la cantidad de agua suministrada.

Se construye el cuadro de avance de reacción como se muestra a continuación.

mol

3Mn2+

+

2MnO4-

+

4OH-

5MnO2

+

2H2O

Inicio

67.39

X

Reacciona

-3x

-2x

-4x

Se forma

5x

2x

Al final

0

0

0

5x

2x

En la fila Al final, se iguala a cero en las columnas (Mn2 +, MnO4- y OH-) porque se considera que la reacción es total; esto es que el manganeso reacciona completamente con el permanganato. De esta forma, se puede obtener X, que corresponde a la cantidad de sustancia de permanganato de potasio necesario para oxidar completamente Mn2+.

Se genera en vertical, en la columna del Mn2+ la siguiente ecuación:

67.39 - 3x = 0

x = 22.46 mol

Una vez obtenido el valor de x podemos obtener el valor de X que será la cantidad de sustancia de permanganato.

X - 2x = 0

X= 2x= 2(22.46) = 44.92 mol MnO4- al día

Por último, se determina el volumen de permanganato de potasio a partir de la ecuación de molaridad que relaciona la cantidad de sustancia con el volumen.

Ejercicio 16.

El hierro es uno de los principales responsables del color rojizo en aguas cercanas a minas. Es posible eliminar el Fe3+ utilizando una disolución hidróxido de sodio, NaOH, ya que se favorece la formación de un sólido insoluble color rojizo.

Se tomó una muestra de un litro de agua de un cuerpo de agua cercano a una mina y la muestra mostró una cantidad de 138 mg de hierro. Determina el volumen en mililitros de hidróxido de sodio con concentración 1 mol/L necesario para precipitar el hierro, considerando que el cuerpo de agua tiene un volumen de 24 mil litros. La ecuación que representa el proceso es la siguiente.

Fe3+(ac) + 3NaOH(ac) ⇋ Fe(OH)3(s) + 3Na+(ac)

Considera que las masas molares de hierro e hidróxido de sodio son 55.85 g/mol y 40 g/mol, respectivamente.

Respuesta corta

Respuesta larga

Se determina la masa, en gramos, de hierro en un litro de agua sabiendo que se tienen 138 mg.

Con esta información, se determina la cantidad de sustancia de Fe3+ presente en un litro de disolución.

Se determina la cantidad de sustancia de hierro que se necesita eliminar, considerando el volumen del cuerpo de agua.

Se construye el cuadro de avance de reacción como se muestra a continuación.

mol

Fe3+(ac)

+

3 NaOH(ac)

Fe(OH)3(s)

+

3Na+(ac)

Inicio

59.28

X

Reacciona

-x

-3x

Se forma

x

3x

Al final

0

0

x

3x

En la fila Al final, se iguala a cero en las columnas (Fe3+ y NaOH) porque se considera que la reacción es total; esto es que el hierro reacciona completamente con el hidróxido de sodio. De esta forma, se puede obtener X, que corresponde a la cantidad de sustancia de hidróxido de sodio necesario para precipitar completamente Fe3+.

De esta forma, se genera en vertical, en la columna del Fe3+ la siguiente ecuación:

59.28 - x = 0

x = 59.28 mol Fe3+

Una vez obtenido el valor de x podemos obtener el valor de X que será la cantidad de sustancia de hidróxido de sodio.

X - 3x = 0

X= 3x = 177.84 mol NaOH

Se determina el volumen de hidróxido de sodio a partir de la ecuación de molaridad que relaciona la cantidad de sustancia con el volumen.

Las industrias y el medio ambiente

Las industrias han generado un impacto significativo en el medio ambiente y en los recursos naturales, no solo debido al crecimiento de la producción, sino también por la expansión de sectores con alto impacto ambiental. En muchos casos, estas industrias operan sin un control adecuado sobre la cantidad de contaminantes que generan y su tratamiento, lo que agrava los problemas de contaminación y deterioro ambiental.

1.- Secretaría de Medio Ambiente y Recursos Naturales (SEMARNAT). (2008). Informe de la situación del medio ambiente en México 2008. SEMARNAT. Recuperado de https://apps1.semarnat.gob.mx:8443/dgeia/informe_2008/compendio_2008/compendio2008/10.100.8.236_8080/ibi_apps/WFServlete1ce.html

2.- Toscana Aparicio, Alejandra, & Hernández Canales, Pedro de Jesús. (2017). Gestión de riesgos y desastres socioambientales. El caso de la mina Buenavista del cobre de Cananea. Investigaciones geográficas, https://doi.org/10.14350/rig.54770

3.- FINA Facilities Rules Archivado el 10 de septiembre de 2015 en Wayback Machine. fina.org.

4.- Centro Nacional de Prevención de Desastres. (2019, 3 de junio). Pozo Ixtoc-I, el mayor derrame de petróleo en el mar ocurrido en México. https://www.gob.mx/cenapred/articulos/pozo-ixtoc-i-el-mayor-derrame-de-petroleo-en-el-mar-ocurrido-en-mexico

5.- Milenio. (2023, 5 de enero). Semarnat revela las empresas que más contaminan en Nuevo León. https://www.milenio.com/politica/comunidad/semarnat-revela-empresas-mas-contaminan-nuevo-leon

6.- 1.- Corrales, S., González Ávila, M. E., & Martínez Sidón, G. (2024). Consumo de agua para producir refrescos y sus implicaciones en las entidades del norte de México. LATAM Revista Latinoamericana de Ciencias Sociales y Humanidades, 5(1). https://doi.org/10.56712/latam.v5i1.1838.

Ejercicio 17

El 6 de agosto de 2014, la mina Buenavista del Cobre, ubicada en Cananea, Sonora provocó un derrame de sulfato de cobre (II) acidulado, CuSO4∙5H2O, en el río Sonora. La presencia de este compuesto altamente tóxico en los cuerpos de agua provoca un desequilibrio en los ecosistemas y aumenta la acidez del agua.

El volumen derramado fue de 40 mil m3. ¿A cuántas albercas olímpicas correspondería este volumen? Considera que las dimensiones de la alberca son 50 metros de largo, 25 metros de ancho y un promedio de 2.70 metros de profundidad.

Respuesta corta

Respuesta larga

A partir de la ecuación que relaciona el área, el largo y el ancho, es posible determinar el volumen de la alberca.

A partir del volumen que tiene una alberca es posible determinar la cantidad de albercas necesarias, considerando que el volumen derramado fue de 40 mil m3.

Ejercicio 18

Uno de los derrames de petróleo más grandes en México ocurrió en 1979, cuando el grupo Pemex realizaba una perforación a 3,627 metros de profundidad. Durante la operación, se presentó una falla en la circulación del fluido, lo que generó una acumulación de presión. Como resultado, al entrar en contacto con los motores de la bomba, el gas emanado del subsuelo provocó una explosión e incendio, que se extendió por 280 días.

Se derramaron aproximadamente 560 millones de litros de petróleo. ¿A cuántos estadios Azteca equivale este volumen? Considera la forma del estadio como la de un prisma rectangular cuyas dimensiones son 105 m de largo, 68 m ancho y un promedio de 50 m de altura.

Respuesta corta

Respuesta larga

A partir de la ecuación de un prisma rectangular que relaciona el largo, el ancho y la altura.

V = l∙a∙h = (105 m) (68 m) (50 m) = 3.57x105 m3

Se realiza una conversión de unidades considerando que 1 m3 = 1000 L

Se determina el número de estadios

Ejercicio 19

CEMEX es una de las principales compañías de construcción ubicada en Monterrey y se trata de una empresa líder en la producción de cemento. En uno de sus procesos industriales generó una determinada cantidad de residuos; algunos de ellos fueron:

Para dimensionar la cantidad de residuos, considera las densidades de cada uno de estos metales. Con esta información, ¿a cuántos contenedores de residuos de 2 L equivaldría cada residuo generado?

Metal

Densidad (kg/m3)

cromo

7,190

cadmio

8,650

mercurio

13,595

Respuesta corta

Respuesta larga

a) Se tiene una masa de 11.1 toneladas de cromo, se realiza la correspondiente conversión recordando que 1 t = 1000 kg

Se calcula el volumen de cromo generado a partir de la ecuación de densidad, que relaciona la masa con el volumen:

Se realiza la correspondiente conversión, recordando que 1 m3 = 1000 L

Se obtiene la cantidad de contenedores, considerando que tienen un volumen de 2 litros.

b) y c) Siguiendo el mismo procedimiento, se obtienen 121.5 que podemos tomar como 122 contenedores para cadmio y 40.45 contendedores para mercurio.

Ejercicio 20

La industria refresquera en el norte de México representa un riesgo sxignificativo para el abasto de agua, ya que esta región se caracteriza por su escasez hídrica. Los refrescos ampliamente consumidos en el país contienen entre un 85 % y 95 % de agua, mientras que el resto de su composición incluye azúcares y saborizantes. Para producir un litro de refresco, se utilizan en promedio 1.58 litros de agua, considerando tanto el contenido directo del producto como los procesos necesarios para su producción.

En el año 2021 la empresa “Coca-Cola FEMSA” produjo un total de 14,249,714 litros de su refresco Coca-Cola. Determina el promedio total de agua utilizado para producir la cantidad mencionada de refresco.

Respuesta corta

Respuesta larga

Se realiza el producto entre el volumen promedio de agua para la realización de un litro de refresco con el volumen de litros producidos de refresco al año.



Recepción: 2025-03-12. Aceptación: 2025-11-27.

Cómo citar:

Rojas López, A. y Reina, M. (2026, enero-marzo). Agua, química y formación de estudiantes: ejercicios y actividades para la concientización ambiental. Educación Química, 37(1). http://dx.doi.org/10.22201/fq.18708404e.2026.1.91074



Este es un artículo de acceso abierto bajo la licencia de Creative Commons 4.0.


[a] Universidad Nacional Autónoma de México, México.